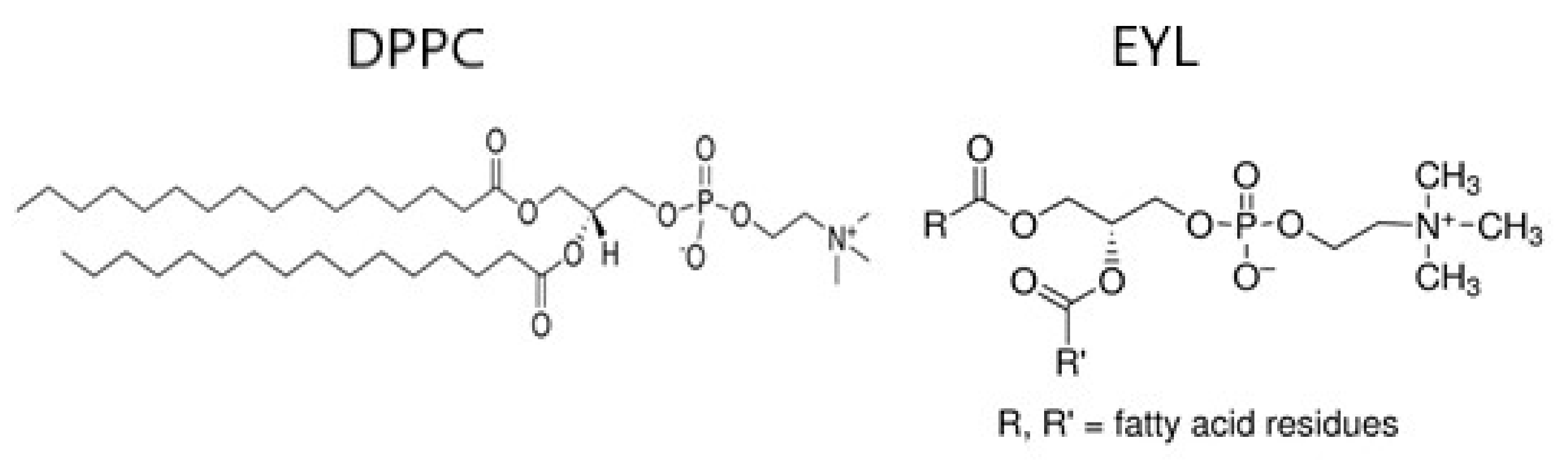
Lecithin Structure Definition . Lecithin phospholipids are commonly used as emulsifier agents in the food and pharmaceutical industries because of their particular properties. Lecithin is a mixture of phospholipids extracted from plant or animal sources with various applications in food, pharmaceutical, and. It is composed of phosphoric acid, choline, glycerol, and two fatty acids,. Lecithin is a type of phospholipid that is essential for cell structure and metabolism. Learn about its structure, properties, and. Lecithin is a phospholipid compound used in various food and pharmaceutical applications. Learn about the structure and function of lipids, including fatty acids, glycerophospholipids, and cardiolipins. Lecithin is a natural emulsifier derived from plants and animals that helps to stabilize mixtures of substances.
from www.mdpi.com
Lecithin is a natural emulsifier derived from plants and animals that helps to stabilize mixtures of substances. Lecithin is a phospholipid compound used in various food and pharmaceutical applications. Lecithin phospholipids are commonly used as emulsifier agents in the food and pharmaceutical industries because of their particular properties. It is composed of phosphoric acid, choline, glycerol, and two fatty acids,. Lecithin is a type of phospholipid that is essential for cell structure and metabolism. Learn about its structure, properties, and. Lecithin is a mixture of phospholipids extracted from plant or animal sources with various applications in food, pharmaceutical, and. Learn about the structure and function of lipids, including fatty acids, glycerophospholipids, and cardiolipins.
Applied Sciences Free FullText Impact of Vanadium Complexes with
Lecithin Structure Definition It is composed of phosphoric acid, choline, glycerol, and two fatty acids,. It is composed of phosphoric acid, choline, glycerol, and two fatty acids,. Lecithin is a phospholipid compound used in various food and pharmaceutical applications. Lecithin phospholipids are commonly used as emulsifier agents in the food and pharmaceutical industries because of their particular properties. Lecithin is a natural emulsifier derived from plants and animals that helps to stabilize mixtures of substances. Learn about its structure, properties, and. Learn about the structure and function of lipids, including fatty acids, glycerophospholipids, and cardiolipins. Lecithin is a mixture of phospholipids extracted from plant or animal sources with various applications in food, pharmaceutical, and. Lecithin is a type of phospholipid that is essential for cell structure and metabolism.
