Cot 2 X Dy Dx Y Tan X . Explanation for the correct option: Given, y = tan x c o t x. Solving a separable first order ode using initial conditions. Differentiate both sides of the equation. Type in any function derivative to get the solution, steps and graph. The next step would be to use the. Ex 9.5, 5 for each of the differential equation given in exercises 1 to 12, find the general solution : Put in form ππ¦/ππ₯ + py = q cos2x.ππ¦/ππ₯ + y = tan x dividing by cos2x, ππ¦/ππ₯ + y.1/πππ 2π₯ = tan. Replace y' y β² with dy dx d y d x. Find the value of d y d x: The correct option is a. Your solution looks right so far. I need help with differential equation $$\tan(x)\sin^2(y) + \cos^2(x) \cot(y) yβ=0$$ i know that $yβ=\frac{dy}{dx}$, but i.
from www.youtube.com
Solving a separable first order ode using initial conditions. Given, y = tan x c o t x. Find the value of d y d x: Explanation for the correct option: Differentiate both sides of the equation. Put in form ππ¦/ππ₯ + py = q cos2x.ππ¦/ππ₯ + y = tan x dividing by cos2x, ππ¦/ππ₯ + y.1/πππ 2π₯ = tan. Type in any function derivative to get the solution, steps and graph. Replace y' y β² with dy dx d y d x. I need help with differential equation $$\tan(x)\sin^2(y) + \cos^2(x) \cot(y) yβ=0$$ i know that $yβ=\frac{dy}{dx}$, but i. Ex 9.5, 5 for each of the differential equation given in exercises 1 to 12, find the general solution :
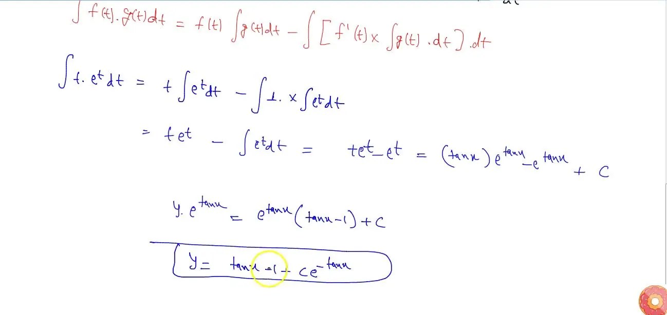
cos^(2)x (dy)/(dx)+y = tan x.The solution of this diff. eqn. is
Cot 2 X Dy Dx Y Tan X Type in any function derivative to get the solution, steps and graph. Find the value of d y d x: Differentiate both sides of the equation. Solving a separable first order ode using initial conditions. The next step would be to use the. Type in any function derivative to get the solution, steps and graph. Put in form ππ¦/ππ₯ + py = q cos2x.ππ¦/ππ₯ + y = tan x dividing by cos2x, ππ¦/ππ₯ + y.1/πππ 2π₯ = tan. Replace y' y β² with dy dx d y d x. Your solution looks right so far. The correct option is a. I need help with differential equation $$\tan(x)\sin^2(y) + \cos^2(x) \cot(y) yβ=0$$ i know that $yβ=\frac{dy}{dx}$, but i. Given, y = tan x c o t x. Ex 9.5, 5 for each of the differential equation given in exercises 1 to 12, find the general solution : Explanation for the correct option:
From www.youtube.com
Find `(dy)/(dx)`, when `tan(x+y)+tan(xy)=1` YouTube Cot 2 X Dy Dx Y Tan X The correct option is a. I need help with differential equation $$\tan(x)\sin^2(y) + \cos^2(x) \cot(y) yβ=0$$ i know that $yβ=\frac{dy}{dx}$, but i. Solving a separable first order ode using initial conditions. Explanation for the correct option: The next step would be to use the. Your solution looks right so far. Find the value of d y d x: Replace y'. Cot 2 X Dy Dx Y Tan X.
