How Many Gallons Per Hour From Garden Hose . The average garden hose gpm would be around 12 to 13, but this. The flow rate of a garden hose depends on several factors, including the diameter of the hose, the water pressure supplied by the source, and any potential obstructions or. The flow rate of water through a garden hose is measured in gallons per minute (gpm). How many gallons per hour flow from a garden hose? The flow rate can vary depending on a few factors, including the diameter of the hose, the pressure of the water source, and any obstructions in the hose. For example, a standard garden hose may have a flow rate of 10 gallons per minute (gpm). A typical garden hose flow rate is usually between 9 and 17 gallons per minute. The flow rate of a garden hose can vary depending on factors such as the pressure of the water source and the diameter of the. That means you can run 100 gallons of water through your hose reel in 10 minutes. While flow rate will vary based on hose length, hose diameter, and source water pressure, the most common flow rate will be between 10 and 25 gallons per minute.
from loerfjaze.blob.core.windows.net
The flow rate can vary depending on a few factors, including the diameter of the hose, the pressure of the water source, and any obstructions in the hose. The average garden hose gpm would be around 12 to 13, but this. For example, a standard garden hose may have a flow rate of 10 gallons per minute (gpm). The flow rate of a garden hose depends on several factors, including the diameter of the hose, the water pressure supplied by the source, and any potential obstructions or. The flow rate of water through a garden hose is measured in gallons per minute (gpm). While flow rate will vary based on hose length, hose diameter, and source water pressure, the most common flow rate will be between 10 and 25 gallons per minute. That means you can run 100 gallons of water through your hose reel in 10 minutes. A typical garden hose flow rate is usually between 9 and 17 gallons per minute. How many gallons per hour flow from a garden hose? The flow rate of a garden hose can vary depending on factors such as the pressure of the water source and the diameter of the.
How Much Water Does It Take To Fill Up A Pool at Amy Todd blog
How Many Gallons Per Hour From Garden Hose The average garden hose gpm would be around 12 to 13, but this. The average garden hose gpm would be around 12 to 13, but this. The flow rate of water through a garden hose is measured in gallons per minute (gpm). A typical garden hose flow rate is usually between 9 and 17 gallons per minute. The flow rate of a garden hose can vary depending on factors such as the pressure of the water source and the diameter of the. That means you can run 100 gallons of water through your hose reel in 10 minutes. The flow rate of a garden hose depends on several factors, including the diameter of the hose, the water pressure supplied by the source, and any potential obstructions or. How many gallons per hour flow from a garden hose? For example, a standard garden hose may have a flow rate of 10 gallons per minute (gpm). While flow rate will vary based on hose length, hose diameter, and source water pressure, the most common flow rate will be between 10 and 25 gallons per minute. The flow rate can vary depending on a few factors, including the diameter of the hose, the pressure of the water source, and any obstructions in the hose.
From worksheetcampuscause.z13.web.core.windows.net
30 Qt Equals How Many Gallons How Many Gallons Per Hour From Garden Hose The flow rate of a garden hose can vary depending on factors such as the pressure of the water source and the diameter of the. For example, a standard garden hose may have a flow rate of 10 gallons per minute (gpm). The average garden hose gpm would be around 12 to 13, but this. How many gallons per hour. How Many Gallons Per Hour From Garden Hose.
From www.walmart.com
Best Garden 5/8 In. Dia. x 25 Ft. L. HeavyDuty Soft & Supple Garden How Many Gallons Per Hour From Garden Hose How many gallons per hour flow from a garden hose? A typical garden hose flow rate is usually between 9 and 17 gallons per minute. While flow rate will vary based on hose length, hose diameter, and source water pressure, the most common flow rate will be between 10 and 25 gallons per minute. That means you can run 100. How Many Gallons Per Hour From Garden Hose.
From storables.com
How To Fix A Garden Hose Leak Storables How Many Gallons Per Hour From Garden Hose The flow rate of a garden hose depends on several factors, including the diameter of the hose, the water pressure supplied by the source, and any potential obstructions or. While flow rate will vary based on hose length, hose diameter, and source water pressure, the most common flow rate will be between 10 and 25 gallons per minute. A typical. How Many Gallons Per Hour From Garden Hose.
From joiqynzts.blob.core.windows.net
Best Garden Watering System Australia at Marie Jackson blog How Many Gallons Per Hour From Garden Hose The average garden hose gpm would be around 12 to 13, but this. That means you can run 100 gallons of water through your hose reel in 10 minutes. The flow rate of water through a garden hose is measured in gallons per minute (gpm). For example, a standard garden hose may have a flow rate of 10 gallons per. How Many Gallons Per Hour From Garden Hose.