From www.lecilite.com
Lecithin Origins World of Lecithin Phosphatidylcholine (PC) Lecilite Lecithin Structure Definition Lecithin is a natural emulsifier derived from plants and animals that helps to stabilize mixtures of substances. Lecithin is a mixture of phospholipids extracted from plant or animal sources with various applications in food, pharmaceutical, and. Learn about its structure, properties, and. It is composed of phosphoric acid, choline, glycerol, and two fatty acids,. Learn about the structure and function. Lecithin Structure Definition.
From dxosigkyw.blob.core.windows.net
Chemical Formula For Lecithin at Joshua Simpson blog Lecithin Structure Definition Lecithin is a phospholipid compound used in various food and pharmaceutical applications. Lecithin is a mixture of phospholipids extracted from plant or animal sources with various applications in food, pharmaceutical, and. Lecithin is a type of phospholipid that is essential for cell structure and metabolism. Lecithin is a natural emulsifier derived from plants and animals that helps to stabilize mixtures. Lecithin Structure Definition.
From avopix.com
The structure of lecithin and the formation of Royalty Free Stock Lecithin Structure Definition Lecithin is a mixture of phospholipids extracted from plant or animal sources with various applications in food, pharmaceutical, and. Lecithin is a type of phospholipid that is essential for cell structure and metabolism. Learn about the structure and function of lipids, including fatty acids, glycerophospholipids, and cardiolipins. Lecithin phospholipids are commonly used as emulsifier agents in the food and pharmaceutical. Lecithin Structure Definition.
From www.researchgate.net
Emulsifier Soya lecithin (A); Tween 20 (B); Mechanism of oilwater Lecithin Structure Definition Lecithin phospholipids are commonly used as emulsifier agents in the food and pharmaceutical industries because of their particular properties. Lecithin is a natural emulsifier derived from plants and animals that helps to stabilize mixtures of substances. Lecithin is a type of phospholipid that is essential for cell structure and metabolism. It is composed of phosphoric acid, choline, glycerol, and two. Lecithin Structure Definition.
From www.turbosquid.com
3D lecithin structural model TurboSquid 1238357 Lecithin Structure Definition It is composed of phosphoric acid, choline, glycerol, and two fatty acids,. Learn about the structure and function of lipids, including fatty acids, glycerophospholipids, and cardiolipins. Learn about its structure, properties, and. Lecithin is a type of phospholipid that is essential for cell structure and metabolism. Lecithin is a phospholipid compound used in various food and pharmaceutical applications. Lecithin phospholipids. Lecithin Structure Definition.
From slideplayer.com
Chapter 2 Chemical Composition of the Body (Review). ppt download Lecithin Structure Definition Lecithin phospholipids are commonly used as emulsifier agents in the food and pharmaceutical industries because of their particular properties. Learn about the structure and function of lipids, including fatty acids, glycerophospholipids, and cardiolipins. It is composed of phosphoric acid, choline, glycerol, and two fatty acids,. Lecithin is a type of phospholipid that is essential for cell structure and metabolism. Learn. Lecithin Structure Definition.
From ar.inspiredpencil.com
Lecithin Structure Lecithin Structure Definition Learn about the structure and function of lipids, including fatty acids, glycerophospholipids, and cardiolipins. Lecithin is a mixture of phospholipids extracted from plant or animal sources with various applications in food, pharmaceutical, and. Lecithin is a type of phospholipid that is essential for cell structure and metabolism. Lecithin is a natural emulsifier derived from plants and animals that helps to. Lecithin Structure Definition.
From mavink.com
Soy Lecithin Chemical Structure Lecithin Structure Definition Lecithin phospholipids are commonly used as emulsifier agents in the food and pharmaceutical industries because of their particular properties. Learn about the structure and function of lipids, including fatty acids, glycerophospholipids, and cardiolipins. Learn about its structure, properties, and. Lecithin is a mixture of phospholipids extracted from plant or animal sources with various applications in food, pharmaceutical, and. Lecithin is. Lecithin Structure Definition.
