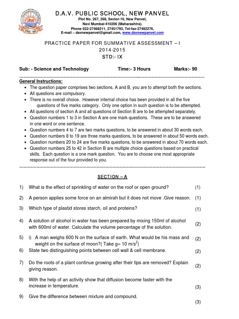
Class 9 Sample Paper Dav . Class 9 mid term exam question and sample papers 2024. The resource centre of davcae is a depository of all davcae developed resources for dav school teachers and students such as. Classification of elements and periodicity in properties. Davcae provides a reservoir of previous year question papers of classes viii & xi in downloadable and printable pdf format for the convenience of its teachers and students. It includes general instructions, marking details, and. On studocu you find all the lecture notes, summaries and study guides you need to pass your exams. Mathematics (041) time :90 minutes. This document provides instructions for a summative assessment practice paper for 9th standard science and technology students. The question paper contains three parts a, b.
from jsuniltutorial.weebly.com
It includes general instructions, marking details, and. Mathematics (041) time :90 minutes. The question paper contains three parts a, b. Classification of elements and periodicity in properties. The resource centre of davcae is a depository of all davcae developed resources for dav school teachers and students such as. Davcae provides a reservoir of previous year question papers of classes viii & xi in downloadable and printable pdf format for the convenience of its teachers and students. On studocu you find all the lecture notes, summaries and study guides you need to pass your exams. Class 9 mid term exam question and sample papers 2024. This document provides instructions for a summative assessment practice paper for 9th standard science and technology students.
7th DAV science Halyyearly question paper 2024
Class 9 Sample Paper Dav Davcae provides a reservoir of previous year question papers of classes viii & xi in downloadable and printable pdf format for the convenience of its teachers and students. The question paper contains three parts a, b. Class 9 mid term exam question and sample papers 2024. On studocu you find all the lecture notes, summaries and study guides you need to pass your exams. Mathematics (041) time :90 minutes. It includes general instructions, marking details, and. Davcae provides a reservoir of previous year question papers of classes viii & xi in downloadable and printable pdf format for the convenience of its teachers and students. The resource centre of davcae is a depository of all davcae developed resources for dav school teachers and students such as. Classification of elements and periodicity in properties. This document provides instructions for a summative assessment practice paper for 9th standard science and technology students.
From allncertsolutions.com
Class 9 Maths Sample Paper 2024 PDF Download Self Study Practice Class 9 Sample Paper Dav The resource centre of davcae is a depository of all davcae developed resources for dav school teachers and students such as. Davcae provides a reservoir of previous year question papers of classes viii & xi in downloadable and printable pdf format for the convenience of its teachers and students. It includes general instructions, marking details, and. On studocu you find. Class 9 Sample Paper Dav.
From www.youtube.com
DAV Class 6 Science Annual Exam Question Paper 2022 23 🔥🔥 YouTube Class 9 Sample Paper Dav This document provides instructions for a summative assessment practice paper for 9th standard science and technology students. Mathematics (041) time :90 minutes. The question paper contains three parts a, b. On studocu you find all the lecture notes, summaries and study guides you need to pass your exams. Davcae provides a reservoir of previous year question papers of classes viii. Class 9 Sample Paper Dav.
From www.vedantu.com
CBSE Sample Paper for Class 9 Social Science with Solutions Mock Paper1 Class 9 Sample Paper Dav The resource centre of davcae is a depository of all davcae developed resources for dav school teachers and students such as. The question paper contains three parts a, b. Class 9 mid term exam question and sample papers 2024. Classification of elements and periodicity in properties. This document provides instructions for a summative assessment practice paper for 9th standard science. Class 9 Sample Paper Dav.
From www.youtube.com
DAV Class 9 Sst Original Question Paper Half Yearly Exam Mid Term Class 9 Sample Paper Dav The resource centre of davcae is a depository of all davcae developed resources for dav school teachers and students such as. Classification of elements and periodicity in properties. This document provides instructions for a summative assessment practice paper for 9th standard science and technology students. Mathematics (041) time :90 minutes. On studocu you find all the lecture notes, summaries and. Class 9 Sample Paper Dav.
From schools.aglasem.com
Class 9 Sample Paper 2022 Social Science Term 2 with Solution Class 9 Sample Paper Dav On studocu you find all the lecture notes, summaries and study guides you need to pass your exams. The resource centre of davcae is a depository of all davcae developed resources for dav school teachers and students such as. It includes general instructions, marking details, and. Class 9 mid term exam question and sample papers 2024. Mathematics (041) time :90. Class 9 Sample Paper Dav.
