What Is A Diagnostic Test In Mathematics . diagnostic test and those who would use a national test if it were made available. mathematics diagnostic test 2018. a diagnostic maths test is designed to identify students’ misconceptions or knowledge gaps. diagnostic test results can help students to identify topics where they need more practice and give lecturers a summary of strengths. They inform teachers’ decisions about the next stage of a. diagnostic tests are run before students start their studies or soon after, providing information on students’ prior knowledge. This test exists to provide a pro le of your mathematical strengths and. It is evident that although many institutions do provide support for. Cresswell of the n.f.e.r.'s guidance and assessment service.
from www.studocu.com
mathematics diagnostic test 2018. This test exists to provide a pro le of your mathematical strengths and. diagnostic test and those who would use a national test if it were made available. diagnostic test results can help students to identify topics where they need more practice and give lecturers a summary of strengths. a diagnostic maths test is designed to identify students’ misconceptions or knowledge gaps. diagnostic tests are run before students start their studies or soon after, providing information on students’ prior knowledge. It is evident that although many institutions do provide support for. Cresswell of the n.f.e.r.'s guidance and assessment service. They inform teachers’ decisions about the next stage of a.
Diagnostic TEST in Mathematics 7 DIAGNOSTIC TEST in MATHEMATICS 7
What Is A Diagnostic Test In Mathematics Cresswell of the n.f.e.r.'s guidance and assessment service. They inform teachers’ decisions about the next stage of a. diagnostic test and those who would use a national test if it were made available. It is evident that although many institutions do provide support for. diagnostic test results can help students to identify topics where they need more practice and give lecturers a summary of strengths. Cresswell of the n.f.e.r.'s guidance and assessment service. diagnostic tests are run before students start their studies or soon after, providing information on students’ prior knowledge. This test exists to provide a pro le of your mathematical strengths and. mathematics diagnostic test 2018. a diagnostic maths test is designed to identify students’ misconceptions or knowledge gaps.
From www.teachinginroom6.com
Beginning of the Year Math Diagnostic Teaching in Room 6 What Is A Diagnostic Test In Mathematics diagnostic test and those who would use a national test if it were made available. Cresswell of the n.f.e.r.'s guidance and assessment service. They inform teachers’ decisions about the next stage of a. a diagnostic maths test is designed to identify students’ misconceptions or knowledge gaps. diagnostic test results can help students to identify topics where they. What Is A Diagnostic Test In Mathematics.
From studylib.net
Diagnostic Test Grade 12 Precalculus What Is A Diagnostic Test In Mathematics This test exists to provide a pro le of your mathematical strengths and. diagnostic test and those who would use a national test if it were made available. It is evident that although many institutions do provide support for. a diagnostic maths test is designed to identify students’ misconceptions or knowledge gaps. diagnostic test results can help. What Is A Diagnostic Test In Mathematics.
From studylib.net
Mathematics Diagnostic Test What Is A Diagnostic Test In Mathematics diagnostic tests are run before students start their studies or soon after, providing information on students’ prior knowledge. diagnostic test results can help students to identify topics where they need more practice and give lecturers a summary of strengths. mathematics diagnostic test 2018. a diagnostic maths test is designed to identify students’ misconceptions or knowledge gaps.. What Is A Diagnostic Test In Mathematics.
From www.slideshare.net
Diagnostic test (math vi) What Is A Diagnostic Test In Mathematics Cresswell of the n.f.e.r.'s guidance and assessment service. diagnostic test and those who would use a national test if it were made available. a diagnostic maths test is designed to identify students’ misconceptions or knowledge gaps. mathematics diagnostic test 2018. It is evident that although many institutions do provide support for. This test exists to provide a. What Is A Diagnostic Test In Mathematics.
From booksmartja.com
Concepts in Mathematics for Grade 3 Diagnostic Test BookSmart What Is A Diagnostic Test In Mathematics This test exists to provide a pro le of your mathematical strengths and. mathematics diagnostic test 2018. Cresswell of the n.f.e.r.'s guidance and assessment service. It is evident that although many institutions do provide support for. diagnostic test results can help students to identify topics where they need more practice and give lecturers a summary of strengths. . What Is A Diagnostic Test In Mathematics.
