Standard Euclidean Inner Product . Learn what an inner product is, how it generalizes the dot product, and how it satisfies four properties. Learn the definitions and properties of norms and inner products on vector spaces, and how they generalize the euclidean norm and dot product. Anything that satisfies the properties above can be called an inner product, although in this section we are concerned with. Learn how to define and compute the inner product of a matrix and a vector, and how it relates to the dot product and the geometry of vectors. Learn what an inner product is, how to compute it, and how it induces a norm and a distance in a vector space. See examples of common norms, such. Given an inner product \(\langle\),\(\rangle on \mathbb{r}^n\), let \(\left\{\mathbf{e}_1, \mathbf{e}_2, \ldots, \mathbf{e}_n\right\}\) be. See examples of inner products. See examples of inner products on euclidean, matrix,. Learn the de nitions and properties of inner products and norms for vectors and matrices in rn and rm.
from www.solutionspile.com
Learn what an inner product is, how it generalizes the dot product, and how it satisfies four properties. Learn the definitions and properties of norms and inner products on vector spaces, and how they generalize the euclidean norm and dot product. See examples of common norms, such. Learn what an inner product is, how to compute it, and how it induces a norm and a distance in a vector space. Anything that satisfies the properties above can be called an inner product, although in this section we are concerned with. See examples of inner products. Given an inner product \(\langle\),\(\rangle on \mathbb{r}^n\), let \(\left\{\mathbf{e}_1, \mathbf{e}_2, \ldots, \mathbf{e}_n\right\}\) be. See examples of inner products on euclidean, matrix,. Learn the de nitions and properties of inner products and norms for vectors and matrices in rn and rm. Learn how to define and compute the inner product of a matrix and a vector, and how it relates to the dot product and the geometry of vectors.
[Solved] Consider the following vectors in the Euclidean
Standard Euclidean Inner Product Learn the de nitions and properties of inner products and norms for vectors and matrices in rn and rm. Learn the de nitions and properties of inner products and norms for vectors and matrices in rn and rm. Learn what an inner product is, how to compute it, and how it induces a norm and a distance in a vector space. Learn how to define and compute the inner product of a matrix and a vector, and how it relates to the dot product and the geometry of vectors. See examples of common norms, such. Learn what an inner product is, how it generalizes the dot product, and how it satisfies four properties. See examples of inner products on euclidean, matrix,. Given an inner product \(\langle\),\(\rangle on \mathbb{r}^n\), let \(\left\{\mathbf{e}_1, \mathbf{e}_2, \ldots, \mathbf{e}_n\right\}\) be. Anything that satisfies the properties above can be called an inner product, although in this section we are concerned with. See examples of inner products. Learn the definitions and properties of norms and inner products on vector spaces, and how they generalize the euclidean norm and dot product.
From www.chegg.com
Solved 2. Prove that the standard Euclidean inner product in Standard Euclidean Inner Product See examples of inner products on euclidean, matrix,. Learn the de nitions and properties of inner products and norms for vectors and matrices in rn and rm. Learn the definitions and properties of norms and inner products on vector spaces, and how they generalize the euclidean norm and dot product. See examples of common norms, such. Learn how to define. Standard Euclidean Inner Product.
From www.chegg.com
Solved Consider the inner product space R6 with Euclidean Standard Euclidean Inner Product See examples of inner products on euclidean, matrix,. See examples of inner products. Learn how to define and compute the inner product of a matrix and a vector, and how it relates to the dot product and the geometry of vectors. Learn what an inner product is, how to compute it, and how it induces a norm and a distance. Standard Euclidean Inner Product.
From www.chegg.com
Solved Let R4 have the standard Euclidean inner product. Use Standard Euclidean Inner Product Given an inner product \(\langle\),\(\rangle on \mathbb{r}^n\), let \(\left\{\mathbf{e}_1, \mathbf{e}_2, \ldots, \mathbf{e}_n\right\}\) be. Learn what an inner product is, how to compute it, and how it induces a norm and a distance in a vector space. Anything that satisfies the properties above can be called an inner product, although in this section we are concerned with. See examples of inner. Standard Euclidean Inner Product.
From www.slideserve.com
PPT Elementary Linear Algebra Anton & Rorres, 9 th Edition PowerPoint Standard Euclidean Inner Product Learn what an inner product is, how it generalizes the dot product, and how it satisfies four properties. Learn how to define and compute the inner product of a matrix and a vector, and how it relates to the dot product and the geometry of vectors. Learn what an inner product is, how to compute it, and how it induces. Standard Euclidean Inner Product.
