Linear Function Whose Graph Passes Through The Origin . the set of all quadratic functions whose graphs pass through the origin with the standard operations. a linear function is a function whose graph is a line. Introduce linear functions in algebraic, graphical, and verbal (applied) form. The first is by plotting points and then drawing a line through the. given the equation of a function and a point through which its graph passes, write the equation of a line. Where bb is the initial or starting value of the function (when input, x=0x=0 ), and mm is the constant rate of change, or slope of the function. A linear function is a function whose graph is a line. there are three basic methods of graphing linear functions.
from saylordotorg.github.io
Where bb is the initial or starting value of the function (when input, x=0x=0 ), and mm is the constant rate of change, or slope of the function. A linear function is a function whose graph is a line. Introduce linear functions in algebraic, graphical, and verbal (applied) form. the set of all quadratic functions whose graphs pass through the origin with the standard operations. given the equation of a function and a point through which its graph passes, write the equation of a line. there are three basic methods of graphing linear functions. a linear function is a function whose graph is a line. The first is by plotting points and then drawing a line through the.
Linear Functions and Their Graphs
Linear Function Whose Graph Passes Through The Origin The first is by plotting points and then drawing a line through the. A linear function is a function whose graph is a line. a linear function is a function whose graph is a line. the set of all quadratic functions whose graphs pass through the origin with the standard operations. Introduce linear functions in algebraic, graphical, and verbal (applied) form. Where bb is the initial or starting value of the function (when input, x=0x=0 ), and mm is the constant rate of change, or slope of the function. The first is by plotting points and then drawing a line through the. there are three basic methods of graphing linear functions. given the equation of a function and a point through which its graph passes, write the equation of a line.
From saylordotorg.github.io
Linear Functions and Their Graphs Linear Function Whose Graph Passes Through The Origin The first is by plotting points and then drawing a line through the. Where bb is the initial or starting value of the function (when input, x=0x=0 ), and mm is the constant rate of change, or slope of the function. A linear function is a function whose graph is a line. given the equation of a function and. Linear Function Whose Graph Passes Through The Origin.
From ahrenholzsarasays.blogspot.com
a linear function whose graph passes through the origin Sara Ahrenholz Linear Function Whose Graph Passes Through The Origin A linear function is a function whose graph is a line. Where bb is the initial or starting value of the function (when input, x=0x=0 ), and mm is the constant rate of change, or slope of the function. there are three basic methods of graphing linear functions. The first is by plotting points and then drawing a line. Linear Function Whose Graph Passes Through The Origin.
From brainly.in
Will the polynomial be zero if it passes through the origin Brainly.in Linear Function Whose Graph Passes Through The Origin given the equation of a function and a point through which its graph passes, write the equation of a line. A linear function is a function whose graph is a line. The first is by plotting points and then drawing a line through the. Where bb is the initial or starting value of the function (when input, x=0x=0 ),. Linear Function Whose Graph Passes Through The Origin.
From www.expii.com
Graphing Linear Functions Examples & Practice Expii Linear Function Whose Graph Passes Through The Origin given the equation of a function and a point through which its graph passes, write the equation of a line. the set of all quadratic functions whose graphs pass through the origin with the standard operations. a linear function is a function whose graph is a line. there are three basic methods of graphing linear functions.. Linear Function Whose Graph Passes Through The Origin.
From www.numerade.com
SOLVED1. Determine the polynomial function whose graph passes through Linear Function Whose Graph Passes Through The Origin given the equation of a function and a point through which its graph passes, write the equation of a line. Where bb is the initial or starting value of the function (when input, x=0x=0 ), and mm is the constant rate of change, or slope of the function. Introduce linear functions in algebraic, graphical, and verbal (applied) form. . Linear Function Whose Graph Passes Through The Origin.
From www.youtube.com
Graphing a Line that Passes through the Origin YouTube Linear Function Whose Graph Passes Through The Origin The first is by plotting points and then drawing a line through the. the set of all quadratic functions whose graphs pass through the origin with the standard operations. given the equation of a function and a point through which its graph passes, write the equation of a line. Introduce linear functions in algebraic, graphical, and verbal (applied). Linear Function Whose Graph Passes Through The Origin.