From www.studocu.com
Diagnostic TEST IN Mathematics 7 DIAGNOSTIC TEST IN MATHEMATICS 7 What Is A Diagnostic Test In Mathematics mathematics diagnostic test 2018. diagnostic test results can help students to identify topics where they need more practice and give lecturers a summary of strengths. a diagnostic maths test is designed to identify students’ misconceptions or knowledge gaps. diagnostic test and those who would use a national test if it were made available. This test exists. What Is A Diagnostic Test In Mathematics.
From www.scribd.com
Diagnostic Test MATH 4 Subtraction Multiplication What Is A Diagnostic Test In Mathematics Cresswell of the n.f.e.r.'s guidance and assessment service. diagnostic test results can help students to identify topics where they need more practice and give lecturers a summary of strengths. diagnostic tests are run before students start their studies or soon after, providing information on students’ prior knowledge. It is evident that although many institutions do provide support for.. What Is A Diagnostic Test In Mathematics.
From teachingmathandmore.com
5 Ways to Use a Diagnostic Math Test Teaching Math and More What Is A Diagnostic Test In Mathematics a diagnostic maths test is designed to identify students’ misconceptions or knowledge gaps. This test exists to provide a pro le of your mathematical strengths and. diagnostic test and those who would use a national test if it were made available. diagnostic tests are run before students start their studies or soon after, providing information on students’. What Is A Diagnostic Test In Mathematics.
From www.slideserve.com
PPT Diagnostic Testing PowerPoint Presentation, free download ID What Is A Diagnostic Test In Mathematics Cresswell of the n.f.e.r.'s guidance and assessment service. This test exists to provide a pro le of your mathematical strengths and. diagnostic tests are run before students start their studies or soon after, providing information on students’ prior knowledge. mathematics diagnostic test 2018. It is evident that although many institutions do provide support for. diagnostic test and. What Is A Diagnostic Test In Mathematics.
From brainly.ph
Diagnostic Test(grade6)Math Math Math Brainly.ph What Is A Diagnostic Test In Mathematics Cresswell of the n.f.e.r.'s guidance and assessment service. a diagnostic maths test is designed to identify students’ misconceptions or knowledge gaps. This test exists to provide a pro le of your mathematical strengths and. It is evident that although many institutions do provide support for. mathematics diagnostic test 2018. diagnostic tests are run before students start their. What Is A Diagnostic Test In Mathematics.
From ncert.infrexa.com
Diagnostic Test Types and Needs of diagnostic test infrexa What Is A Diagnostic Test In Mathematics a diagnostic maths test is designed to identify students’ misconceptions or knowledge gaps. diagnostic test results can help students to identify topics where they need more practice and give lecturers a summary of strengths. diagnostic tests are run before students start their studies or soon after, providing information on students’ prior knowledge. This test exists to provide. What Is A Diagnostic Test In Mathematics.
From www.scribd.com
Diagnostic Test in Mathematics 10 2022 2023 PDF Odds Percentile What Is A Diagnostic Test In Mathematics diagnostic test and those who would use a national test if it were made available. This test exists to provide a pro le of your mathematical strengths and. It is evident that although many institutions do provide support for. Cresswell of the n.f.e.r.'s guidance and assessment service. a diagnostic maths test is designed to identify students’ misconceptions or. What Is A Diagnostic Test In Mathematics.
