Approved Real Estate Schools In Arizona . Highly rated online real estate license courses from the top arizona real estate school in phoenix. Our flexible course options are. Learn from arizona’s leading real estate school. I’ve spent over 155 hours evaluating the 12 most popular courses approved by the. Need to get your real estate license in arizona? Launch your career with arizona’s top real estate school. You can access a list of accredited real estate schools on our website or by clicking here. 55 years of service to aspiring arizona real estate agents. Accredited, convenient, ‘get to the point,’ learning. Enroll and complete 90 hours of education.
from www.realestateschoolofaz.com
Need to get your real estate license in arizona? You can access a list of accredited real estate schools on our website or by clicking here. Our flexible course options are. I’ve spent over 155 hours evaluating the 12 most popular courses approved by the. Enroll and complete 90 hours of education. Accredited, convenient, ‘get to the point,’ learning. Learn from arizona’s leading real estate school. Launch your career with arizona’s top real estate school. Highly rated online real estate license courses from the top arizona real estate school in phoenix. 55 years of service to aspiring arizona real estate agents.
The Real Estate School of Arizona Real Estate School
Approved Real Estate Schools In Arizona Highly rated online real estate license courses from the top arizona real estate school in phoenix. Learn from arizona’s leading real estate school. Our flexible course options are. Accredited, convenient, ‘get to the point,’ learning. I’ve spent over 155 hours evaluating the 12 most popular courses approved by the. Launch your career with arizona’s top real estate school. 55 years of service to aspiring arizona real estate agents. You can access a list of accredited real estate schools on our website or by clicking here. Highly rated online real estate license courses from the top arizona real estate school in phoenix. Enroll and complete 90 hours of education. Need to get your real estate license in arizona?
From www.realestatelicensetraining.com
Best Real Estate Schools in Scottsdale, AZ Approved Real Estate Schools In Arizona Our flexible course options are. You can access a list of accredited real estate schools on our website or by clicking here. Enroll and complete 90 hours of education. Learn from arizona’s leading real estate school. 55 years of service to aspiring arizona real estate agents. Highly rated online real estate license courses from the top arizona real estate school. Approved Real Estate Schools In Arizona.
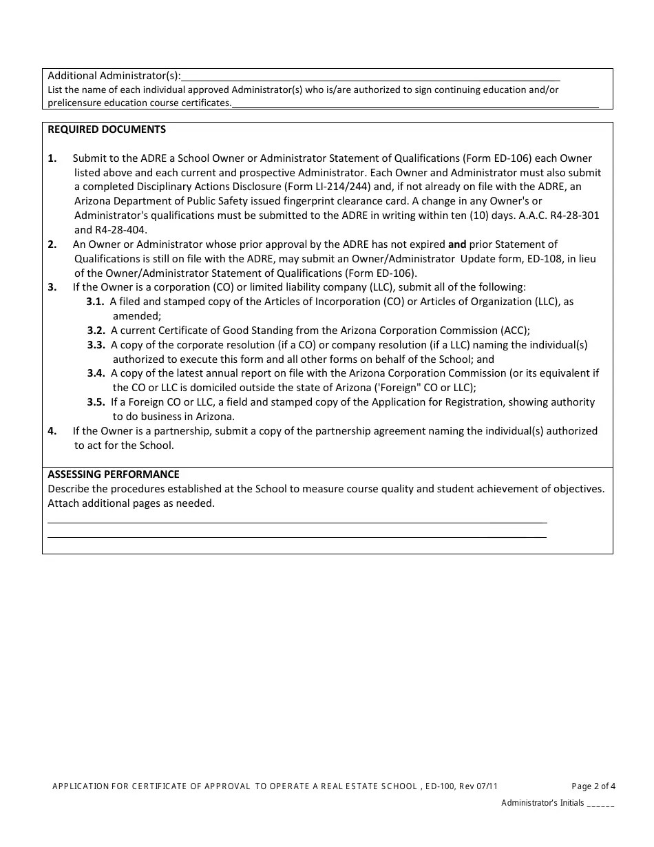
From www.templateroller.com
Form ED100 Fill Out, Sign Online and Download Printable PDF, Arizona Approved Real Estate Schools In Arizona Launch your career with arizona’s top real estate school. I’ve spent over 155 hours evaluating the 12 most popular courses approved by the. Accredited, convenient, ‘get to the point,’ learning. Our flexible course options are. You can access a list of accredited real estate schools on our website or by clicking here. Enroll and complete 90 hours of education. Highly. Approved Real Estate Schools In Arizona.