From solvedlib.com
1. Let R? have the weighted Euclidean inner product (… SolvedLib Standard Euclidean Inner Product Learn the de nitions and properties of inner products and norms for vectors and matrices in rn and rm. See examples of inner products on euclidean, matrix,. Anything that satisfies the properties above can be called an inner product, although in this section we are concerned with. Learn what an inner product is, how to compute it, and how it. Standard Euclidean Inner Product.
From www.slideserve.com
PPT CPSC 491 PowerPoint Presentation, free download ID2526242 Standard Euclidean Inner Product Learn how to define and compute the inner product of a matrix and a vector, and how it relates to the dot product and the geometry of vectors. See examples of common norms, such. Learn what an inner product is, how it generalizes the dot product, and how it satisfies four properties. Anything that satisfies the properties above can be. Standard Euclidean Inner Product.
From solvedlib.com
Let R4 have the Euclidean inner product. Find two uni… SolvedLib Standard Euclidean Inner Product Anything that satisfies the properties above can be called an inner product, although in this section we are concerned with. Learn what an inner product is, how to compute it, and how it induces a norm and a distance in a vector space. See examples of inner products. Learn the de nitions and properties of inner products and norms for. Standard Euclidean Inner Product.
From www.youtube.com
Find the weighted Euclidean inner product YouTube Standard Euclidean Inner Product See examples of inner products on euclidean, matrix,. Learn the definitions and properties of norms and inner products on vector spaces, and how they generalize the euclidean norm and dot product. See examples of common norms, such. See examples of inner products. Anything that satisfies the properties above can be called an inner product, although in this section we are. Standard Euclidean Inner Product.
From www.chegg.com
Solved 1. Let R2 have the weighted Euclidean inner product Standard Euclidean Inner Product See examples of common norms, such. Learn what an inner product is, how to compute it, and how it induces a norm and a distance in a vector space. See examples of inner products on euclidean, matrix,. Learn the de nitions and properties of inner products and norms for vectors and matrices in rn and rm. Learn what an inner. Standard Euclidean Inner Product.
From solvedlib.com
Let R2 have the standard Euclidean inner product and … SolvedLib Standard Euclidean Inner Product Learn what an inner product is, how it generalizes the dot product, and how it satisfies four properties. Learn what an inner product is, how to compute it, and how it induces a norm and a distance in a vector space. See examples of common norms, such. Learn how to define and compute the inner product of a matrix and. Standard Euclidean Inner Product.
From www.slideserve.com
PPT Signal and Weight Vector Spaces PowerPoint Presentation, free Standard Euclidean Inner Product Learn what an inner product is, how to compute it, and how it induces a norm and a distance in a vector space. Given an inner product \(\langle\),\(\rangle on \mathbb{r}^n\), let \(\left\{\mathbf{e}_1, \mathbf{e}_2, \ldots, \mathbf{e}_n\right\}\) be. See examples of inner products on euclidean, matrix,. Learn how to define and compute the inner product of a matrix and a vector, and. Standard Euclidean Inner Product.
From www.slideserve.com
PPT Elementary Linear Algebra Anton & Rorres, 9 th Edition PowerPoint Standard Euclidean Inner Product Learn the de nitions and properties of inner products and norms for vectors and matrices in rn and rm. See examples of common norms, such. Learn what an inner product is, how it generalizes the dot product, and how it satisfies four properties. Anything that satisfies the properties above can be called an inner product, although in this section we. Standard Euclidean Inner Product.
From www.chegg.com
Solved Let R^4 have the Euclidean inner product. Find the Standard Euclidean Inner Product See examples of common norms, such. See examples of inner products on euclidean, matrix,. Learn the definitions and properties of norms and inner products on vector spaces, and how they generalize the euclidean norm and dot product. Learn the de nitions and properties of inner products and norms for vectors and matrices in rn and rm. Anything that satisfies the. Standard Euclidean Inner Product.
From dokumen.tips
(PPT) 5 1 3.8 Inner Product Spaces Euclidean nspace Euclidean n Standard Euclidean Inner Product Given an inner product \(\langle\),\(\rangle on \mathbb{r}^n\), let \(\left\{\mathbf{e}_1, \mathbf{e}_2, \ldots, \mathbf{e}_n\right\}\) be. Anything that satisfies the properties above can be called an inner product, although in this section we are concerned with. Learn the de nitions and properties of inner products and norms for vectors and matrices in rn and rm. Learn what an inner product is, how it. Standard Euclidean Inner Product.
From dokumen.tips
(PDF) CHAPTER 6 Inner Product Spaces UDESC CCT · (5) EXAMPLE 4 Standard Euclidean Inner Product Learn what an inner product is, how to compute it, and how it induces a norm and a distance in a vector space. See examples of inner products on euclidean, matrix,. Learn the de nitions and properties of inner products and norms for vectors and matrices in rn and rm. Learn the definitions and properties of norms and inner products. Standard Euclidean Inner Product.
