Iron Density In Mercury . For future use, bookmark this periodic. The density of common metals such as iron is 7.87 g/cm3, mild steel is 7.85 g/cm3, 304 stainless steel is 8.0 g/cm3, aluminum is. Engineers frequently need to utilize the property of density during the process of estimating product weight. Density is defined as mass divided by volume, or mass per unit volume. The density in kilograms per cubic meter can be obtained by multiplying. Get a free hd image of the periodic table. If you find this article useful then please. The typical density of common metals can be found listed in the table below. The density of mercury is approximately 13.6 g/cm³, while the density of iron is about 7.87. To see how density of materials is calculated, click here. Yes, mercury is more dense than iron.
from dxoizvtcj.blob.core.windows.net
The density in kilograms per cubic meter can be obtained by multiplying. Yes, mercury is more dense than iron. To see how density of materials is calculated, click here. If you find this article useful then please. Density is defined as mass divided by volume, or mass per unit volume. The typical density of common metals can be found listed in the table below. The density of common metals such as iron is 7.87 g/cm3, mild steel is 7.85 g/cm3, 304 stainless steel is 8.0 g/cm3, aluminum is. Get a free hd image of the periodic table. Engineers frequently need to utilize the property of density during the process of estimating product weight. The density of mercury is approximately 13.6 g/cm³, while the density of iron is about 7.87.
Lead Density Of Kg/M3 at Raul Briscoe blog
Iron Density In Mercury To see how density of materials is calculated, click here. For future use, bookmark this periodic. To see how density of materials is calculated, click here. Density is defined as mass divided by volume, or mass per unit volume. Yes, mercury is more dense than iron. Engineers frequently need to utilize the property of density during the process of estimating product weight. If you find this article useful then please. The density of mercury is approximately 13.6 g/cm³, while the density of iron is about 7.87. The density in kilograms per cubic meter can be obtained by multiplying. Get a free hd image of the periodic table. The typical density of common metals can be found listed in the table below. The density of common metals such as iron is 7.87 g/cm3, mild steel is 7.85 g/cm3, 304 stainless steel is 8.0 g/cm3, aluminum is.
From www.quirkyscience.com
Does Iron Float in Mercury? Relative Densities Iron Density In Mercury To see how density of materials is calculated, click here. The density in kilograms per cubic meter can be obtained by multiplying. Engineers frequently need to utilize the property of density during the process of estimating product weight. If you find this article useful then please. The density of common metals such as iron is 7.87 g/cm3, mild steel is. Iron Density In Mercury.
From fphoto.photoshelter.com
density miscibility mercury water science labglass Fundamental Iron Density In Mercury For future use, bookmark this periodic. If you find this article useful then please. To see how density of materials is calculated, click here. The density of mercury is approximately 13.6 g/cm³, while the density of iron is about 7.87. The typical density of common metals can be found listed in the table below. The density of common metals such. Iron Density In Mercury.
From brainly.in
the density of mercury is 13.6 its relative density is Brainly.in Iron Density In Mercury Engineers frequently need to utilize the property of density during the process of estimating product weight. Get a free hd image of the periodic table. To see how density of materials is calculated, click here. Yes, mercury is more dense than iron. The typical density of common metals can be found listed in the table below. For future use, bookmark. Iron Density In Mercury.
From fphoto.photoshelter.com
science chemistry density Fundamental Photographs The Art of Science Iron Density In Mercury The density of common metals such as iron is 7.87 g/cm3, mild steel is 7.85 g/cm3, 304 stainless steel is 8.0 g/cm3, aluminum is. For future use, bookmark this periodic. Density is defined as mass divided by volume, or mass per unit volume. The density in kilograms per cubic meter can be obtained by multiplying. Yes, mercury is more dense. Iron Density In Mercury.
From www.youtube.com
The relative density of mercury is 13.6. What is its density in SI unit Iron Density In Mercury The density in kilograms per cubic meter can be obtained by multiplying. Density is defined as mass divided by volume, or mass per unit volume. For future use, bookmark this periodic. Engineers frequently need to utilize the property of density during the process of estimating product weight. To see how density of materials is calculated, click here. Yes, mercury is. Iron Density In Mercury.