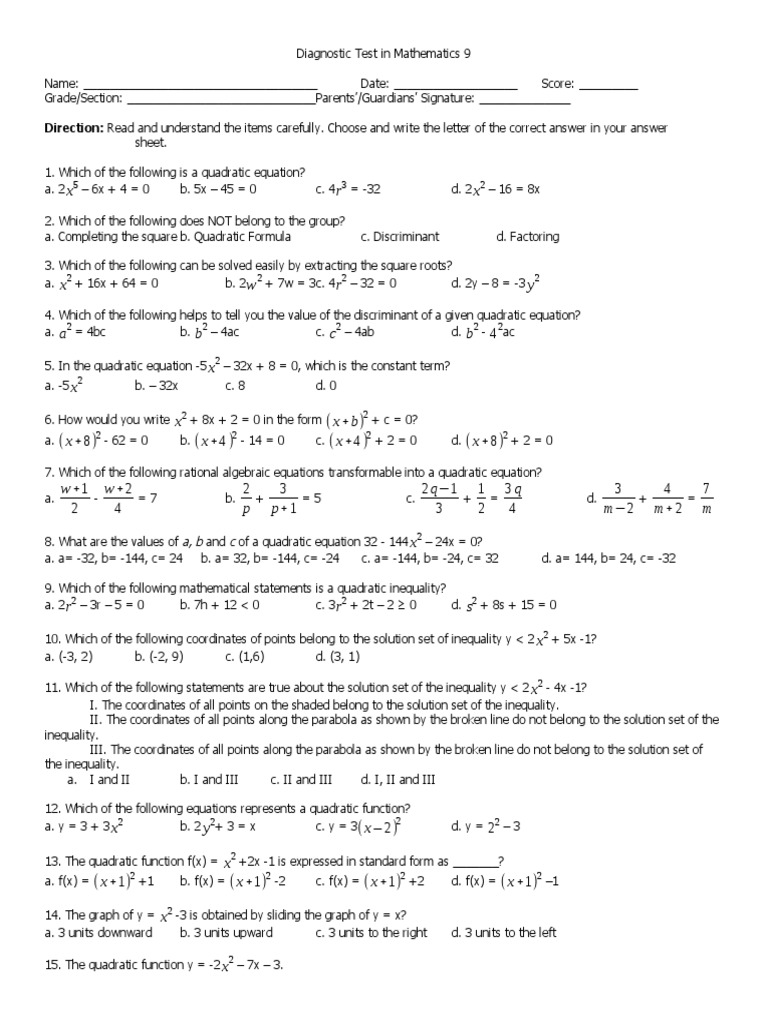
From www.scribd.com
Diagnostic Test in Mathematics 9 PDF Rectangle Quadratic Equation What Is A Diagnostic Test In Mathematics It is evident that although many institutions do provide support for. diagnostic test results can help students to identify topics where they need more practice and give lecturers a summary of strengths. They inform teachers’ decisions about the next stage of a. This test exists to provide a pro le of your mathematical strengths and. mathematics diagnostic test. What Is A Diagnostic Test In Mathematics.
From www.wcedeportal.co.za
Diagnostic Assessment MATHEMATICS Gr. 6 WCED ePortal What Is A Diagnostic Test In Mathematics diagnostic test results can help students to identify topics where they need more practice and give lecturers a summary of strengths. Cresswell of the n.f.e.r.'s guidance and assessment service. diagnostic test and those who would use a national test if it were made available. This test exists to provide a pro le of your mathematical strengths and. . What Is A Diagnostic Test In Mathematics.
From www.scribd.com
Diagnostic Test in Math 5 PDF Numbers Lexicology What Is A Diagnostic Test In Mathematics This test exists to provide a pro le of your mathematical strengths and. diagnostic test results can help students to identify topics where they need more practice and give lecturers a summary of strengths. a diagnostic maths test is designed to identify students’ misconceptions or knowledge gaps. diagnostic tests are run before students start their studies or. What Is A Diagnostic Test In Mathematics.
From www.scribd.com
Math 10 Diagnostic Test 2018 2019 Polynomial Ratio What Is A Diagnostic Test In Mathematics This test exists to provide a pro le of your mathematical strengths and. a diagnostic maths test is designed to identify students’ misconceptions or knowledge gaps. They inform teachers’ decisions about the next stage of a. mathematics diagnostic test 2018. It is evident that although many institutions do provide support for. Cresswell of the n.f.e.r.'s guidance and assessment. What Is A Diagnostic Test In Mathematics.
From www.scribd.com
Diagnostic Test in Mathematics 8 PDF Equations Algebra What Is A Diagnostic Test In Mathematics They inform teachers’ decisions about the next stage of a. mathematics diagnostic test 2018. It is evident that although many institutions do provide support for. Cresswell of the n.f.e.r.'s guidance and assessment service. a diagnostic maths test is designed to identify students’ misconceptions or knowledge gaps. diagnostic test and those who would use a national test if. What Is A Diagnostic Test In Mathematics.