From www.youtube.com
Class 9 Artificial Intelligence Term 2 Sample Question Paper With PDF Class 9 Sample Paper Dav It includes general instructions, marking details, and. This document provides instructions for a summative assessment practice paper for 9th standard science and technology students. Davcae provides a reservoir of previous year question papers of classes viii & xi in downloadable and printable pdf format for the convenience of its teachers and students. The question paper contains three parts a, b.. Class 9 Sample Paper Dav.
From imagetou.com
Class 9 It 402 Sample Paper 2022 23 Image to u Class 9 Sample Paper Dav Davcae provides a reservoir of previous year question papers of classes viii & xi in downloadable and printable pdf format for the convenience of its teachers and students. The question paper contains three parts a, b. On studocu you find all the lecture notes, summaries and study guides you need to pass your exams. The resource centre of davcae is. Class 9 Sample Paper Dav.
From mungfali.com
Sample Paper Class 9th Science Class 9 Sample Paper Dav On studocu you find all the lecture notes, summaries and study guides you need to pass your exams. Class 9 mid term exam question and sample papers 2024. Davcae provides a reservoir of previous year question papers of classes viii & xi in downloadable and printable pdf format for the convenience of its teachers and students. Mathematics (041) time :90. Class 9 Sample Paper Dav.
From www.slideshare.net
SAMPLE PAPER FOR CLASS IX(SA1) Class 9 Sample Paper Dav On studocu you find all the lecture notes, summaries and study guides you need to pass your exams. Classification of elements and periodicity in properties. The question paper contains three parts a, b. Class 9 mid term exam question and sample papers 2024. Davcae provides a reservoir of previous year question papers of classes viii & xi in downloadable and. Class 9 Sample Paper Dav.
From jsuniltutorial.weebly.com
7th DAV science Halyyearly question paper 2024 Class 9 Sample Paper Dav On studocu you find all the lecture notes, summaries and study guides you need to pass your exams. It includes general instructions, marking details, and. Classification of elements and periodicity in properties. The question paper contains three parts a, b. This document provides instructions for a summative assessment practice paper for 9th standard science and technology students. Class 9 mid. Class 9 Sample Paper Dav.
From byjus.com
CBSE Sample Paper Class 9 Science Set 3 Click to Download PDF! Class 9 Sample Paper Dav Davcae provides a reservoir of previous year question papers of classes viii & xi in downloadable and printable pdf format for the convenience of its teachers and students. The resource centre of davcae is a depository of all davcae developed resources for dav school teachers and students such as. The question paper contains three parts a, b. It includes general. Class 9 Sample Paper Dav.
From www.youtube.com
Dav class 9 math question paper of annual exam Dav public school Class 9 Sample Paper Dav Mathematics (041) time :90 minutes. The resource centre of davcae is a depository of all davcae developed resources for dav school teachers and students such as. The question paper contains three parts a, b. This document provides instructions for a summative assessment practice paper for 9th standard science and technology students. On studocu you find all the lecture notes, summaries. Class 9 Sample Paper Dav.
From www.youtube.com
dav class 9 half yearly questions paper of Social science (2021 2022 Class 9 Sample Paper Dav It includes general instructions, marking details, and. The question paper contains three parts a, b. Class 9 mid term exam question and sample papers 2024. The resource centre of davcae is a depository of all davcae developed resources for dav school teachers and students such as. Davcae provides a reservoir of previous year question papers of classes viii & xi. Class 9 Sample Paper Dav.
From www.youtube.com
DAV CLASS 8 SCIENCE QUESTION PAPER 2023 PAPER 9 DAV CLASS 8 SCIENCE Class 9 Sample Paper Dav Davcae provides a reservoir of previous year question papers of classes viii & xi in downloadable and printable pdf format for the convenience of its teachers and students. Class 9 mid term exam question and sample papers 2024. Mathematics (041) time :90 minutes. The question paper contains three parts a, b. Classification of elements and periodicity in properties. On studocu. Class 9 Sample Paper Dav.
From schools.aglasem.com
Class 9 Social Science Mid Term Sample Paper 2024 Download PT1 / Term Class 9 Sample Paper Dav This document provides instructions for a summative assessment practice paper for 9th standard science and technology students. Davcae provides a reservoir of previous year question papers of classes viii & xi in downloadable and printable pdf format for the convenience of its teachers and students. The question paper contains three parts a, b. The resource centre of davcae is a. Class 9 Sample Paper Dav.