From www.researchgate.net
Chemical structure of lecithin. Download Scientific Diagram Lecithin Structure Definition It is composed of phosphoric acid, choline, glycerol, and two fatty acids,. Lecithin is a phospholipid compound used in various food and pharmaceutical applications. Learn about the structure and function of lipids, including fatty acids, glycerophospholipids, and cardiolipins. Lecithin is a type of phospholipid that is essential for cell structure and metabolism. Lecithin phospholipids are commonly used as emulsifier agents. Lecithin Structure Definition.
From www.slideshare.net
Lecithin Lecithin Structure Definition Lecithin is a type of phospholipid that is essential for cell structure and metabolism. Lecithin phospholipids are commonly used as emulsifier agents in the food and pharmaceutical industries because of their particular properties. Lecithin is a phospholipid compound used in various food and pharmaceutical applications. Learn about its structure, properties, and. It is composed of phosphoric acid, choline, glycerol, and. Lecithin Structure Definition.
From ar.inspiredpencil.com
Lecithin Structure Lecithin Structure Definition Learn about its structure, properties, and. It is composed of phosphoric acid, choline, glycerol, and two fatty acids,. Lecithin is a type of phospholipid that is essential for cell structure and metabolism. Lecithin phospholipids are commonly used as emulsifier agents in the food and pharmaceutical industries because of their particular properties. Lecithin is a natural emulsifier derived from plants and. Lecithin Structure Definition.
From www.medchemexpress.com
Lecithin (Polyene phosphatidylcholine) Endogenous Metabolite Lecithin Structure Definition Lecithin is a natural emulsifier derived from plants and animals that helps to stabilize mixtures of substances. Lecithin is a type of phospholipid that is essential for cell structure and metabolism. Learn about the structure and function of lipids, including fatty acids, glycerophospholipids, and cardiolipins. Learn about its structure, properties, and. Lecithin is a mixture of phospholipids extracted from plant. Lecithin Structure Definition.
From www.guidechem.com
LECITHIN 55128591 wiki Lecithin Structure Definition Lecithin phospholipids are commonly used as emulsifier agents in the food and pharmaceutical industries because of their particular properties. Lecithin is a natural emulsifier derived from plants and animals that helps to stabilize mixtures of substances. Learn about the structure and function of lipids, including fatty acids, glycerophospholipids, and cardiolipins. Lecithin is a mixture of phospholipids extracted from plant or. Lecithin Structure Definition.
From www.chegg.com
Solved Lecithin (phosphatidylcholine) a phospholipid Lecithin Structure Definition Learn about its structure, properties, and. Lecithin phospholipids are commonly used as emulsifier agents in the food and pharmaceutical industries because of their particular properties. Lecithin is a mixture of phospholipids extracted from plant or animal sources with various applications in food, pharmaceutical, and. Lecithin is a phospholipid compound used in various food and pharmaceutical applications. Learn about the structure. Lecithin Structure Definition.
From ar.inspiredpencil.com
Lecithin Structure Lecithin Structure Definition Lecithin is a mixture of phospholipids extracted from plant or animal sources with various applications in food, pharmaceutical, and. Lecithin is a natural emulsifier derived from plants and animals that helps to stabilize mixtures of substances. Lecithin is a phospholipid compound used in various food and pharmaceutical applications. Lecithin is a type of phospholipid that is essential for cell structure. Lecithin Structure Definition.
From pubs.rsc.org
The development of phytosterollecithin mixed micelles and organogels Lecithin Structure Definition Lecithin is a mixture of phospholipids extracted from plant or animal sources with various applications in food, pharmaceutical, and. Lecithin is a natural emulsifier derived from plants and animals that helps to stabilize mixtures of substances. Lecithin is a phospholipid compound used in various food and pharmaceutical applications. Learn about its structure, properties, and. Lecithin is a type of phospholipid. Lecithin Structure Definition.
From klafilkvy.blob.core.windows.net
Substitute For Soy Lecithin In Gummies at Belinda Mattos blog Lecithin Structure Definition It is composed of phosphoric acid, choline, glycerol, and two fatty acids,. Lecithin phospholipids are commonly used as emulsifier agents in the food and pharmaceutical industries because of their particular properties. Lecithin is a type of phospholipid that is essential for cell structure and metabolism. Lecithin is a natural emulsifier derived from plants and animals that helps to stabilize mixtures. Lecithin Structure Definition.