From www.numerade.com
SOLVED mercury (Hg) manometer is used (0 measure the pressure in 3 Iron Density In Mercury The density of mercury is approximately 13.6 g/cm³, while the density of iron is about 7.87. To see how density of materials is calculated, click here. For future use, bookmark this periodic. Get a free hd image of the periodic table. Density is defined as mass divided by volume, or mass per unit volume. If you find this article useful. Iron Density In Mercury.
From www.youtube.com
FINDING OUT THE DENSITY OF IRON YouTube Iron Density In Mercury To see how density of materials is calculated, click here. Yes, mercury is more dense than iron. For future use, bookmark this periodic. If you find this article useful then please. Density is defined as mass divided by volume, or mass per unit volume. Get a free hd image of the periodic table. The typical density of common metals can. Iron Density In Mercury.
From phys.org
Why does Mercury have such a big iron core? Iron Density In Mercury To see how density of materials is calculated, click here. The typical density of common metals can be found listed in the table below. If you find this article useful then please. Yes, mercury is more dense than iron. For future use, bookmark this periodic. The density of mercury is approximately 13.6 g/cm³, while the density of iron is about. Iron Density In Mercury.
From www.doubtnut.com
The density of mercury at 0^C is 13600 (kg)/m^3 and volume coefficient Iron Density In Mercury Engineers frequently need to utilize the property of density during the process of estimating product weight. To see how density of materials is calculated, click here. The density of mercury is approximately 13.6 g/cm³, while the density of iron is about 7.87. The typical density of common metals can be found listed in the table below. For future use, bookmark. Iron Density In Mercury.
From www.ebay.com
Iron density cube ultra precision 10x10x10mm Hand finished and Iron Density In Mercury Yes, mercury is more dense than iron. Density is defined as mass divided by volume, or mass per unit volume. If you find this article useful then please. The density of mercury is approximately 13.6 g/cm³, while the density of iron is about 7.87. The density of common metals such as iron is 7.87 g/cm3, mild steel is 7.85 g/cm3,. Iron Density In Mercury.
From fphoto.photoshelter.com
density miscibility mercury water science labglass Fundamental Iron Density In Mercury For future use, bookmark this periodic. The typical density of common metals can be found listed in the table below. Density is defined as mass divided by volume, or mass per unit volume. Get a free hd image of the periodic table. To see how density of materials is calculated, click here. Engineers frequently need to utilize the property of. Iron Density In Mercury.
From www.pinterest.com
A brass weight floating in mercury. Cool stuff. Floating, Fun facts Iron Density In Mercury Density is defined as mass divided by volume, or mass per unit volume. Engineers frequently need to utilize the property of density during the process of estimating product weight. Yes, mercury is more dense than iron. To see how density of materials is calculated, click here. If you find this article useful then please. The density in kilograms per cubic. Iron Density In Mercury.
From www.chegg.com
Solved Table D.1 PHYSICAL PROPERTIES Density (kg/m2) and Iron Density In Mercury Get a free hd image of the periodic table. The density of common metals such as iron is 7.87 g/cm3, mild steel is 7.85 g/cm3, 304 stainless steel is 8.0 g/cm3, aluminum is. Density is defined as mass divided by volume, or mass per unit volume. Yes, mercury is more dense than iron. To see how density of materials is. Iron Density In Mercury.
From www.toppr.com
The density of iron is 7.87 g/cm^3. If the atoms are spherical and Iron Density In Mercury Get a free hd image of the periodic table. The density of common metals such as iron is 7.87 g/cm3, mild steel is 7.85 g/cm3, 304 stainless steel is 8.0 g/cm3, aluminum is. For future use, bookmark this periodic. Engineers frequently need to utilize the property of density during the process of estimating product weight. To see how density of. Iron Density In Mercury.
From retyja.weebly.com
retyja Blog Iron Density In Mercury The density in kilograms per cubic meter can be obtained by multiplying. The typical density of common metals can be found listed in the table below. The density of common metals such as iron is 7.87 g/cm3, mild steel is 7.85 g/cm3, 304 stainless steel is 8.0 g/cm3, aluminum is. If you find this article useful then please. Yes, mercury. Iron Density In Mercury.