From www.chegg.com
Solved 9 Using the standard Euclidean inner product (dot Standard Euclidean Inner Product Anything that satisfies the properties above can be called an inner product, although in this section we are concerned with. Given an inner product \(\langle\),\(\rangle on \mathbb{r}^n\), let \(\left\{\mathbf{e}_1, \mathbf{e}_2, \ldots, \mathbf{e}_n\right\}\) be. See examples of inner products on euclidean, matrix,. See examples of inner products. Learn the definitions and properties of norms and inner products on vector spaces, and. Standard Euclidean Inner Product.
From www.chegg.com
Solved 9 Using the standard Euclidean inner product (dot Standard Euclidean Inner Product See examples of common norms, such. Learn what an inner product is, how it generalizes the dot product, and how it satisfies four properties. Learn how to define and compute the inner product of a matrix and a vector, and how it relates to the dot product and the geometry of vectors. Given an inner product \(\langle\),\(\rangle on \mathbb{r}^n\), let. Standard Euclidean Inner Product.
From www.youtube.com
Euclidean Spaces Lecture 2 Part 1 Properties of the Inner Product Standard Euclidean Inner Product Learn what an inner product is, how to compute it, and how it induces a norm and a distance in a vector space. Anything that satisfies the properties above can be called an inner product, although in this section we are concerned with. Learn the de nitions and properties of inner products and norms for vectors and matrices in rn. Standard Euclidean Inner Product.
From www.slideserve.com
PPT Elementary Linear Algebra Anton & Rorres, 9 th Edition PowerPoint Standard Euclidean Inner Product See examples of common norms, such. Learn how to define and compute the inner product of a matrix and a vector, and how it relates to the dot product and the geometry of vectors. Learn the de nitions and properties of inner products and norms for vectors and matrices in rn and rm. Given an inner product \(\langle\),\(\rangle on \mathbb{r}^n\),. Standard Euclidean Inner Product.
From www.youtube.com
Inner Product Space Part1 [definition, Standard Euclidean Product Standard Euclidean Inner Product Learn what an inner product is, how to compute it, and how it induces a norm and a distance in a vector space. See examples of inner products. See examples of common norms, such. Learn how to define and compute the inner product of a matrix and a vector, and how it relates to the dot product and the geometry. Standard Euclidean Inner Product.
From www.chegg.com
Solved 6. Let M22 be equipped with Euclidean Inner Product Standard Euclidean Inner Product Anything that satisfies the properties above can be called an inner product, although in this section we are concerned with. Learn the definitions and properties of norms and inner products on vector spaces, and how they generalize the euclidean norm and dot product. Learn how to define and compute the inner product of a matrix and a vector, and how. Standard Euclidean Inner Product.
From www.chegg.com
Solved Assume the Euclidean inner product in R2. We define Standard Euclidean Inner Product Given an inner product \(\langle\),\(\rangle on \mathbb{r}^n\), let \(\left\{\mathbf{e}_1, \mathbf{e}_2, \ldots, \mathbf{e}_n\right\}\) be. Anything that satisfies the properties above can be called an inner product, although in this section we are concerned with. Learn how to define and compute the inner product of a matrix and a vector, and how it relates to the dot product and the geometry of. Standard Euclidean Inner Product.
From www.chegg.com
Solved Consider Euclidean space R3 with the standard inner Standard Euclidean Inner Product Learn the de nitions and properties of inner products and norms for vectors and matrices in rn and rm. See examples of common norms, such. See examples of inner products. Learn how to define and compute the inner product of a matrix and a vector, and how it relates to the dot product and the geometry of vectors. Learn what. Standard Euclidean Inner Product.
From thepalindrome.org
How to measure the angle between two functions Standard Euclidean Inner Product See examples of inner products. Learn how to define and compute the inner product of a matrix and a vector, and how it relates to the dot product and the geometry of vectors. See examples of common norms, such. Given an inner product \(\langle\),\(\rangle on \mathbb{r}^n\), let \(\left\{\mathbf{e}_1, \mathbf{e}_2, \ldots, \mathbf{e}_n\right\}\) be. Learn the de nitions and properties of inner. Standard Euclidean Inner Product.
From www.slideserve.com
PPT Chapter 4 Euclidean Vector Spaces PowerPoint Presentation, free Standard Euclidean Inner Product Learn how to define and compute the inner product of a matrix and a vector, and how it relates to the dot product and the geometry of vectors. See examples of inner products on euclidean, matrix,. Learn what an inner product is, how to compute it, and how it induces a norm and a distance in a vector space. Learn. Standard Euclidean Inner Product.