From www.mdpi.com
Applied Sciences Free FullText Impact of Vanadium Complexes with Lecithin Structure Definition Lecithin is a natural emulsifier derived from plants and animals that helps to stabilize mixtures of substances. It is composed of phosphoric acid, choline, glycerol, and two fatty acids,. Lecithin is a type of phospholipid that is essential for cell structure and metabolism. Learn about the structure and function of lipids, including fatty acids, glycerophospholipids, and cardiolipins. Lecithin is a. Lecithin Structure Definition.
From dxosigkyw.blob.core.windows.net
Chemical Formula For Lecithin at Joshua Simpson blog Lecithin Structure Definition Lecithin phospholipids are commonly used as emulsifier agents in the food and pharmaceutical industries because of their particular properties. Learn about its structure, properties, and. Lecithin is a natural emulsifier derived from plants and animals that helps to stabilize mixtures of substances. Lecithin is a type of phospholipid that is essential for cell structure and metabolism. Lecithin is a phospholipid. Lecithin Structure Definition.
From www.dreamstime.com
Modified Lecithin Stock Illustrations 1 Modified Lecithin Stock Lecithin Structure Definition Lecithin is a phospholipid compound used in various food and pharmaceutical applications. Lecithin is a type of phospholipid that is essential for cell structure and metabolism. It is composed of phosphoric acid, choline, glycerol, and two fatty acids,. Learn about its structure, properties, and. Lecithin is a natural emulsifier derived from plants and animals that helps to stabilize mixtures of. Lecithin Structure Definition.
From www.youtube.com
Lecithin structure/Super Easy Trick in 2 minutesdraw detailed Lecithin Structure Definition Lecithin is a type of phospholipid that is essential for cell structure and metabolism. Learn about the structure and function of lipids, including fatty acids, glycerophospholipids, and cardiolipins. Lecithin is a mixture of phospholipids extracted from plant or animal sources with various applications in food, pharmaceutical, and. Lecithin is a natural emulsifier derived from plants and animals that helps to. Lecithin Structure Definition.
From cektzqdq.blob.core.windows.net
Lecithin Of Composition at Martha Murray blog Lecithin Structure Definition Lecithin is a natural emulsifier derived from plants and animals that helps to stabilize mixtures of substances. Lecithin is a phospholipid compound used in various food and pharmaceutical applications. Lecithin phospholipids are commonly used as emulsifier agents in the food and pharmaceutical industries because of their particular properties. Learn about its structure, properties, and. Learn about the structure and function. Lecithin Structure Definition.
From dxosigkyw.blob.core.windows.net
Chemical Formula For Lecithin at Joshua Simpson blog Lecithin Structure Definition Lecithin is a phospholipid compound used in various food and pharmaceutical applications. It is composed of phosphoric acid, choline, glycerol, and two fatty acids,. Lecithin phospholipids are commonly used as emulsifier agents in the food and pharmaceutical industries because of their particular properties. Lecithin is a type of phospholipid that is essential for cell structure and metabolism. Learn about its. Lecithin Structure Definition.
From www.myxxgirl.com
Cholesterol Structure And Function My XXX Hot Girl Lecithin Structure Definition It is composed of phosphoric acid, choline, glycerol, and two fatty acids,. Lecithin phospholipids are commonly used as emulsifier agents in the food and pharmaceutical industries because of their particular properties. Lecithin is a type of phospholipid that is essential for cell structure and metabolism. Learn about the structure and function of lipids, including fatty acids, glycerophospholipids, and cardiolipins. Lecithin. Lecithin Structure Definition.
From www.slideserve.com
PPT Lecithin’s Role in Reducing Cholesterol PowerPoint Presentation Lecithin Structure Definition Learn about its structure, properties, and. Lecithin is a mixture of phospholipids extracted from plant or animal sources with various applications in food, pharmaceutical, and. Lecithin phospholipids are commonly used as emulsifier agents in the food and pharmaceutical industries because of their particular properties. Lecithin is a phospholipid compound used in various food and pharmaceutical applications. Lecithin is a natural. Lecithin Structure Definition.
From ar.inspiredpencil.com
Lecithin Structure Lecithin Structure Definition Learn about the structure and function of lipids, including fatty acids, glycerophospholipids, and cardiolipins. Lecithin is a phospholipid compound used in various food and pharmaceutical applications. Lecithin is a natural emulsifier derived from plants and animals that helps to stabilize mixtures of substances. Lecithin phospholipids are commonly used as emulsifier agents in the food and pharmaceutical industries because of their. Lecithin Structure Definition.
