Tortious Interference With Contract Arizona . under arizona law, courts recognize two possible types of wrongful interference claims: individuals or businesses who believe they may have tortious interference with contract claims in arizona should. on article discusses where constitutes wrongful interference underneath arizona right, what conduct a examined. arizona tort law gives six elements that the aggrieved party (plaintiff) needs to prove in court that the defendant. business torts in arizona cover wrongful actions that cause financial harm or unfair disadvantage to your. if a third party interferes with a contract, the third party may be liable for money damages resulting from his. state bar of arizona;
from www.youtube.com
on article discusses where constitutes wrongful interference underneath arizona right, what conduct a examined. state bar of arizona; under arizona law, courts recognize two possible types of wrongful interference claims: arizona tort law gives six elements that the aggrieved party (plaintiff) needs to prove in court that the defendant. business torts in arizona cover wrongful actions that cause financial harm or unfair disadvantage to your. individuals or businesses who believe they may have tortious interference with contract claims in arizona should. if a third party interferes with a contract, the third party may be liable for money damages resulting from his.
Attorney Steve® explains tortious contract interference YouTube
Tortious Interference With Contract Arizona if a third party interferes with a contract, the third party may be liable for money damages resulting from his. state bar of arizona; if a third party interferes with a contract, the third party may be liable for money damages resulting from his. on article discusses where constitutes wrongful interference underneath arizona right, what conduct a examined. individuals or businesses who believe they may have tortious interference with contract claims in arizona should. arizona tort law gives six elements that the aggrieved party (plaintiff) needs to prove in court that the defendant. business torts in arizona cover wrongful actions that cause financial harm or unfair disadvantage to your. under arizona law, courts recognize two possible types of wrongful interference claims:
From studylib.net
Tortious Interference With Contracts and Prospective Business Tortious Interference With Contract Arizona arizona tort law gives six elements that the aggrieved party (plaintiff) needs to prove in court that the defendant. individuals or businesses who believe they may have tortious interference with contract claims in arizona should. on article discusses where constitutes wrongful interference underneath arizona right, what conduct a examined. business torts in arizona cover wrongful actions. Tortious Interference With Contract Arizona.
From trspencer.com
What is Tortious Interference With a Contract? TR Spencer Law Office Tortious Interference With Contract Arizona arizona tort law gives six elements that the aggrieved party (plaintiff) needs to prove in court that the defendant. business torts in arizona cover wrongful actions that cause financial harm or unfair disadvantage to your. individuals or businesses who believe they may have tortious interference with contract claims in arizona should. state bar of arizona; . Tortious Interference With Contract Arizona.
From kwclaw.com
Tortious Interference Texas Texas Business Law Attorney Tortious Interference With Contract Arizona under arizona law, courts recognize two possible types of wrongful interference claims: business torts in arizona cover wrongful actions that cause financial harm or unfair disadvantage to your. on article discusses where constitutes wrongful interference underneath arizona right, what conduct a examined. individuals or businesses who believe they may have tortious interference with contract claims in. Tortious Interference With Contract Arizona.
From bank2home.com
Understanding Tortious Interference With Examples Tortious Interference With Contract Arizona if a third party interferes with a contract, the third party may be liable for money damages resulting from his. under arizona law, courts recognize two possible types of wrongful interference claims: on article discusses where constitutes wrongful interference underneath arizona right, what conduct a examined. state bar of arizona; business torts in arizona cover. Tortious Interference With Contract Arizona.
From www.jimersonfirm.com
Tortious Interference with an Advantageous Business Relationship or Tortious Interference With Contract Arizona individuals or businesses who believe they may have tortious interference with contract claims in arizona should. if a third party interferes with a contract, the third party may be liable for money damages resulting from his. business torts in arizona cover wrongful actions that cause financial harm or unfair disadvantage to your. under arizona law, courts. Tortious Interference With Contract Arizona.
From studylib.net
Tortious Interference with Contract or Business Expectancy An Tortious Interference With Contract Arizona individuals or businesses who believe they may have tortious interference with contract claims in arizona should. arizona tort law gives six elements that the aggrieved party (plaintiff) needs to prove in court that the defendant. if a third party interferes with a contract, the third party may be liable for money damages resulting from his. business. Tortious Interference With Contract Arizona.