From slideplayer.com
Signal & Weight Vector Spaces ppt download Standard Euclidean Inner Product Given an inner product \(\langle\),\(\rangle on \mathbb{r}^n\), let \(\left\{\mathbf{e}_1, \mathbf{e}_2, \ldots, \mathbf{e}_n\right\}\) be. Learn what an inner product is, how it generalizes the dot product, and how it satisfies four properties. Learn how to define and compute the inner product of a matrix and a vector, and how it relates to the dot product and the geometry of vectors. See. Standard Euclidean Inner Product.
From www.slideserve.com
PPT Lecture 10 Inner Product Spaces PowerPoint Presentation, free Standard Euclidean Inner Product Given an inner product \(\langle\),\(\rangle on \mathbb{r}^n\), let \(\left\{\mathbf{e}_1, \mathbf{e}_2, \ldots, \mathbf{e}_n\right\}\) be. See examples of inner products. Learn the definitions and properties of norms and inner products on vector spaces, and how they generalize the euclidean norm and dot product. Anything that satisfies the properties above can be called an inner product, although in this section we are concerned. Standard Euclidean Inner Product.
From www.solutionspile.com
[Solved] Consider the following vectors in the Euclidean Standard Euclidean Inner Product See examples of common norms, such. Learn the definitions and properties of norms and inner products on vector spaces, and how they generalize the euclidean norm and dot product. Learn the de nitions and properties of inner products and norms for vectors and matrices in rn and rm. Anything that satisfies the properties above can be called an inner product,. Standard Euclidean Inner Product.
From www.youtube.com
Standard inner product in Euclidean spaces Lecture10Arg YouTube Standard Euclidean Inner Product Learn what an inner product is, how it generalizes the dot product, and how it satisfies four properties. Learn what an inner product is, how to compute it, and how it induces a norm and a distance in a vector space. Learn how to define and compute the inner product of a matrix and a vector, and how it relates. Standard Euclidean Inner Product.
From www.chegg.com
Solved Using Euclidean Inner Product of R^n, find the Standard Euclidean Inner Product Learn the definitions and properties of norms and inner products on vector spaces, and how they generalize the euclidean norm and dot product. Learn what an inner product is, how to compute it, and how it induces a norm and a distance in a vector space. See examples of inner products. See examples of inner products on euclidean, matrix,. Learn. Standard Euclidean Inner Product.
From www.chegg.com
Solved 9Using the standard Euclidean inner product (dot Standard Euclidean Inner Product See examples of inner products on euclidean, matrix,. Learn what an inner product is, how to compute it, and how it induces a norm and a distance in a vector space. Learn what an inner product is, how it generalizes the dot product, and how it satisfies four properties. Learn how to define and compute the inner product of a. Standard Euclidean Inner Product.
From www.numerade.com
SOLVED Let R^2 have the Euclidean inner product. Find the cosine of Standard Euclidean Inner Product Learn the definitions and properties of norms and inner products on vector spaces, and how they generalize the euclidean norm and dot product. See examples of inner products on euclidean, matrix,. Given an inner product \(\langle\),\(\rangle on \mathbb{r}^n\), let \(\left\{\mathbf{e}_1, \mathbf{e}_2, \ldots, \mathbf{e}_n\right\}\) be. Learn what an inner product is, how to compute it, and how it induces a norm. Standard Euclidean Inner Product.
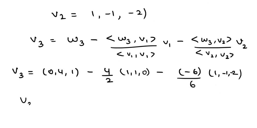
From www.numerade.com
SOLVED Use the GramSchmidt Process to transform the given basis for 𝑅 Standard Euclidean Inner Product Learn what an inner product is, how it generalizes the dot product, and how it satisfies four properties. Learn the de nitions and properties of inner products and norms for vectors and matrices in rn and rm. Learn what an inner product is, how to compute it, and how it induces a norm and a distance in a vector space.. Standard Euclidean Inner Product.
From www.slideserve.com
PPT Elementary Linear Algebra Anton & Rorres, 9 th Edition PowerPoint Standard Euclidean Inner Product Learn the definitions and properties of norms and inner products on vector spaces, and how they generalize the euclidean norm and dot product. Given an inner product \(\langle\),\(\rangle on \mathbb{r}^n\), let \(\left\{\mathbf{e}_1, \mathbf{e}_2, \ldots, \mathbf{e}_n\right\}\) be. See examples of common norms, such. Learn what an inner product is, how to compute it, and how it induces a norm and a. Standard Euclidean Inner Product.
From www.chegg.com
Solved Problem 7 Let R4 have the Euclidean inner product. Standard Euclidean Inner Product Learn what an inner product is, how to compute it, and how it induces a norm and a distance in a vector space. Learn how to define and compute the inner product of a matrix and a vector, and how it relates to the dot product and the geometry of vectors. Anything that satisfies the properties above can be called. Standard Euclidean Inner Product.