From www.fascinatewithzea.com
Garden Hose Gallons Per Minute Fasci Garden How Many Gallons Per Hour From Garden Hose For example, a standard garden hose may have a flow rate of 10 gallons per minute (gpm). A typical garden hose flow rate is usually between 9 and 17 gallons per minute. The flow rate of water through a garden hose is measured in gallons per minute (gpm). The flow rate can vary depending on a few factors, including the. How Many Gallons Per Hour From Garden Hose.
From gardenhosezone.com
Finding The Average Gallons Per Minute Of a Garden Hose The Easyto How Many Gallons Per Hour From Garden Hose The flow rate of a garden hose can vary depending on factors such as the pressure of the water source and the diameter of the. The flow rate can vary depending on a few factors, including the diameter of the hose, the pressure of the water source, and any obstructions in the hose. The flow rate of water through a. How Many Gallons Per Hour From Garden Hose.
From exoawxsht.blob.core.windows.net
How Many Gallons Of Propane Does An Oven Use Per Hour at Cindy Jones blog How Many Gallons Per Hour From Garden Hose That means you can run 100 gallons of water through your hose reel in 10 minutes. How many gallons per hour flow from a garden hose? The flow rate of water through a garden hose is measured in gallons per minute (gpm). A typical garden hose flow rate is usually between 9 and 17 gallons per minute. For example, a. How Many Gallons Per Hour From Garden Hose.
From www.youtube.com
Converting a 5 gallon bucket to garden hose for gravity fed drip tube How Many Gallons Per Hour From Garden Hose That means you can run 100 gallons of water through your hose reel in 10 minutes. A typical garden hose flow rate is usually between 9 and 17 gallons per minute. The flow rate can vary depending on a few factors, including the diameter of the hose, the pressure of the water source, and any obstructions in the hose. The. How Many Gallons Per Hour From Garden Hose.
From gardenhosezone.com
The Average Flow Rate Of A Garden Hose The Ultimate And Amazing 4 How Many Gallons Per Hour From Garden Hose The average garden hose gpm would be around 12 to 13, but this. The flow rate of a garden hose can vary depending on factors such as the pressure of the water source and the diameter of the. A typical garden hose flow rate is usually between 9 and 17 gallons per minute. The flow rate can vary depending on. How Many Gallons Per Hour From Garden Hose.
From www.bestproductguider.com
The Best Garden Hose Timers of 2022 How Many Gallons Per Hour From Garden Hose The flow rate of a garden hose can vary depending on factors such as the pressure of the water source and the diameter of the. While flow rate will vary based on hose length, hose diameter, and source water pressure, the most common flow rate will be between 10 and 25 gallons per minute. For example, a standard garden hose. How Many Gallons Per Hour From Garden Hose.
From bubbleslidess.com
How Much Water Does A Garden Hose Use Per Hour How Many Gallons Per Hour From Garden Hose While flow rate will vary based on hose length, hose diameter, and source water pressure, the most common flow rate will be between 10 and 25 gallons per minute. The flow rate of a garden hose can vary depending on factors such as the pressure of the water source and the diameter of the. The flow rate can vary depending. How Many Gallons Per Hour From Garden Hose.
From homesthetics.net
How Many Gallons Per Minute Does An Impact Sprinkler Use? How Many Gallons Per Hour From Garden Hose The flow rate of a garden hose can vary depending on factors such as the pressure of the water source and the diameter of the. For example, a standard garden hose may have a flow rate of 10 gallons per minute (gpm). The flow rate of a garden hose depends on several factors, including the diameter of the hose, the. How Many Gallons Per Hour From Garden Hose.
From www.walmart.com
Portable Gas Powered Water Pump with Hoses (2,000 Gallons Per Hour How Many Gallons Per Hour From Garden Hose The flow rate of a garden hose can vary depending on factors such as the pressure of the water source and the diameter of the. While flow rate will vary based on hose length, hose diameter, and source water pressure, the most common flow rate will be between 10 and 25 gallons per minute. How many gallons per hour flow. How Many Gallons Per Hour From Garden Hose.
From klaojnlwd.blob.core.windows.net
How Many Gallons Per Minute Does A Water Hose Put Out at Elias Gross blog How Many Gallons Per Hour From Garden Hose That means you can run 100 gallons of water through your hose reel in 10 minutes. The average garden hose gpm would be around 12 to 13, but this. For example, a standard garden hose may have a flow rate of 10 gallons per minute (gpm). The flow rate of a garden hose can vary depending on factors such as. How Many Gallons Per Hour From Garden Hose.
From klaajzgne.blob.core.windows.net
Water Tank Construction Cost Calculator at Amy Hicks blog How Many Gallons Per Hour From Garden Hose For example, a standard garden hose may have a flow rate of 10 gallons per minute (gpm). The flow rate of water through a garden hose is measured in gallons per minute (gpm). A typical garden hose flow rate is usually between 9 and 17 gallons per minute. While flow rate will vary based on hose length, hose diameter, and. How Many Gallons Per Hour From Garden Hose.