From www.doubtnut.com
The integrating factor of the differential equation (dy)/(dx)=y tan x Cot 2 X Dy Dx Y Tan X Given, y = tan x c o t x. Ex 9.5, 5 for each of the differential equation given in exercises 1 to 12, find the general solution : Type in any function derivative to get the solution, steps and graph. Put in form ππ¦/ππ₯ + py = q cos2x.ππ¦/ππ₯ + y = tan x dividing by cos2x, ππ¦/ππ₯ +. Cot 2 X Dy Dx Y Tan X.
From www.youtube.com
tan (pi/2x)=cot x dan tan (pi/2+x)=cot x Trigonometry Explanation Cot 2 X Dy Dx Y Tan X Replace y' y β² with dy dx d y d x. Put in form ππ¦/ππ₯ + py = q cos2x.ππ¦/ππ₯ + y = tan x dividing by cos2x, ππ¦/ππ₯ + y.1/πππ 2π₯ = tan. Find the value of d y d x: Ex 9.5, 5 for each of the differential equation given in exercises 1 to 12, find the general solution. Cot 2 X Dy Dx Y Tan X.
From www.doubtnut.com
Solve the following differential equation cos^2\ x(dy)/(dx)+y=tan\ x Cot 2 X Dy Dx Y Tan X Explanation for the correct option: Type in any function derivative to get the solution, steps and graph. Differentiate both sides of the equation. The correct option is a. Replace y' y β² with dy dx d y d x. Your solution looks right so far. Solving a separable first order ode using initial conditions. Put in form ππ¦/ππ₯ + py. Cot 2 X Dy Dx Y Tan X.
From www.teachoo.com
[Class 12] Solve differential equation (cos^2 x) dy/dx + y = tan x Cot 2 X Dy Dx Y Tan X Find the value of d y d x: Your solution looks right so far. The next step would be to use the. Put in form ππ¦/ππ₯ + py = q cos2x.ππ¦/ππ₯ + y = tan x dividing by cos2x, ππ¦/ππ₯ + y.1/πππ 2π₯ = tan. Ex 9.5, 5 for each of the differential equation given in exercises 1 to 12, find. Cot 2 X Dy Dx Y Tan X.
From www.toppr.com
If y = (tan x)^cotx + (cot x)^tanx , prove that dydx = (tan x)^cotx Cot 2 X Dy Dx Y Tan X Type in any function derivative to get the solution, steps and graph. Differentiate both sides of the equation. Explanation for the correct option: Find the value of d y d x: I need help with differential equation $$\tan(x)\sin^2(y) + \cos^2(x) \cot(y) yβ=0$$ i know that $yβ=\frac{dy}{dx}$, but i. The correct option is a. Put in form ππ¦/ππ₯ + py =. Cot 2 X Dy Dx Y Tan X.
From www.youtube.com
`(dy)/(dx)=tan^(2)x` YouTube Cot 2 X Dy Dx Y Tan X Ex 9.5, 5 for each of the differential equation given in exercises 1 to 12, find the general solution : Differentiate both sides of the equation. Put in form ππ¦/ππ₯ + py = q cos2x.ππ¦/ππ₯ + y = tan x dividing by cos2x, ππ¦/ππ₯ + y.1/πππ 2π₯ = tan. Find the value of d y d x: The next step would. Cot 2 X Dy Dx Y Tan X.
From www.chegg.com
Solved Ω‘_ y^2+2y=e^xΩ’_ y^2+3y=e^2xΩ£_ dy/dx+y. Cot xcos Cot 2 X Dy Dx Y Tan X Given, y = tan x c o t x. Explanation for the correct option: Your solution looks right so far. Differentiate both sides of the equation. Put in form ππ¦/ππ₯ + py = q cos2x.ππ¦/ππ₯ + y = tan x dividing by cos2x, ππ¦/ππ₯ + y.1/πππ 2π₯ = tan. Find the value of d y d x: Type in any function. Cot 2 X Dy Dx Y Tan X.