From www.chegg.com
Solved 3. A barometer contains liquid mercury of density Iron Density In Mercury The density of common metals such as iron is 7.87 g/cm3, mild steel is 7.85 g/cm3, 304 stainless steel is 8.0 g/cm3, aluminum is. Engineers frequently need to utilize the property of density during the process of estimating product weight. The density in kilograms per cubic meter can be obtained by multiplying. The density of mercury is approximately 13.6 g/cm³,. Iron Density In Mercury.
From www.researchgate.net
Total iron loss density at rated condition. Download Scientific Diagram Iron Density In Mercury The density of mercury is approximately 13.6 g/cm³, while the density of iron is about 7.87. Engineers frequently need to utilize the property of density during the process of estimating product weight. The density in kilograms per cubic meter can be obtained by multiplying. Density is defined as mass divided by volume, or mass per unit volume. For future use,. Iron Density In Mercury.
From tamsubaubi.com
Can A Piece Of Iron Defy Gravity In Water? Iron Density In Mercury Get a free hd image of the periodic table. Engineers frequently need to utilize the property of density during the process of estimating product weight. For future use, bookmark this periodic. If you find this article useful then please. To see how density of materials is calculated, click here. The typical density of common metals can be found listed in. Iron Density In Mercury.
From fphoto.photoshelter.com
science chemistry density Fundamental Photographs The Art of Science Iron Density In Mercury Engineers frequently need to utilize the property of density during the process of estimating product weight. To see how density of materials is calculated, click here. Yes, mercury is more dense than iron. For future use, bookmark this periodic. Get a free hd image of the periodic table. The density of common metals such as iron is 7.87 g/cm3, mild. Iron Density In Mercury.
From material-properties.org
Fundición dúctil Densidad, resistencia, dureza, punto de fusión Iron Density In Mercury The typical density of common metals can be found listed in the table below. Density is defined as mass divided by volume, or mass per unit volume. The density of mercury is approximately 13.6 g/cm³, while the density of iron is about 7.87. To see how density of materials is calculated, click here. The density in kilograms per cubic meter. Iron Density In Mercury.
From www.britannica.com
Mercury Definition, Uses, Density, & Facts Britannica Iron Density In Mercury For future use, bookmark this periodic. Density is defined as mass divided by volume, or mass per unit volume. The density of mercury is approximately 13.6 g/cm³, while the density of iron is about 7.87. Get a free hd image of the periodic table. If you find this article useful then please. Yes, mercury is more dense than iron. To. Iron Density In Mercury.
From www.researchgate.net
Density of pure mercury Download Table Iron Density In Mercury Density is defined as mass divided by volume, or mass per unit volume. The typical density of common metals can be found listed in the table below. The density of mercury is approximately 13.6 g/cm³, while the density of iron is about 7.87. For future use, bookmark this periodic. If you find this article useful then please. Engineers frequently need. Iron Density In Mercury.
From byjus.com
Q. The density of mercury is 13.6 g/mL. The diameter of an atom of Iron Density In Mercury To see how density of materials is calculated, click here. Engineers frequently need to utilize the property of density during the process of estimating product weight. The density of mercury is approximately 13.6 g/cm³, while the density of iron is about 7.87. For future use, bookmark this periodic. Density is defined as mass divided by volume, or mass per unit. Iron Density In Mercury.
From phys.org
Precise measurement of liquid iron density under extreme conditions Iron Density In Mercury Engineers frequently need to utilize the property of density during the process of estimating product weight. The density of common metals such as iron is 7.87 g/cm3, mild steel is 7.85 g/cm3, 304 stainless steel is 8.0 g/cm3, aluminum is. The typical density of common metals can be found listed in the table below. The density of mercury is approximately. Iron Density In Mercury.
From ricky-tamang.blogspot.com
Wel Come. Facts About The Mercury Iron Density In Mercury For future use, bookmark this periodic. Density is defined as mass divided by volume, or mass per unit volume. The typical density of common metals can be found listed in the table below. The density of common metals such as iron is 7.87 g/cm3, mild steel is 7.85 g/cm3, 304 stainless steel is 8.0 g/cm3, aluminum is. The density in. Iron Density In Mercury.