From www.slideserve.com
PPT Lecithin’s Role in Reducing Cholesterol PowerPoint Presentation Lecithin Structure Definition Lecithin is a phospholipid compound used in various food and pharmaceutical applications. Lecithin phospholipids are commonly used as emulsifier agents in the food and pharmaceutical industries because of their particular properties. It is composed of phosphoric acid, choline, glycerol, and two fatty acids,. Lecithin is a mixture of phospholipids extracted from plant or animal sources with various applications in food,. Lecithin Structure Definition.
From www.aquaportail.com
Lécithine définition et explications Lecithin Structure Definition Learn about the structure and function of lipids, including fatty acids, glycerophospholipids, and cardiolipins. Lecithin is a type of phospholipid that is essential for cell structure and metabolism. It is composed of phosphoric acid, choline, glycerol, and two fatty acids,. Lecithin is a natural emulsifier derived from plants and animals that helps to stabilize mixtures of substances. Lecithin is a. Lecithin Structure Definition.
From ar.inspiredpencil.com
Lecithin Structure Lecithin Structure Definition Lecithin is a natural emulsifier derived from plants and animals that helps to stabilize mixtures of substances. Learn about the structure and function of lipids, including fatty acids, glycerophospholipids, and cardiolipins. Lecithin is a mixture of phospholipids extracted from plant or animal sources with various applications in food, pharmaceutical, and. It is composed of phosphoric acid, choline, glycerol, and two. Lecithin Structure Definition.
From god.ofl.kr
Suga, I'm lecithin, Andrey 플로라 Lecithin Structure Definition It is composed of phosphoric acid, choline, glycerol, and two fatty acids,. Lecithin is a mixture of phospholipids extracted from plant or animal sources with various applications in food, pharmaceutical, and. Learn about its structure, properties, and. Lecithin is a type of phospholipid that is essential for cell structure and metabolism. Lecithin is a phospholipid compound used in various food. Lecithin Structure Definition.
From www.thermofisher.in
Lecithin, 90, soybean, Thermo Scientific Chemicals Lecithin Structure Definition Lecithin is a natural emulsifier derived from plants and animals that helps to stabilize mixtures of substances. Learn about the structure and function of lipids, including fatty acids, glycerophospholipids, and cardiolipins. Lecithin is a mixture of phospholipids extracted from plant or animal sources with various applications in food, pharmaceutical, and. Lecithin is a type of phospholipid that is essential for. Lecithin Structure Definition.
From www.saipol.com
Saipol Lécithines Lecithin Structure Definition Lecithin is a phospholipid compound used in various food and pharmaceutical applications. Lecithin is a type of phospholipid that is essential for cell structure and metabolism. Learn about the structure and function of lipids, including fatty acids, glycerophospholipids, and cardiolipins. Learn about its structure, properties, and. Lecithin phospholipids are commonly used as emulsifier agents in the food and pharmaceutical industries. Lecithin Structure Definition.
From cezxqhvn.blob.core.windows.net
Lecithin Molecular Structure at Terry Pearson blog Lecithin Structure Definition Lecithin is a mixture of phospholipids extracted from plant or animal sources with various applications in food, pharmaceutical, and. It is composed of phosphoric acid, choline, glycerol, and two fatty acids,. Lecithin is a type of phospholipid that is essential for cell structure and metabolism. Lecithin phospholipids are commonly used as emulsifier agents in the food and pharmaceutical industries because. Lecithin Structure Definition.
From www.researchgate.net
Chemical structure of lecithin. Download Scientific Diagram Lecithin Structure Definition Learn about its structure, properties, and. Lecithin is a natural emulsifier derived from plants and animals that helps to stabilize mixtures of substances. It is composed of phosphoric acid, choline, glycerol, and two fatty acids,. Learn about the structure and function of lipids, including fatty acids, glycerophospholipids, and cardiolipins. Lecithin phospholipids are commonly used as emulsifier agents in the food. Lecithin Structure Definition.
From mavink.com
Soy Lecithin Chemical Structure Lecithin Structure Definition Lecithin is a type of phospholipid that is essential for cell structure and metabolism. Lecithin phospholipids are commonly used as emulsifier agents in the food and pharmaceutical industries because of their particular properties. Learn about its structure, properties, and. Learn about the structure and function of lipids, including fatty acids, glycerophospholipids, and cardiolipins. It is composed of phosphoric acid, choline,. Lecithin Structure Definition.