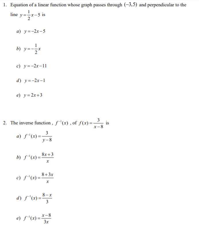
From www.chegg.com
Solved 1. Equation of a linear function whose graph passes Linear Function Whose Graph Passes Through The Origin The first is by plotting points and then drawing a line through the. A linear function is a function whose graph is a line. Introduce linear functions in algebraic, graphical, and verbal (applied) form. given the equation of a function and a point through which its graph passes, write the equation of a line. there are three basic. Linear Function Whose Graph Passes Through The Origin.
From www.numerade.com
SOLVED a linear function whose graph passes through the origin Linear Function Whose Graph Passes Through The Origin there are three basic methods of graphing linear functions. A linear function is a function whose graph is a line. the set of all quadratic functions whose graphs pass through the origin with the standard operations. Where bb is the initial or starting value of the function (when input, x=0x=0 ), and mm is the constant rate of. Linear Function Whose Graph Passes Through The Origin.
From www.numerade.com
SOLVEDFind a linear function whose graph has the given characteristics Linear Function Whose Graph Passes Through The Origin the set of all quadratic functions whose graphs pass through the origin with the standard operations. The first is by plotting points and then drawing a line through the. a linear function is a function whose graph is a line. given the equation of a function and a point through which its graph passes, write the equation. Linear Function Whose Graph Passes Through The Origin.
From ahrenholzsarasays.blogspot.com
a linear function whose graph passes through the origin Sara Ahrenholz Linear Function Whose Graph Passes Through The Origin the set of all quadratic functions whose graphs pass through the origin with the standard operations. given the equation of a function and a point through which its graph passes, write the equation of a line. a linear function is a function whose graph is a line. Where bb is the initial or starting value of the. Linear Function Whose Graph Passes Through The Origin.
From www.teachoo.com
What is the equation of lines passing through origin? Lines parallel Linear Function Whose Graph Passes Through The Origin given the equation of a function and a point through which its graph passes, write the equation of a line. Where bb is the initial or starting value of the function (when input, x=0x=0 ), and mm is the constant rate of change, or slope of the function. there are three basic methods of graphing linear functions. . Linear Function Whose Graph Passes Through The Origin.
From www.chegg.com
Solved What is the equation of the linear function whose Linear Function Whose Graph Passes Through The Origin given the equation of a function and a point through which its graph passes, write the equation of a line. Introduce linear functions in algebraic, graphical, and verbal (applied) form. there are three basic methods of graphing linear functions. the set of all quadratic functions whose graphs pass through the origin with the standard operations. Where bb. Linear Function Whose Graph Passes Through The Origin.
From sciencing.com
How to Write the equation of a Linear Function whose Graph has a Line Linear Function Whose Graph Passes Through The Origin The first is by plotting points and then drawing a line through the. given the equation of a function and a point through which its graph passes, write the equation of a line. the set of all quadratic functions whose graphs pass through the origin with the standard operations. there are three basic methods of graphing linear. Linear Function Whose Graph Passes Through The Origin.
From www.cuemath.com
What is Linear Function? Equation, Graph, Definition Linear Function Whose Graph Passes Through The Origin A linear function is a function whose graph is a line. Introduce linear functions in algebraic, graphical, and verbal (applied) form. The first is by plotting points and then drawing a line through the. a linear function is a function whose graph is a line. given the equation of a function and a point through which its graph. Linear Function Whose Graph Passes Through The Origin.
From byjus.com
74. Draw the graph of linear equation x=4 and y=5.Find the area formed Linear Function Whose Graph Passes Through The Origin the set of all quadratic functions whose graphs pass through the origin with the standard operations. A linear function is a function whose graph is a line. there are three basic methods of graphing linear functions. Introduce linear functions in algebraic, graphical, and verbal (applied) form. given the equation of a function and a point through which. Linear Function Whose Graph Passes Through The Origin.