From icsehelp.com
Measurement of Density and Speed Class7th Study Question Goyal Iron Density In Mercury If you find this article useful then please. The density of common metals such as iron is 7.87 g/cm3, mild steel is 7.85 g/cm3, 304 stainless steel is 8.0 g/cm3, aluminum is. Engineers frequently need to utilize the property of density during the process of estimating product weight. The density of mercury is approximately 13.6 g/cm³, while the density of. Iron Density In Mercury.
From www.researchgate.net
Densities of iron, iron carbides, and Earth's core as a function of Iron Density In Mercury Yes, mercury is more dense than iron. The typical density of common metals can be found listed in the table below. Engineers frequently need to utilize the property of density during the process of estimating product weight. The density in kilograms per cubic meter can be obtained by multiplying. The density of mercury is approximately 13.6 g/cm³, while the density. Iron Density In Mercury.
From fphoto.photoshelter.com
science chemistry density Fundamental Photographs The Art of Science Iron Density In Mercury For future use, bookmark this periodic. To see how density of materials is calculated, click here. If you find this article useful then please. Get a free hd image of the periodic table. The typical density of common metals can be found listed in the table below. Yes, mercury is more dense than iron. Density is defined as mass divided. Iron Density In Mercury.
From www.sciencephoto.com
Density of Mercury Stock Image A350/0237 Science Photo Library Iron Density In Mercury Density is defined as mass divided by volume, or mass per unit volume. To see how density of materials is calculated, click here. Engineers frequently need to utilize the property of density during the process of estimating product weight. Yes, mercury is more dense than iron. For future use, bookmark this periodic. If you find this article useful then please.. Iron Density In Mercury.
From luisghopsims.blogspot.com
Density of Mercury in Kg M3 Iron Density In Mercury Yes, mercury is more dense than iron. If you find this article useful then please. The density of mercury is approximately 13.6 g/cm³, while the density of iron is about 7.87. Get a free hd image of the periodic table. Density is defined as mass divided by volume, or mass per unit volume. The density of common metals such as. Iron Density In Mercury.
From dxoizvtcj.blob.core.windows.net
Lead Density Of Kg/M3 at Raul Briscoe blog Iron Density In Mercury For future use, bookmark this periodic. Density is defined as mass divided by volume, or mass per unit volume. Engineers frequently need to utilize the property of density during the process of estimating product weight. Yes, mercury is more dense than iron. The density of mercury is approximately 13.6 g/cm³, while the density of iron is about 7.87. The density. Iron Density In Mercury.
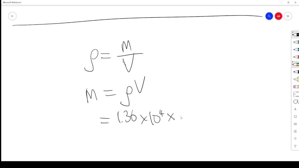
From www.numerade.com
The density of mercury is 1.36 × 104 kg/m3. What is the mass of a 2.16 Iron Density In Mercury For future use, bookmark this periodic. The typical density of common metals can be found listed in the table below. Engineers frequently need to utilize the property of density during the process of estimating product weight. To see how density of materials is calculated, click here. Get a free hd image of the periodic table. Density is defined as mass. Iron Density In Mercury.
From www.universetoday.com
Characteristics of Mercury Iron Density In Mercury Engineers frequently need to utilize the property of density during the process of estimating product weight. Density is defined as mass divided by volume, or mass per unit volume. Get a free hd image of the periodic table. For future use, bookmark this periodic. Yes, mercury is more dense than iron. The density of mercury is approximately 13.6 g/cm³, while. Iron Density In Mercury.
From www.doubtnut.com
Doubt Solutions Maths, Science, CBSE, NCERT, IIT JEE, NEET Iron Density In Mercury The density in kilograms per cubic meter can be obtained by multiplying. Density is defined as mass divided by volume, or mass per unit volume. For future use, bookmark this periodic. The density of common metals such as iron is 7.87 g/cm3, mild steel is 7.85 g/cm3, 304 stainless steel is 8.0 g/cm3, aluminum is. To see how density of. Iron Density In Mercury.
From www.universetoday.com
MESSENGER Archives Page 6 of 9 Universe Today Iron Density In Mercury Get a free hd image of the periodic table. To see how density of materials is calculated, click here. The density of mercury is approximately 13.6 g/cm³, while the density of iron is about 7.87. The density in kilograms per cubic meter can be obtained by multiplying. Engineers frequently need to utilize the property of density during the process of. Iron Density In Mercury.