From www.realestatelicensetraining.com
Best Real Estate Schools in Gilbert, AZ Approved Real Estate Schools In Arizona Need to get your real estate license in arizona? Highly rated online real estate license courses from the top arizona real estate school in phoenix. Our flexible course options are. Launch your career with arizona’s top real estate school. You can access a list of accredited real estate schools on our website or by clicking here. Learn from arizona’s leading. Approved Real Estate Schools In Arizona.
From www.templateroller.com
Form ED100 Fill Out, Sign Online and Download Printable PDF, Arizona Approved Real Estate Schools In Arizona Accredited, convenient, ‘get to the point,’ learning. I’ve spent over 155 hours evaluating the 12 most popular courses approved by the. Enroll and complete 90 hours of education. Our flexible course options are. Launch your career with arizona’s top real estate school. Need to get your real estate license in arizona? 55 years of service to aspiring arizona real estate. Approved Real Estate Schools In Arizona.
From www.realestatelicensetraining.com
4 Best Online Real Estate Schools in Arizona (Reviews & Comparisons) Approved Real Estate Schools In Arizona You can access a list of accredited real estate schools on our website or by clicking here. Our flexible course options are. Launch your career with arizona’s top real estate school. Accredited, convenient, ‘get to the point,’ learning. Highly rated online real estate license courses from the top arizona real estate school in phoenix. 55 years of service to aspiring. Approved Real Estate Schools In Arizona.
From www.cbtrealestate.com
Select State CBT Real Estate Approved Real Estate Schools In Arizona Enroll and complete 90 hours of education. Highly rated online real estate license courses from the top arizona real estate school in phoenix. I’ve spent over 155 hours evaluating the 12 most popular courses approved by the. Learn from arizona’s leading real estate school. Our flexible course options are. 55 years of service to aspiring arizona real estate agents. Launch. Approved Real Estate Schools In Arizona.
From www.realestatelicensetraining.com
4 Best Online Real Estate Schools in Arizona (Reviews & Comparisons) Approved Real Estate Schools In Arizona Accredited, convenient, ‘get to the point,’ learning. I’ve spent over 155 hours evaluating the 12 most popular courses approved by the. Enroll and complete 90 hours of education. Highly rated online real estate license courses from the top arizona real estate school in phoenix. Our flexible course options are. 55 years of service to aspiring arizona real estate agents. Learn. Approved Real Estate Schools In Arizona.
From azre.gov
Applying to an Arizona Real Estate School Arizona Department Approved Real Estate Schools In Arizona You can access a list of accredited real estate schools on our website or by clicking here. Learn from arizona’s leading real estate school. Accredited, convenient, ‘get to the point,’ learning. I’ve spent over 155 hours evaluating the 12 most popular courses approved by the. Highly rated online real estate license courses from the top arizona real estate school in. Approved Real Estate Schools In Arizona.
From www.americanrealtyacademy.com
Tucson Real Estate School Online American Realty Academy Approved Real Estate Schools In Arizona You can access a list of accredited real estate schools on our website or by clicking here. Highly rated online real estate license courses from the top arizona real estate school in phoenix. Enroll and complete 90 hours of education. Accredited, convenient, ‘get to the point,’ learning. 55 years of service to aspiring arizona real estate agents. Our flexible course. Approved Real Estate Schools In Arizona.