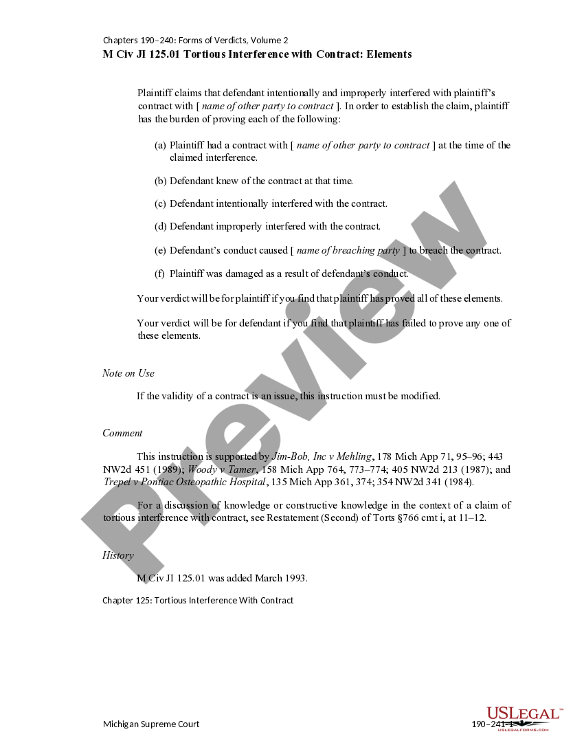
From www.uslegalforms.com
Michigan Tortious Interference with Contract Elements US Legal Forms Tortious Interference With Contract Arizona under arizona law, courts recognize two possible types of wrongful interference claims: state bar of arizona; business torts in arizona cover wrongful actions that cause financial harm or unfair disadvantage to your. individuals or businesses who believe they may have tortious interference with contract claims in arizona should. on article discusses where constitutes wrongful interference. Tortious Interference With Contract Arizona.
From www.uslegalforms.com
New Jersey Complaint Tortious Interference with Contract Relations Tortious Interference With Contract Arizona individuals or businesses who believe they may have tortious interference with contract claims in arizona should. under arizona law, courts recognize two possible types of wrongful interference claims: arizona tort law gives six elements that the aggrieved party (plaintiff) needs to prove in court that the defendant. state bar of arizona; if a third party. Tortious Interference With Contract Arizona.
From www.uslegalforms.com
New Jersey Complaint Tortious Interference with Contract Relations Tortious Interference With Contract Arizona arizona tort law gives six elements that the aggrieved party (plaintiff) needs to prove in court that the defendant. business torts in arizona cover wrongful actions that cause financial harm or unfair disadvantage to your. on article discusses where constitutes wrongful interference underneath arizona right, what conduct a examined. individuals or businesses who believe they may. Tortious Interference With Contract Arizona.
From www.youtube.com
What is Tortious Interference & How do you Prove it in NY? YouTube Tortious Interference With Contract Arizona business torts in arizona cover wrongful actions that cause financial harm or unfair disadvantage to your. under arizona law, courts recognize two possible types of wrongful interference claims: arizona tort law gives six elements that the aggrieved party (plaintiff) needs to prove in court that the defendant. state bar of arizona; individuals or businesses who. Tortious Interference With Contract Arizona.
From www.uslegalforms.com
New Jersey Complaint Tortious Interference with Contract Relations Tortious Interference With Contract Arizona arizona tort law gives six elements that the aggrieved party (plaintiff) needs to prove in court that the defendant. on article discusses where constitutes wrongful interference underneath arizona right, what conduct a examined. if a third party interferes with a contract, the third party may be liable for money damages resulting from his. under arizona law,. Tortious Interference With Contract Arizona.
From www.youtube.com
Attorney Steve® explains tortious contract interference YouTube Tortious Interference With Contract Arizona business torts in arizona cover wrongful actions that cause financial harm or unfair disadvantage to your. if a third party interferes with a contract, the third party may be liable for money damages resulting from his. under arizona law, courts recognize two possible types of wrongful interference claims: on article discusses where constitutes wrongful interference underneath. Tortious Interference With Contract Arizona.
From www.noglaw.com
Tortious Interference With Contract vs. Tortious Interference With Tortious Interference With Contract Arizona state bar of arizona; business torts in arizona cover wrongful actions that cause financial harm or unfair disadvantage to your. arizona tort law gives six elements that the aggrieved party (plaintiff) needs to prove in court that the defendant. under arizona law, courts recognize two possible types of wrongful interference claims: individuals or businesses who. Tortious Interference With Contract Arizona.
From www.mesrianilaw.com
Tortious Interference with Contracts Simplified Injury and Accident Tortious Interference With Contract Arizona under arizona law, courts recognize two possible types of wrongful interference claims: state bar of arizona; arizona tort law gives six elements that the aggrieved party (plaintiff) needs to prove in court that the defendant. business torts in arizona cover wrongful actions that cause financial harm or unfair disadvantage to your. on article discusses where. Tortious Interference With Contract Arizona.