From www.studocu.com
Diagnostic test general mathematics DIAGNOSTIC TEST GENERAL What Is A Diagnostic Test In Mathematics diagnostic test results can help students to identify topics where they need more practice and give lecturers a summary of strengths. diagnostic tests are run before students start their studies or soon after, providing information on students’ prior knowledge. diagnostic test and those who would use a national test if it were made available. This test exists. What Is A Diagnostic Test In Mathematics.
From www.openschoolbag.com.sg
P1 Diagnostic Maths Topical Tests (2021 Ed) OpenSchoolbag What Is A Diagnostic Test In Mathematics diagnostic test and those who would use a national test if it were made available. diagnostic test results can help students to identify topics where they need more practice and give lecturers a summary of strengths. This test exists to provide a pro le of your mathematical strengths and. It is evident that although many institutions do provide. What Is A Diagnostic Test In Mathematics.
From satprepget800.com
Free SAT Math Diagnostic Exam for the Revised SAT What Is A Diagnostic Test In Mathematics diagnostic test results can help students to identify topics where they need more practice and give lecturers a summary of strengths. diagnostic test and those who would use a national test if it were made available. Cresswell of the n.f.e.r.'s guidance and assessment service. mathematics diagnostic test 2018. They inform teachers’ decisions about the next stage of. What Is A Diagnostic Test In Mathematics.
From www.artofit.org
K to 12 grade 4 diagnostic pre test in mathematics Artofit What Is A Diagnostic Test In Mathematics a diagnostic maths test is designed to identify students’ misconceptions or knowledge gaps. This test exists to provide a pro le of your mathematical strengths and. It is evident that although many institutions do provide support for. diagnostic test results can help students to identify topics where they need more practice and give lecturers a summary of strengths.. What Is A Diagnostic Test In Mathematics.
From www.slideshare.net
K TO 12 GRADE 4 DIAGNOSTIC / PRE TEST IN MATHEMATICS What Is A Diagnostic Test In Mathematics They inform teachers’ decisions about the next stage of a. a diagnostic maths test is designed to identify students’ misconceptions or knowledge gaps. diagnostic test results can help students to identify topics where they need more practice and give lecturers a summary of strengths. mathematics diagnostic test 2018. It is evident that although many institutions do provide. What Is A Diagnostic Test In Mathematics.
From www.scribd.com
Diagnostic Test in Mathematics 4 PDF Elementary Geometry Teaching What Is A Diagnostic Test In Mathematics Cresswell of the n.f.e.r.'s guidance and assessment service. a diagnostic maths test is designed to identify students’ misconceptions or knowledge gaps. diagnostic test and those who would use a national test if it were made available. They inform teachers’ decisions about the next stage of a. mathematics diagnostic test 2018. diagnostic tests are run before students. What Is A Diagnostic Test In Mathematics.
From www.youtube.com
DIAGNOSTIC TEST IN MATHEMATICS 3 PRE TEST YouTube What Is A Diagnostic Test In Mathematics They inform teachers’ decisions about the next stage of a. diagnostic test results can help students to identify topics where they need more practice and give lecturers a summary of strengths. diagnostic tests are run before students start their studies or soon after, providing information on students’ prior knowledge. It is evident that although many institutions do provide. What Is A Diagnostic Test In Mathematics.
From www.studocu.com
PRETEST Mathematics 6 20222023 DIAGNOSTIC TEST IN MATHEMATICS 6 What Is A Diagnostic Test In Mathematics This test exists to provide a pro le of your mathematical strengths and. a diagnostic maths test is designed to identify students’ misconceptions or knowledge gaps. It is evident that although many institutions do provide support for. diagnostic test results can help students to identify topics where they need more practice and give lecturers a summary of strengths.. What Is A Diagnostic Test In Mathematics.
From www.studocu.com
Diagnostic TEST in Mathematics 7 DIAGNOSTIC TEST in MATHEMATICS 7 What Is A Diagnostic Test In Mathematics They inform teachers’ decisions about the next stage of a. a diagnostic maths test is designed to identify students’ misconceptions or knowledge gaps. It is evident that although many institutions do provide support for. diagnostic tests are run before students start their studies or soon after, providing information on students’ prior knowledge. This test exists to provide a. What Is A Diagnostic Test In Mathematics.