From www.scribd.com
9th Science Dav Sa1 Question Paper Acceleration Force Class 9 Sample Paper Dav Class 9 mid term exam question and sample papers 2024. Mathematics (041) time :90 minutes. Davcae provides a reservoir of previous year question papers of classes viii & xi in downloadable and printable pdf format for the convenience of its teachers and students. The resource centre of davcae is a depository of all davcae developed resources for dav school teachers. Class 9 Sample Paper Dav.
From www.youtube.com
DAV CLASS 8 SST QUESTION PAPER 2023 PAPER 8 DAV CLASS 8 SST SAMPLE Class 9 Sample Paper Dav On studocu you find all the lecture notes, summaries and study guides you need to pass your exams. Class 9 mid term exam question and sample papers 2024. It includes general instructions, marking details, and. The question paper contains three parts a, b. Classification of elements and periodicity in properties. Davcae provides a reservoir of previous year question papers of. Class 9 Sample Paper Dav.
From www.youtube.com
Dav class 9 question paper of science of annual exam Dav public Class 9 Sample Paper Dav This document provides instructions for a summative assessment practice paper for 9th standard science and technology students. Mathematics (041) time :90 minutes. The question paper contains three parts a, b. Classification of elements and periodicity in properties. The resource centre of davcae is a depository of all davcae developed resources for dav school teachers and students such as. It includes. Class 9 Sample Paper Dav.
From www.pinterest.co.uk
CBSE Solved Sample Papers for Class 9 Science SA2 Set A Sample Class 9 Sample Paper Dav Class 9 mid term exam question and sample papers 2024. It includes general instructions, marking details, and. Classification of elements and periodicity in properties. Mathematics (041) time :90 minutes. The question paper contains three parts a, b. This document provides instructions for a summative assessment practice paper for 9th standard science and technology students. The resource centre of davcae is. Class 9 Sample Paper Dav.
From www.youtube.com
DAV Class 9 Maths Term1 Question PaperDAV Class 9 Maths Half yearly Class 9 Sample Paper Dav Mathematics (041) time :90 minutes. The resource centre of davcae is a depository of all davcae developed resources for dav school teachers and students such as. Classification of elements and periodicity in properties. This document provides instructions for a summative assessment practice paper for 9th standard science and technology students. On studocu you find all the lecture notes, summaries and. Class 9 Sample Paper Dav.
From www.youtube.com
Dav class 9 question paper of math & social science of periodic test Class 9 Sample Paper Dav It includes general instructions, marking details, and. This document provides instructions for a summative assessment practice paper for 9th standard science and technology students. On studocu you find all the lecture notes, summaries and study guides you need to pass your exams. Class 9 mid term exam question and sample papers 2024. Davcae provides a reservoir of previous year question. Class 9 Sample Paper Dav.
From www.youtube.com
Dav class 5 question paper of half yearly examination of science Dav Class 9 Sample Paper Dav It includes general instructions, marking details, and. The resource centre of davcae is a depository of all davcae developed resources for dav school teachers and students such as. This document provides instructions for a summative assessment practice paper for 9th standard science and technology students. Class 9 mid term exam question and sample papers 2024. Mathematics (041) time :90 minutes.. Class 9 Sample Paper Dav.
From www.youtube.com
😱Math Half Yearly exam question paper 20232024 Dav Ncert Class 9 Class 9 Sample Paper Dav Mathematics (041) time :90 minutes. This document provides instructions for a summative assessment practice paper for 9th standard science and technology students. The resource centre of davcae is a depository of all davcae developed resources for dav school teachers and students such as. The question paper contains three parts a, b. Classification of elements and periodicity in properties. Davcae provides. Class 9 Sample Paper Dav.
From examples-papers.blogspot.com
Dav Science Sample Paper Class 8 examples papers Class 9 Sample Paper Dav This document provides instructions for a summative assessment practice paper for 9th standard science and technology students. Mathematics (041) time :90 minutes. The resource centre of davcae is a depository of all davcae developed resources for dav school teachers and students such as. On studocu you find all the lecture notes, summaries and study guides you need to pass your. Class 9 Sample Paper Dav.
From www.libya-design.com
Social Science Sample Paper Class 9 Term 1 CBSE Class 9 Sample Papers Class 9 Sample Paper Dav Davcae provides a reservoir of previous year question papers of classes viii & xi in downloadable and printable pdf format for the convenience of its teachers and students. Class 9 mid term exam question and sample papers 2024. This document provides instructions for a summative assessment practice paper for 9th standard science and technology students. Classification of elements and periodicity. Class 9 Sample Paper Dav.