From www.youtube.com
How to integrate cot^2x YouTube Cot 2 X Dy Dx Y Tan X Differentiate both sides of the equation. Replace y' y β² with dy dx d y d x. Solving a separable first order ode using initial conditions. Your solution looks right so far. I need help with differential equation $$\tan(x)\sin^2(y) + \cos^2(x) \cot(y) yβ=0$$ i know that $yβ=\frac{dy}{dx}$, but i. Put in form ππ¦/ππ₯ + py = q cos2x.ππ¦/ππ₯ + y. Cot 2 X Dy Dx Y Tan X.
From www.doubtnut.com
The integrating factor of cos^(2) x(dy)/(dx) +y = tan x is Cot 2 X Dy Dx Y Tan X Explanation for the correct option: Type in any function derivative to get the solution, steps and graph. The correct option is a. Ex 9.5, 5 for each of the differential equation given in exercises 1 to 12, find the general solution : Differentiate both sides of the equation. Find the value of d y d x: The next step would. Cot 2 X Dy Dx Y Tan X.
From giovixusr.blob.core.windows.net
What Is The Integral Of Cot^2 X at Krista Bell blog Cot 2 X Dy Dx Y Tan X Replace y' y β² with dy dx d y d x. Your solution looks right so far. I need help with differential equation $$\tan(x)\sin^2(y) + \cos^2(x) \cot(y) yβ=0$$ i know that $yβ=\frac{dy}{dx}$, but i. Given, y = tan x c o t x. Find the value of d y d x: Ex 9.5, 5 for each of the differential equation. Cot 2 X Dy Dx Y Tan X.
From www.teachoo.com
Misc 11 Find particular solution (x y) (dx + dy) = dx dy Cot 2 X Dy Dx Y Tan X Ex 9.5, 5 for each of the differential equation given in exercises 1 to 12, find the general solution : Put in form ππ¦/ππ₯ + py = q cos2x.ππ¦/ππ₯ + y = tan x dividing by cos2x, ππ¦/ππ₯ + y.1/πππ 2π₯ = tan. Find the value of d y d x: The correct option is a. Differentiate both sides of the. Cot 2 X Dy Dx Y Tan X.
From www.youtube.com
cos^(2)x (dy)/(dx)+y = tan x.The solution of this diff. eqn. is Cot 2 X Dy Dx Y Tan X Your solution looks right so far. The correct option is a. Solving a separable first order ode using initial conditions. Explanation for the correct option: Put in form ππ¦/ππ₯ + py = q cos2x.ππ¦/ππ₯ + y = tan x dividing by cos2x, ππ¦/ππ₯ + y.1/πππ 2π₯ = tan. I need help with differential equation $$\tan(x)\sin^2(y) + \cos^2(x) \cot(y) yβ=0$$ i know. Cot 2 X Dy Dx Y Tan X.
From gambarsaeb1z.blogspot.com
ιΈζγγη»ε y=tan^1(2x/1x^2) find dy/dx 682707Y=tan^1(2x/1x^2) find dy/dx Cot 2 X Dy Dx Y Tan X Solving a separable first order ode using initial conditions. I need help with differential equation $$\tan(x)\sin^2(y) + \cos^2(x) \cot(y) yβ=0$$ i know that $yβ=\frac{dy}{dx}$, but i. The correct option is a. Type in any function derivative to get the solution, steps and graph. Replace y' y β² with dy dx d y d x. Your solution looks right so far.. Cot 2 X Dy Dx Y Tan X.
From www.teachoo.com
Ex 9.4, 14 Find particular solution dy/dx = y tan x, y = 1 Cot 2 X Dy Dx Y Tan X Replace y' y β² with dy dx d y d x. Given, y = tan x c o t x. The next step would be to use the. The correct option is a. Solving a separable first order ode using initial conditions. Ex 9.5, 5 for each of the differential equation given in exercises 1 to 12, find the general. Cot 2 X Dy Dx Y Tan X.