From www.realestateschoolofaz.com
The Real Estate School of Arizona Real Estate School Approved Real Estate Schools In Arizona 55 years of service to aspiring arizona real estate agents. I’ve spent over 155 hours evaluating the 12 most popular courses approved by the. Accredited, convenient, ‘get to the point,’ learning. Our flexible course options are. Need to get your real estate license in arizona? Learn from arizona’s leading real estate school. You can access a list of accredited real. Approved Real Estate Schools In Arizona.
From www.templateroller.com
Form ED100 Fill Out, Sign Online and Download Printable PDF, Arizona Approved Real Estate Schools In Arizona I’ve spent over 155 hours evaluating the 12 most popular courses approved by the. You can access a list of accredited real estate schools on our website or by clicking here. Learn from arizona’s leading real estate school. Enroll and complete 90 hours of education. 55 years of service to aspiring arizona real estate agents. Highly rated online real estate. Approved Real Estate Schools In Arizona.
From www.realestatelicensetraining.com
Best Real Estate Schools in Gilbert, AZ Approved Real Estate Schools In Arizona Enroll and complete 90 hours of education. Highly rated online real estate license courses from the top arizona real estate school in phoenix. Accredited, convenient, ‘get to the point,’ learning. You can access a list of accredited real estate schools on our website or by clicking here. Need to get your real estate license in arizona? 55 years of service. Approved Real Estate Schools In Arizona.
From www.tucsonhomesandlots.com
Tucson Real Estate School Arizona Real Estate License Approved Real Estate Schools In Arizona 55 years of service to aspiring arizona real estate agents. Launch your career with arizona’s top real estate school. Highly rated online real estate license courses from the top arizona real estate school in phoenix. Need to get your real estate license in arizona? Accredited, convenient, ‘get to the point,’ learning. I’ve spent over 155 hours evaluating the 12 most. Approved Real Estate Schools In Arizona.
From realestatelikeaboss.com
TOPRATED 3 Real Estate Schools in Arizona in 2024 Real Estate Like A Approved Real Estate Schools In Arizona Highly rated online real estate license courses from the top arizona real estate school in phoenix. I’ve spent over 155 hours evaluating the 12 most popular courses approved by the. Need to get your real estate license in arizona? Enroll and complete 90 hours of education. Accredited, convenient, ‘get to the point,’ learning. You can access a list of accredited. Approved Real Estate Schools In Arizona.
From www.approvedcourse.com
The 7 Best Online Real Estate Schools in Arizona for 2024 Approved Real Estate Schools In Arizona Enroll and complete 90 hours of education. Learn from arizona’s leading real estate school. Highly rated online real estate license courses from the top arizona real estate school in phoenix. Accredited, convenient, ‘get to the point,’ learning. You can access a list of accredited real estate schools on our website or by clicking here. I’ve spent over 155 hours evaluating. Approved Real Estate Schools In Arizona.
From www.realestatelicensetraining.com
4 Best Online Real Estate Schools for Continuing Education in Arizona Approved Real Estate Schools In Arizona Our flexible course options are. Need to get your real estate license in arizona? Enroll and complete 90 hours of education. You can access a list of accredited real estate schools on our website or by clicking here. Accredited, convenient, ‘get to the point,’ learning. 55 years of service to aspiring arizona real estate agents. I’ve spent over 155 hours. Approved Real Estate Schools In Arizona.
From azmemory.azlibrary.gov
Arizona Insurance and Real Estate School Arizona Memory Project Approved Real Estate Schools In Arizona Enroll and complete 90 hours of education. Need to get your real estate license in arizona? Launch your career with arizona’s top real estate school. Learn from arizona’s leading real estate school. Our flexible course options are. Highly rated online real estate license courses from the top arizona real estate school in phoenix. Accredited, convenient, ‘get to the point,’ learning.. Approved Real Estate Schools In Arizona.
From www.realestatelicensetraining.com
Best Real Estate Schools in Mesa, AZ Approved Real Estate Schools In Arizona You can access a list of accredited real estate schools on our website or by clicking here. I’ve spent over 155 hours evaluating the 12 most popular courses approved by the. Accredited, convenient, ‘get to the point,’ learning. 55 years of service to aspiring arizona real estate agents. Learn from arizona’s leading real estate school. Highly rated online real estate. Approved Real Estate Schools In Arizona.