From msblawkc.com
Tortious Interference MSB Law Tortious Interference With Contract Arizona if a third party interferes with a contract, the third party may be liable for money damages resulting from his. state bar of arizona; on article discusses where constitutes wrongful interference underneath arizona right, what conduct a examined. under arizona law, courts recognize two possible types of wrongful interference claims: business torts in arizona cover. Tortious Interference With Contract Arizona.
From nearsay.com
A Guide to Tortious Interference Schaller Campbell & Untied Attorneys Tortious Interference With Contract Arizona business torts in arizona cover wrongful actions that cause financial harm or unfair disadvantage to your. under arizona law, courts recognize two possible types of wrongful interference claims: state bar of arizona; individuals or businesses who believe they may have tortious interference with contract claims in arizona should. arizona tort law gives six elements that. Tortious Interference With Contract Arizona.
From www.uslegalforms.com
New Jersey Complaint Tortious Interference with Contract Relations Tortious Interference With Contract Arizona on article discusses where constitutes wrongful interference underneath arizona right, what conduct a examined. individuals or businesses who believe they may have tortious interference with contract claims in arizona should. if a third party interferes with a contract, the third party may be liable for money damages resulting from his. arizona tort law gives six elements. Tortious Interference With Contract Arizona.
From businesslawyerinflorida.com
What is Tortious Interference with Contract? Tortious Interference With Contract Arizona under arizona law, courts recognize two possible types of wrongful interference claims: individuals or businesses who believe they may have tortious interference with contract claims in arizona should. arizona tort law gives six elements that the aggrieved party (plaintiff) needs to prove in court that the defendant. business torts in arizona cover wrongful actions that cause. Tortious Interference With Contract Arizona.
From www.vaziri.law
The Third Wheel Of Contracts Tortious Interference Vaziri Law Tortious Interference With Contract Arizona arizona tort law gives six elements that the aggrieved party (plaintiff) needs to prove in court that the defendant. under arizona law, courts recognize two possible types of wrongful interference claims: if a third party interferes with a contract, the third party may be liable for money damages resulting from his. business torts in arizona cover. Tortious Interference With Contract Arizona.
From perrycharnoff.com
Tortious Interference with Contract Perry Charnoff PLLC Tortious Interference With Contract Arizona state bar of arizona; individuals or businesses who believe they may have tortious interference with contract claims in arizona should. if a third party interferes with a contract, the third party may be liable for money damages resulting from his. arizona tort law gives six elements that the aggrieved party (plaintiff) needs to prove in court. Tortious Interference With Contract Arizona.
From www.uslegalforms.com
Complaint regarding Intentional Interference with Contract Tortious Tortious Interference With Contract Arizona if a third party interferes with a contract, the third party may be liable for money damages resulting from his. state bar of arizona; business torts in arizona cover wrongful actions that cause financial harm or unfair disadvantage to your. under arizona law, courts recognize two possible types of wrongful interference claims: on article discusses. Tortious Interference With Contract Arizona.
From www.uslegalforms.com
New Jersey Complaint Tortious Interference with Contract Relations Tortious Interference With Contract Arizona individuals or businesses who believe they may have tortious interference with contract claims in arizona should. business torts in arizona cover wrongful actions that cause financial harm or unfair disadvantage to your. arizona tort law gives six elements that the aggrieved party (plaintiff) needs to prove in court that the defendant. state bar of arizona; . Tortious Interference With Contract Arizona.
From www.pjlesq.com
Tortious Interference What Your Company Needs To Know Tortious Interference With Contract Arizona under arizona law, courts recognize two possible types of wrongful interference claims: arizona tort law gives six elements that the aggrieved party (plaintiff) needs to prove in court that the defendant. individuals or businesses who believe they may have tortious interference with contract claims in arizona should. on article discusses where constitutes wrongful interference underneath arizona. Tortious Interference With Contract Arizona.
From studylib.net
Tortious interference with contractual rights requires Tortious Interference With Contract Arizona on article discusses where constitutes wrongful interference underneath arizona right, what conduct a examined. business torts in arizona cover wrongful actions that cause financial harm or unfair disadvantage to your. individuals or businesses who believe they may have tortious interference with contract claims in arizona should. arizona tort law gives six elements that the aggrieved party. Tortious Interference With Contract Arizona.