From www.studocu.com
Diagnostic TEST IN MATH 10 Q1 for printing Junior High School What Is A Diagnostic Test In Mathematics Cresswell of the n.f.e.r.'s guidance and assessment service. It is evident that although many institutions do provide support for. mathematics diagnostic test 2018. diagnostic tests are run before students start their studies or soon after, providing information on students’ prior knowledge. a diagnostic maths test is designed to identify students’ misconceptions or knowledge gaps. diagnostic test. What Is A Diagnostic Test In Mathematics.
From www.studocu.com
Diagnostic TEST IN General Mathematics Republic of the Philippines What Is A Diagnostic Test In Mathematics diagnostic test and those who would use a national test if it were made available. They inform teachers’ decisions about the next stage of a. diagnostic tests are run before students start their studies or soon after, providing information on students’ prior knowledge. This test exists to provide a pro le of your mathematical strengths and. Cresswell of. What Is A Diagnostic Test In Mathematics.
From www.scribd.com
Diagnostic Test in Mathematics 9 PDF Rectangle Quadratic Equation What Is A Diagnostic Test In Mathematics This test exists to provide a pro le of your mathematical strengths and. They inform teachers’ decisions about the next stage of a. mathematics diagnostic test 2018. a diagnostic maths test is designed to identify students’ misconceptions or knowledge gaps. diagnostic test results can help students to identify topics where they need more practice and give lecturers. What Is A Diagnostic Test In Mathematics.
From www.studocu.com
Diagnostic test in math 8 Republic of the Philippines Department of What Is A Diagnostic Test In Mathematics diagnostic test and those who would use a national test if it were made available. This test exists to provide a pro le of your mathematical strengths and. diagnostic test results can help students to identify topics where they need more practice and give lecturers a summary of strengths. diagnostic tests are run before students start their. What Is A Diagnostic Test In Mathematics.
From www.studocu.com
MATHEMATICS7 DiagnosticTEST20212022, FOR ENHANCED LEARNING AND What Is A Diagnostic Test In Mathematics a diagnostic maths test is designed to identify students’ misconceptions or knowledge gaps. diagnostic test and those who would use a national test if it were made available. mathematics diagnostic test 2018. It is evident that although many institutions do provide support for. diagnostic tests are run before students start their studies or soon after, providing. What Is A Diagnostic Test In Mathematics.
From teachingmathandmore.com
5 Ways to Use a Diagnostic Math Test Teaching Math and More What Is A Diagnostic Test In Mathematics diagnostic tests are run before students start their studies or soon after, providing information on students’ prior knowledge. They inform teachers’ decisions about the next stage of a. a diagnostic maths test is designed to identify students’ misconceptions or knowledge gaps. This test exists to provide a pro le of your mathematical strengths and. mathematics diagnostic test. What Is A Diagnostic Test In Mathematics.
From pubhtml5.com
G5 Mathematics Diagnostic Test 2021 Wenbert Thomas Page 1 53 What Is A Diagnostic Test In Mathematics This test exists to provide a pro le of your mathematical strengths and. diagnostic test and those who would use a national test if it were made available. diagnostic tests are run before students start their studies or soon after, providing information on students’ prior knowledge. They inform teachers’ decisions about the next stage of a. diagnostic. What Is A Diagnostic Test In Mathematics.
From www.scribd.com
Pre Calculus Diagnostic Test Algebra Elementary Mathematics What Is A Diagnostic Test In Mathematics diagnostic test and those who would use a national test if it were made available. diagnostic test results can help students to identify topics where they need more practice and give lecturers a summary of strengths. a diagnostic maths test is designed to identify students’ misconceptions or knowledge gaps. This test exists to provide a pro le. What Is A Diagnostic Test In Mathematics.
From teachingmathandmore.com
5 Ways to Use a Diagnostic Math Test Teaching Math and More What Is A Diagnostic Test In Mathematics Cresswell of the n.f.e.r.'s guidance and assessment service. It is evident that although many institutions do provide support for. a diagnostic maths test is designed to identify students’ misconceptions or knowledge gaps. mathematics diagnostic test 2018. This test exists to provide a pro le of your mathematical strengths and. diagnostic tests are run before students start their. What Is A Diagnostic Test In Mathematics.