From mononum.blogspot.com
How Many Gallons Per Minute Does A Garden Hose / How Many Gallons Per Hour From Garden Hose That means you can run 100 gallons of water through your hose reel in 10 minutes. How many gallons per hour flow from a garden hose? While flow rate will vary based on hose length, hose diameter, and source water pressure, the most common flow rate will be between 10 and 25 gallons per minute. The flow rate can vary. How Many Gallons Per Hour From Garden Hose.
From gardenyard.co.uk
Best Garden Hose UK Reviews Of Expandable, AutoRewind And AntiKink How Many Gallons Per Hour From Garden Hose The flow rate can vary depending on a few factors, including the diameter of the hose, the pressure of the water source, and any obstructions in the hose. How many gallons per hour flow from a garden hose? The flow rate of a garden hose depends on several factors, including the diameter of the hose, the water pressure supplied by. How Many Gallons Per Hour From Garden Hose.
From loerfjaze.blob.core.windows.net
How Much Water Does It Take To Fill Up A Pool at Amy Todd blog How Many Gallons Per Hour From Garden Hose The flow rate of a garden hose depends on several factors, including the diameter of the hose, the water pressure supplied by the source, and any potential obstructions or. For example, a standard garden hose may have a flow rate of 10 gallons per minute (gpm). The flow rate of a garden hose can vary depending on factors such as. How Many Gallons Per Hour From Garden Hose.
From www.edsrental.com
3/4″ Electric Submersible Pump (Garden Hose) Eds Rental & Sales How Many Gallons Per Hour From Garden Hose A typical garden hose flow rate is usually between 9 and 17 gallons per minute. For example, a standard garden hose may have a flow rate of 10 gallons per minute (gpm). The flow rate can vary depending on a few factors, including the diameter of the hose, the pressure of the water source, and any obstructions in the hose.. How Many Gallons Per Hour From Garden Hose.
From www.coursehero.com
[Solved] A hose fills a hot tub at a rate of 3.17 gallons per minute How Many Gallons Per Hour From Garden Hose For example, a standard garden hose may have a flow rate of 10 gallons per minute (gpm). The flow rate of a garden hose depends on several factors, including the diameter of the hose, the water pressure supplied by the source, and any potential obstructions or. The flow rate of water through a garden hose is measured in gallons per. How Many Gallons Per Hour From Garden Hose.
From bubbleslidess.com
How Many Gallons Per Minute Is A Garden Hose How Many Gallons Per Hour From Garden Hose For example, a standard garden hose may have a flow rate of 10 gallons per minute (gpm). The flow rate can vary depending on a few factors, including the diameter of the hose, the pressure of the water source, and any obstructions in the hose. How many gallons per hour flow from a garden hose? The flow rate of a. How Many Gallons Per Hour From Garden Hose.
From loewyzbih.blob.core.windows.net
Volume Of Pvc Pipe Per Foot at Timothy Tuten blog How Many Gallons Per Hour From Garden Hose The flow rate of water through a garden hose is measured in gallons per minute (gpm). While flow rate will vary based on hose length, hose diameter, and source water pressure, the most common flow rate will be between 10 and 25 gallons per minute. The average garden hose gpm would be around 12 to 13, but this. The flow. How Many Gallons Per Hour From Garden Hose.
From medium.com
How many gpm is a garden hose. Knowing how many gallons per minute How Many Gallons Per Hour From Garden Hose The flow rate of a garden hose depends on several factors, including the diameter of the hose, the water pressure supplied by the source, and any potential obstructions or. How many gallons per hour flow from a garden hose? A typical garden hose flow rate is usually between 9 and 17 gallons per minute. The flow rate can vary depending. How Many Gallons Per Hour From Garden Hose.
From oursweetgarden.com
Garden Hose Flow Rates Understanding Gallons Per Minute for Better How Many Gallons Per Hour From Garden Hose The average garden hose gpm would be around 12 to 13, but this. How many gallons per hour flow from a garden hose? That means you can run 100 gallons of water through your hose reel in 10 minutes. A typical garden hose flow rate is usually between 9 and 17 gallons per minute. The flow rate can vary depending. How Many Gallons Per Hour From Garden Hose.
From www.desertcart.in
Buy 300 Pcs Drip Emitters Irrigation Sprinkler Adjustable Water Flow How Many Gallons Per Hour From Garden Hose The flow rate of water through a garden hose is measured in gallons per minute (gpm). That means you can run 100 gallons of water through your hose reel in 10 minutes. The flow rate of a garden hose depends on several factors, including the diameter of the hose, the water pressure supplied by the source, and any potential obstructions. How Many Gallons Per Hour From Garden Hose.