From cevtjkbz.blob.core.windows.net
Class 9 Sample Paper Cbse English at Clifton Orchard blog Class 9 Sample Paper Dav The question paper contains three parts a, b. Davcae provides a reservoir of previous year question papers of classes viii & xi in downloadable and printable pdf format for the convenience of its teachers and students. Classification of elements and periodicity in properties. This document provides instructions for a summative assessment practice paper for 9th standard science and technology students.. Class 9 Sample Paper Dav.
From wiener.me
?English Final Exam Question Paper Dav Class Annual, 52 OFF Class 9 Sample Paper Dav It includes general instructions, marking details, and. Classification of elements and periodicity in properties. The question paper contains three parts a, b. On studocu you find all the lecture notes, summaries and study guides you need to pass your exams. This document provides instructions for a summative assessment practice paper for 9th standard science and technology students. The resource centre. Class 9 Sample Paper Dav.
From www.youtube.com
Dav class 9th question paper of computer of pt 3 sample paper Dav Class 9 Sample Paper Dav Mathematics (041) time :90 minutes. Davcae provides a reservoir of previous year question papers of classes viii & xi in downloadable and printable pdf format for the convenience of its teachers and students. The resource centre of davcae is a depository of all davcae developed resources for dav school teachers and students such as. The question paper contains three parts. Class 9 Sample Paper Dav.
From www.youtube.com
Dav class 9 question paper of math of annual examination mathematics Class 9 Sample Paper Dav Mathematics (041) time :90 minutes. Davcae provides a reservoir of previous year question papers of classes viii & xi in downloadable and printable pdf format for the convenience of its teachers and students. Class 9 mid term exam question and sample papers 2024. This document provides instructions for a summative assessment practice paper for 9th standard science and technology students.. Class 9 Sample Paper Dav.
From byjus.com
CBSE Class 9 Maths Sample Paper Set 9 Download Here! Class 9 Sample Paper Dav On studocu you find all the lecture notes, summaries and study guides you need to pass your exams. Classification of elements and periodicity in properties. It includes general instructions, marking details, and. Davcae provides a reservoir of previous year question papers of classes viii & xi in downloadable and printable pdf format for the convenience of its teachers and students.. Class 9 Sample Paper Dav.
From schools.aglasem.com
Class 9 English Mid Term Sample Paper 2024 Download PT1 / Term 1 Class 9 Sample Paper Dav Class 9 mid term exam question and sample papers 2024. Mathematics (041) time :90 minutes. On studocu you find all the lecture notes, summaries and study guides you need to pass your exams. The resource centre of davcae is a depository of all davcae developed resources for dav school teachers and students such as. This document provides instructions for a. Class 9 Sample Paper Dav.
From wiener.me
?English Final Exam Question Paper Dav Class Annual, 52 OFF Class 9 Sample Paper Dav It includes general instructions, marking details, and. The question paper contains three parts a, b. Mathematics (041) time :90 minutes. Davcae provides a reservoir of previous year question papers of classes viii & xi in downloadable and printable pdf format for the convenience of its teachers and students. Class 9 mid term exam question and sample papers 2024. On studocu. Class 9 Sample Paper Dav.
From giojmpcww.blob.core.windows.net
Class 9 Model Question Paper 2022 With Answers English at Jessica Class 9 Sample Paper Dav The question paper contains three parts a, b. The resource centre of davcae is a depository of all davcae developed resources for dav school teachers and students such as. On studocu you find all the lecture notes, summaries and study guides you need to pass your exams. Mathematics (041) time :90 minutes. Classification of elements and periodicity in properties. Class. Class 9 Sample Paper Dav.
From www.youtube.com
Dav class 5 science annual examination question paper Dav public Class 9 Sample Paper Dav Mathematics (041) time :90 minutes. The question paper contains three parts a, b. It includes general instructions, marking details, and. The resource centre of davcae is a depository of all davcae developed resources for dav school teachers and students such as. Davcae provides a reservoir of previous year question papers of classes viii & xi in downloadable and printable pdf. Class 9 Sample Paper Dav.
From byjus.com
CBSE Class 9 Maths Sample Paper Set 4 Download Here Class 9 Sample Paper Dav On studocu you find all the lecture notes, summaries and study guides you need to pass your exams. Classification of elements and periodicity in properties. Davcae provides a reservoir of previous year question papers of classes viii & xi in downloadable and printable pdf format for the convenience of its teachers and students. The resource centre of davcae is a. Class 9 Sample Paper Dav.