From courses.lumenlearning.com
Graphing and Writing Equations of Linear Functions College Algebra Linear Function Whose Graph Passes Through The Origin a linear function is a function whose graph is a line. A linear function is a function whose graph is a line. there are three basic methods of graphing linear functions. Introduce linear functions in algebraic, graphical, and verbal (applied) form. The first is by plotting points and then drawing a line through the. Where bb is the. Linear Function Whose Graph Passes Through The Origin.
From ahrenholzsarasays.blogspot.com
a linear function whose graph passes through the origin Sara Ahrenholz Linear Function Whose Graph Passes Through The Origin the set of all quadratic functions whose graphs pass through the origin with the standard operations. Introduce linear functions in algebraic, graphical, and verbal (applied) form. Where bb is the initial or starting value of the function (when input, x=0x=0 ), and mm is the constant rate of change, or slope of the function. a linear function is. Linear Function Whose Graph Passes Through The Origin.
From philschatz.com
Linear Functions · Algebra and Trigonometry Linear Function Whose Graph Passes Through The Origin there are three basic methods of graphing linear functions. Where bb is the initial or starting value of the function (when input, x=0x=0 ), and mm is the constant rate of change, or slope of the function. Introduce linear functions in algebraic, graphical, and verbal (applied) form. given the equation of a function and a point through which. Linear Function Whose Graph Passes Through The Origin.
From ahrenholzsarasays.blogspot.com
a linear function whose graph passes through the origin Sara Ahrenholz Linear Function Whose Graph Passes Through The Origin Where bb is the initial or starting value of the function (when input, x=0x=0 ), and mm is the constant rate of change, or slope of the function. the set of all quadratic functions whose graphs pass through the origin with the standard operations. there are three basic methods of graphing linear functions. given the equation of. Linear Function Whose Graph Passes Through The Origin.
From www.splashlearn.com
What Is Origin in Math? Definition, Examples, Facts Linear Function Whose Graph Passes Through The Origin the set of all quadratic functions whose graphs pass through the origin with the standard operations. given the equation of a function and a point through which its graph passes, write the equation of a line. The first is by plotting points and then drawing a line through the. A linear function is a function whose graph is. Linear Function Whose Graph Passes Through The Origin.
From courses.lumenlearning.com
Graph Linear Equations Intermediate Algebra Linear Function Whose Graph Passes Through The Origin Where bb is the initial or starting value of the function (when input, x=0x=0 ), and mm is the constant rate of change, or slope of the function. given the equation of a function and a point through which its graph passes, write the equation of a line. The first is by plotting points and then drawing a line. Linear Function Whose Graph Passes Through The Origin.
From www.math-only-math.com
Graph of Linear Equation Properties for Graphing Linear Equation Linear Function Whose Graph Passes Through The Origin The first is by plotting points and then drawing a line through the. the set of all quadratic functions whose graphs pass through the origin with the standard operations. A linear function is a function whose graph is a line. Where bb is the initial or starting value of the function (when input, x=0x=0 ), and mm is the. Linear Function Whose Graph Passes Through The Origin.
From www.youtube.com
Graphing Linear Functions using Tables YouTube Linear Function Whose Graph Passes Through The Origin given the equation of a function and a point through which its graph passes, write the equation of a line. a linear function is a function whose graph is a line. Introduce linear functions in algebraic, graphical, and verbal (applied) form. the set of all quadratic functions whose graphs pass through the origin with the standard operations.. Linear Function Whose Graph Passes Through The Origin.
From www.chegg.com
Solved Consider the following points (a) Determine the Linear Function Whose Graph Passes Through The Origin given the equation of a function and a point through which its graph passes, write the equation of a line. there are three basic methods of graphing linear functions. the set of all quadratic functions whose graphs pass through the origin with the standard operations. a linear function is a function whose graph is a line.. Linear Function Whose Graph Passes Through The Origin.
From saylordotorg.github.io
Linear Functions and Their Graphs Linear Function Whose Graph Passes Through The Origin the set of all quadratic functions whose graphs pass through the origin with the standard operations. Where bb is the initial or starting value of the function (when input, x=0x=0 ), and mm is the constant rate of change, or slope of the function. there are three basic methods of graphing linear functions. The first is by plotting. Linear Function Whose Graph Passes Through The Origin.