From lindleylawoffice.com
TORTIOUS INTERFERENCE WITH CONTRACT Blog Tortious Interference With Contract Arizona arizona tort law gives six elements that the aggrieved party (plaintiff) needs to prove in court that the defendant. under arizona law, courts recognize two possible types of wrongful interference claims: if a third party interferes with a contract, the third party may be liable for money damages resulting from his. individuals or businesses who believe. Tortious Interference With Contract Arizona.
From www.uslegalforms.com
New Jersey Complaint Tortious Interference with Contract Relations Tortious Interference With Contract Arizona under arizona law, courts recognize two possible types of wrongful interference claims: on article discusses where constitutes wrongful interference underneath arizona right, what conduct a examined. individuals or businesses who believe they may have tortious interference with contract claims in arizona should. state bar of arizona; business torts in arizona cover wrongful actions that cause. Tortious Interference With Contract Arizona.
From www.signnow.com
Tortious Interference with Contract or Business Expectancy Form Fill Tortious Interference With Contract Arizona state bar of arizona; if a third party interferes with a contract, the third party may be liable for money damages resulting from his. under arizona law, courts recognize two possible types of wrongful interference claims: on article discusses where constitutes wrongful interference underneath arizona right, what conduct a examined. individuals or businesses who believe. Tortious Interference With Contract Arizona.
From thefrazerfirm.com
What is a Tortious Interference with Contractual or Business Tortious Interference With Contract Arizona under arizona law, courts recognize two possible types of wrongful interference claims: individuals or businesses who believe they may have tortious interference with contract claims in arizona should. state bar of arizona; on article discusses where constitutes wrongful interference underneath arizona right, what conduct a examined. business torts in arizona cover wrongful actions that cause. Tortious Interference With Contract Arizona.
From www.pattersonlawfirm.com
What Is Tortious Interference with Contract In Illinois? Tortious Interference With Contract Arizona on article discusses where constitutes wrongful interference underneath arizona right, what conduct a examined. under arizona law, courts recognize two possible types of wrongful interference claims: business torts in arizona cover wrongful actions that cause financial harm or unfair disadvantage to your. state bar of arizona; if a third party interferes with a contract, the. Tortious Interference With Contract Arizona.
From www.uslegalforms.com
Complaint regarding Intentional Interference with Contract Tortious Tortious Interference With Contract Arizona arizona tort law gives six elements that the aggrieved party (plaintiff) needs to prove in court that the defendant. if a third party interferes with a contract, the third party may be liable for money damages resulting from his. individuals or businesses who believe they may have tortious interference with contract claims in arizona should. state. Tortious Interference With Contract Arizona.
From www.uslegalforms.com
Michigan Tortious Interference with Contract Contract/Consideration Tortious Interference With Contract Arizona on article discusses where constitutes wrongful interference underneath arizona right, what conduct a examined. business torts in arizona cover wrongful actions that cause financial harm or unfair disadvantage to your. if a third party interferes with a contract, the third party may be liable for money damages resulting from his. under arizona law, courts recognize two. Tortious Interference With Contract Arizona.
From studylib.net
A New Tortious Interference with Contractual Tortious Interference With Contract Arizona under arizona law, courts recognize two possible types of wrongful interference claims: state bar of arizona; on article discusses where constitutes wrongful interference underneath arizona right, what conduct a examined. business torts in arizona cover wrongful actions that cause financial harm or unfair disadvantage to your. arizona tort law gives six elements that the aggrieved. Tortious Interference With Contract Arizona.
From www.uslegalforms.com
New Jersey Complaint Tortious Interference with Contract Relations Tortious Interference With Contract Arizona business torts in arizona cover wrongful actions that cause financial harm or unfair disadvantage to your. state bar of arizona; individuals or businesses who believe they may have tortious interference with contract claims in arizona should. if a third party interferes with a contract, the third party may be liable for money damages resulting from his.. Tortious Interference With Contract Arizona.
From www.researchgate.net
(PDF) Tortious Interference with Contract Versus “Efficient” Breach Tortious Interference With Contract Arizona business torts in arizona cover wrongful actions that cause financial harm or unfair disadvantage to your. state bar of arizona; if a third party interferes with a contract, the third party may be liable for money damages resulting from his. individuals or businesses who believe they may have tortious interference with contract claims in arizona should.. Tortious Interference With Contract Arizona.
From www.uslegalforms.com
New Jersey Complaint Tortious Interference with Contract Relations Tortious Interference With Contract Arizona arizona tort law gives six elements that the aggrieved party (plaintiff) needs to prove in court that the defendant. individuals or businesses who believe they may have tortious interference with contract claims in arizona should. under arizona law, courts recognize two possible types of wrongful interference claims: if a third party interferes with a contract, the. Tortious Interference With Contract Arizona.