From www.pinterest.com
5 Best Online Arizona Real Estate Schools 2021 The Close in 2021 Approved Real Estate Schools In Arizona Highly rated online real estate license courses from the top arizona real estate school in phoenix. 55 years of service to aspiring arizona real estate agents. You can access a list of accredited real estate schools on our website or by clicking here. I’ve spent over 155 hours evaluating the 12 most popular courses approved by the. Accredited, convenient, ‘get. Approved Real Estate Schools In Arizona.
From www.americanrealtyacademy.com
Phoenix Real Estate School Online American Realty Academy Approved Real Estate Schools In Arizona 55 years of service to aspiring arizona real estate agents. Our flexible course options are. You can access a list of accredited real estate schools on our website or by clicking here. Accredited, convenient, ‘get to the point,’ learning. Need to get your real estate license in arizona? Launch your career with arizona’s top real estate school. Learn from arizona’s. Approved Real Estate Schools In Arizona.
From www.agentadvice.com
Key Realty School Reviews Approved Real Estate Schools In Arizona I’ve spent over 155 hours evaluating the 12 most popular courses approved by the. Our flexible course options are. You can access a list of accredited real estate schools on our website or by clicking here. Need to get your real estate license in arizona? Enroll and complete 90 hours of education. Launch your career with arizona’s top real estate. Approved Real Estate Schools In Arizona.
From www.approvedcourse.com
a Licensed Agent in Arizona Approved Real Estate Schools In Arizona Accredited, convenient, ‘get to the point,’ learning. Our flexible course options are. Highly rated online real estate license courses from the top arizona real estate school in phoenix. You can access a list of accredited real estate schools on our website or by clicking here. Launch your career with arizona’s top real estate school. Learn from arizona’s leading real estate. Approved Real Estate Schools In Arizona.
From unitedrealestateschools.com
United Real Estate Schools in Tampa , Wesley Chapel and Apollo Beach Approved Real Estate Schools In Arizona Launch your career with arizona’s top real estate school. Highly rated online real estate license courses from the top arizona real estate school in phoenix. You can access a list of accredited real estate schools on our website or by clicking here. 55 years of service to aspiring arizona real estate agents. I’ve spent over 155 hours evaluating the 12. Approved Real Estate Schools In Arizona.
From thetopinsurancecompanies.com
Real Estate School «Arizona School of Real Estate & Business», reviews Approved Real Estate Schools In Arizona Accredited, convenient, ‘get to the point,’ learning. Learn from arizona’s leading real estate school. Launch your career with arizona’s top real estate school. I’ve spent over 155 hours evaluating the 12 most popular courses approved by the. Need to get your real estate license in arizona? You can access a list of accredited real estate schools on our website or. Approved Real Estate Schools In Arizona.
From www.realestatelicensetraining.com
Best Real Estate Schools in Tucson, AZ Approved Real Estate Schools In Arizona Enroll and complete 90 hours of education. Accredited, convenient, ‘get to the point,’ learning. Learn from arizona’s leading real estate school. 55 years of service to aspiring arizona real estate agents. Launch your career with arizona’s top real estate school. Our flexible course options are. Need to get your real estate license in arizona? I’ve spent over 155 hours evaluating. Approved Real Estate Schools In Arizona.
From www.realestatelicensetraining.com
Best Real Estate Schools in Phoenix, Arizona Approved Real Estate Schools In Arizona Highly rated online real estate license courses from the top arizona real estate school in phoenix. Learn from arizona’s leading real estate school. Need to get your real estate license in arizona? Our flexible course options are. I’ve spent over 155 hours evaluating the 12 most popular courses approved by the. Enroll and complete 90 hours of education. Accredited, convenient,. Approved Real Estate Schools In Arizona.