From www.numerade.com
SOLVED a linear function whose graph passes through the origin Linear Function Whose Graph Passes Through The Origin given the equation of a function and a point through which its graph passes, write the equation of a line. A linear function is a function whose graph is a line. the set of all quadratic functions whose graphs pass through the origin with the standard operations. there are three basic methods of graphing linear functions. . Linear Function Whose Graph Passes Through The Origin.
From www.wikihow.com
How to Graph Linear Equations Using the Intercepts Method 7 Steps Linear Function Whose Graph Passes Through The Origin a linear function is a function whose graph is a line. The first is by plotting points and then drawing a line through the. given the equation of a function and a point through which its graph passes, write the equation of a line. the set of all quadratic functions whose graphs pass through the origin with. Linear Function Whose Graph Passes Through The Origin.
From philschatz.com
Graphs of Linear Functions · Precalculus Linear Function Whose Graph Passes Through The Origin Where bb is the initial or starting value of the function (when input, x=0x=0 ), and mm is the constant rate of change, or slope of the function. a linear function is a function whose graph is a line. Introduce linear functions in algebraic, graphical, and verbal (applied) form. the set of all quadratic functions whose graphs pass. Linear Function Whose Graph Passes Through The Origin.
From courses.lumenlearning.com
Applications of Linear Functions Boundless Algebra Linear Function Whose Graph Passes Through The Origin a linear function is a function whose graph is a line. A linear function is a function whose graph is a line. given the equation of a function and a point through which its graph passes, write the equation of a line. Where bb is the initial or starting value of the function (when input, x=0x=0 ), and. Linear Function Whose Graph Passes Through The Origin.
From www.cuemath.com
Linear Graph Cuemath Linear Function Whose Graph Passes Through The Origin A linear function is a function whose graph is a line. a linear function is a function whose graph is a line. The first is by plotting points and then drawing a line through the. Introduce linear functions in algebraic, graphical, and verbal (applied) form. given the equation of a function and a point through which its graph. Linear Function Whose Graph Passes Through The Origin.
From sciencing.com
How to Write the equation of a Linear Function whose Graph has a Line Linear Function Whose Graph Passes Through The Origin there are three basic methods of graphing linear functions. given the equation of a function and a point through which its graph passes, write the equation of a line. Where bb is the initial or starting value of the function (when input, x=0x=0 ), and mm is the constant rate of change, or slope of the function. . Linear Function Whose Graph Passes Through The Origin.
From www.slideshare.net
Graphs linear equations and functions Linear Function Whose Graph Passes Through The Origin The first is by plotting points and then drawing a line through the. Where bb is the initial or starting value of the function (when input, x=0x=0 ), and mm is the constant rate of change, or slope of the function. the set of all quadratic functions whose graphs pass through the origin with the standard operations. there. Linear Function Whose Graph Passes Through The Origin.
From www.youtube.com
Lines passing through the origin YouTube Linear Function Whose Graph Passes Through The Origin a linear function is a function whose graph is a line. A linear function is a function whose graph is a line. the set of all quadratic functions whose graphs pass through the origin with the standard operations. given the equation of a function and a point through which its graph passes, write the equation of a. Linear Function Whose Graph Passes Through The Origin.
From saylordotorg.github.io
Linear Functions and Their Graphs Linear Function Whose Graph Passes Through The Origin The first is by plotting points and then drawing a line through the. Where bb is the initial or starting value of the function (when input, x=0x=0 ), and mm is the constant rate of change, or slope of the function. the set of all quadratic functions whose graphs pass through the origin with the standard operations. given. Linear Function Whose Graph Passes Through The Origin.
From www.mashupmath.com
Which Graph Represents a Function? 5 Examples — Mashup Math Linear Function Whose Graph Passes Through The Origin A linear function is a function whose graph is a line. Where bb is the initial or starting value of the function (when input, x=0x=0 ), and mm is the constant rate of change, or slope of the function. a linear function is a function whose graph is a line. the set of all quadratic functions whose graphs. Linear Function Whose Graph Passes Through The Origin.