From klaojnlwd.blob.core.windows.net
How Many Gallons Per Minute Does A Water Hose Put Out at Elias Gross blog How Many Gallons Per Hour From Garden Hose The flow rate of a garden hose can vary depending on factors such as the pressure of the water source and the diameter of the. The average garden hose gpm would be around 12 to 13, but this. While flow rate will vary based on hose length, hose diameter, and source water pressure, the most common flow rate will be. How Many Gallons Per Hour From Garden Hose.
From mavink.com
Drip Irrigation Gph Chart How Many Gallons Per Hour From Garden Hose The average garden hose gpm would be around 12 to 13, but this. For example, a standard garden hose may have a flow rate of 10 gallons per minute (gpm). A typical garden hose flow rate is usually between 9 and 17 gallons per minute. The flow rate can vary depending on a few factors, including the diameter of the. How Many Gallons Per Hour From Garden Hose.
From brainly.com
A 20,000 gallon swimming pool contains 5000 gallons of water when a How Many Gallons Per Hour From Garden Hose The flow rate of water through a garden hose is measured in gallons per minute (gpm). While flow rate will vary based on hose length, hose diameter, and source water pressure, the most common flow rate will be between 10 and 25 gallons per minute. The flow rate of a garden hose depends on several factors, including the diameter of. How Many Gallons Per Hour From Garden Hose.
From klaojnlwd.blob.core.windows.net
How Many Gallons Per Minute Does A Water Hose Put Out at Elias Gross blog How Many Gallons Per Hour From Garden Hose A typical garden hose flow rate is usually between 9 and 17 gallons per minute. How many gallons per hour flow from a garden hose? The flow rate of a garden hose depends on several factors, including the diameter of the hose, the water pressure supplied by the source, and any potential obstructions or. That means you can run 100. How Many Gallons Per Hour From Garden Hose.
From flashyhouse.co.uk
What Is an Expandable Garden Hose? Let's Find Out! Flashy House How Many Gallons Per Hour From Garden Hose How many gallons per hour flow from a garden hose? While flow rate will vary based on hose length, hose diameter, and source water pressure, the most common flow rate will be between 10 and 25 gallons per minute. That means you can run 100 gallons of water through your hose reel in 10 minutes. The average garden hose gpm. How Many Gallons Per Hour From Garden Hose.
From topweddingsideas.blogspot.com
Gallons Per Minute From A Garden Hose How Many Gallons Per Hour From Garden Hose A typical garden hose flow rate is usually between 9 and 17 gallons per minute. That means you can run 100 gallons of water through your hose reel in 10 minutes. The flow rate can vary depending on a few factors, including the diameter of the hose, the pressure of the water source, and any obstructions in the hose. The. How Many Gallons Per Hour From Garden Hose.
From gardenhosezone.com
Finding The Average Gallons Per Minute Of a Garden Hose The Easyto How Many Gallons Per Hour From Garden Hose The flow rate of a garden hose can vary depending on factors such as the pressure of the water source and the diameter of the. That means you can run 100 gallons of water through your hose reel in 10 minutes. The flow rate of water through a garden hose is measured in gallons per minute (gpm). While flow rate. How Many Gallons Per Hour From Garden Hose.
From www.gauthmath.com
The flow of water, in gallons per hour, through a garden house on a hot How Many Gallons Per Hour From Garden Hose For example, a standard garden hose may have a flow rate of 10 gallons per minute (gpm). That means you can run 100 gallons of water through your hose reel in 10 minutes. The flow rate can vary depending on a few factors, including the diameter of the hose, the pressure of the water source, and any obstructions in the. How Many Gallons Per Hour From Garden Hose.
From www.sportys.com
3/4 inch Flexogen Garden Hose (25 feet) from Sporty's Tool Shop How Many Gallons Per Hour From Garden Hose That means you can run 100 gallons of water through your hose reel in 10 minutes. The flow rate of a garden hose depends on several factors, including the diameter of the hose, the water pressure supplied by the source, and any potential obstructions or. The flow rate of water through a garden hose is measured in gallons per minute. How Many Gallons Per Hour From Garden Hose.
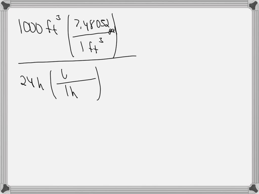
From www.numerade.com
SOLVED The owner of a 1,000 ft swimming pool desires to fill it up How Many Gallons Per Hour From Garden Hose A typical garden hose flow rate is usually between 9 and 17 gallons per minute. How many gallons per hour flow from a garden hose? The flow rate can vary depending on a few factors, including the diameter of the hose, the pressure of the water source, and any obstructions in the hose. The flow rate of a garden hose. How Many Gallons Per Hour From Garden Hose.