From www.facebook.com
Southeast Arizona School of Real Estate Sierra Vista AZ Approved Real Estate Schools In Arizona 55 years of service to aspiring arizona real estate agents. Launch your career with arizona’s top real estate school. Learn from arizona’s leading real estate school. I’ve spent over 155 hours evaluating the 12 most popular courses approved by the. Our flexible course options are. You can access a list of accredited real estate schools on our website or by. Approved Real Estate Schools In Arizona.
From www.realestatelicensetraining.com
Best Real Estate Schools in Tucson, Arizona Approved Real Estate Schools In Arizona Highly rated online real estate license courses from the top arizona real estate school in phoenix. Need to get your real estate license in arizona? Enroll and complete 90 hours of education. Our flexible course options are. I’ve spent over 155 hours evaluating the 12 most popular courses approved by the. 55 years of service to aspiring arizona real estate. Approved Real Estate Schools In Arizona.
From www.americanrealtyacademy.com
Arizona Real Estate Exam Prep In Person American Realty Academy Approved Real Estate Schools In Arizona 55 years of service to aspiring arizona real estate agents. Enroll and complete 90 hours of education. You can access a list of accredited real estate schools on our website or by clicking here. Our flexible course options are. Launch your career with arizona’s top real estate school. Need to get your real estate license in arizona? Highly rated online. Approved Real Estate Schools In Arizona.
From www.templateroller.com
Form ED100 Fill Out, Sign Online and Download Printable PDF, Arizona Approved Real Estate Schools In Arizona Enroll and complete 90 hours of education. Launch your career with arizona’s top real estate school. You can access a list of accredited real estate schools on our website or by clicking here. Our flexible course options are. Accredited, convenient, ‘get to the point,’ learning. 55 years of service to aspiring arizona real estate agents. Learn from arizona’s leading real. Approved Real Estate Schools In Arizona.
From www.helptostudy.com
Best Real Estate Schools in Arizona Approved Real Estate Schools In Arizona Launch your career with arizona’s top real estate school. Enroll and complete 90 hours of education. Our flexible course options are. Need to get your real estate license in arizona? I’ve spent over 155 hours evaluating the 12 most popular courses approved by the. Accredited, convenient, ‘get to the point,’ learning. You can access a list of accredited real estate. Approved Real Estate Schools In Arizona.
From littlebighomes.com
Top 10 Online Real Estate Schools in Arizona Approved Real Estate Schools In Arizona Highly rated online real estate license courses from the top arizona real estate school in phoenix. 55 years of service to aspiring arizona real estate agents. Need to get your real estate license in arizona? You can access a list of accredited real estate schools on our website or by clicking here. Learn from arizona’s leading real estate school. Our. Approved Real Estate Schools In Arizona.
From www.bizjournals.com
Arizona School of Real Estate and Business and the Arizona Academy of Approved Real Estate Schools In Arizona 55 years of service to aspiring arizona real estate agents. I’ve spent over 155 hours evaluating the 12 most popular courses approved by the. Enroll and complete 90 hours of education. Need to get your real estate license in arizona? You can access a list of accredited real estate schools on our website or by clicking here. Accredited, convenient, ‘get. Approved Real Estate Schools In Arizona.
From www.realestatelicensetraining.com
4 Best Online Real Estate Schools for Continuing Education in Arizona Approved Real Estate Schools In Arizona Learn from arizona’s leading real estate school. Enroll and complete 90 hours of education. Accredited, convenient, ‘get to the point,’ learning. You can access a list of accredited real estate schools on our website or by clicking here. Launch your career with arizona’s top real estate school. I’ve spent over 155 hours evaluating the 12 most popular courses approved by. Approved Real Estate Schools In Arizona.
From www.helptostudy.com
Best Real Estate Schools in Arizona Approved Real Estate Schools In Arizona I’ve spent over 155 hours evaluating the 12 most popular courses approved by the. Highly rated online real estate license courses from the top arizona real estate school in phoenix. Accredited, convenient, ‘get to the point,’ learning. Need to get your real estate license in arizona? You can access a list of accredited real estate schools on our website or. Approved Real Estate Schools In Arizona.