From www.teachoo.com
Ex 5.3, 4 Find dy/dx in, xy + y2 = tan x + y Chapter 5 Cot 2 X Dy Dx Y Tan X The next step would be to use the. Replace y' y β² with dy dx d y d x. Explanation for the correct option: I need help with differential equation $$\tan(x)\sin^2(y) + \cos^2(x) \cot(y) yβ=0$$ i know that $yβ=\frac{dy}{dx}$, but i. Put in form ππ¦/ππ₯ + py = q cos2x.ππ¦/ππ₯ + y = tan x dividing by cos2x, ππ¦/ππ₯ +. Cot 2 X Dy Dx Y Tan X.
From www.teachoo.com
Ex 9.5, 5 Find general solution cos2 x dy/dx + y = tan x Cot 2 X Dy Dx Y Tan X Given, y = tan x c o t x. Ex 9.5, 5 for each of the differential equation given in exercises 1 to 12, find the general solution : The next step would be to use the. Type in any function derivative to get the solution, steps and graph. Find the value of d y d x: Differentiate both sides. Cot 2 X Dy Dx Y Tan X.
From www.teachoo.com
Ex 9.6, 9 Find general solution x dy/dx + y x + xy cot x Cot 2 X Dy Dx Y Tan X Explanation for the correct option: Your solution looks right so far. Given, y = tan x c o t x. Solving a separable first order ode using initial conditions. Ex 9.5, 5 for each of the differential equation given in exercises 1 to 12, find the general solution : Put in form ππ¦/ππ₯ + py = q cos2x.ππ¦/ππ₯ + y. Cot 2 X Dy Dx Y Tan X.
From teachoo.com
Example 22 Particular solution dy/dx + y cot x = 2x + x2 cot x Cot 2 X Dy Dx Y Tan X Explanation for the correct option: Replace y' y β² with dy dx d y d x. Solving a separable first order ode using initial conditions. Put in form ππ¦/ππ₯ + py = q cos2x.ππ¦/ππ₯ + y = tan x dividing by cos2x, ππ¦/ππ₯ + y.1/πππ 2π₯ = tan. The correct option is a. Differentiate both sides of the equation. Given, y. Cot 2 X Dy Dx Y Tan X.
From www.teachoo.com
Ex 5.3, 8 Find dy/dx in, sin2 x + cos2 y = 1 Class 12 Cot 2 X Dy Dx Y Tan X Your solution looks right so far. Replace y' y β² with dy dx d y d x. The correct option is a. Type in any function derivative to get the solution, steps and graph. The next step would be to use the. Differentiate both sides of the equation. Explanation for the correct option: Ex 9.5, 5 for each of the. Cot 2 X Dy Dx Y Tan X.
From www.youtube.com
Verify the Trigonometric Identity tan(x)(tan(x) + cot(x)) = sec^2(x Cot 2 X Dy Dx Y Tan X Solving a separable first order ode using initial conditions. I need help with differential equation $$\tan(x)\sin^2(y) + \cos^2(x) \cot(y) yβ=0$$ i know that $yβ=\frac{dy}{dx}$, but i. Replace y' y β² with dy dx d y d x. Ex 9.5, 5 for each of the differential equation given in exercises 1 to 12, find the general solution : Explanation for the. Cot 2 X Dy Dx Y Tan X.
From opencurriculum.org
Graphing the Trigonometric Functions βΉ OpenCurriculum Cot 2 X Dy Dx Y Tan X The next step would be to use the. Differentiate both sides of the equation. Find the value of d y d x: Replace y' y β² with dy dx d y d x. I need help with differential equation $$\tan(x)\sin^2(y) + \cos^2(x) \cot(y) yβ=0$$ i know that $yβ=\frac{dy}{dx}$, but i. Explanation for the correct option: Ex 9.5, 5 for each. Cot 2 X Dy Dx Y Tan X.
From www.youtube.com
Solving the Differential Equation dy/dx = tan^2(x + y) YouTube Cot 2 X Dy Dx Y Tan X Solving a separable first order ode using initial conditions. The correct option is a. Put in form ππ¦/ππ₯ + py = q cos2x.ππ¦/ππ₯ + y = tan x dividing by cos2x, ππ¦/ππ₯ + y.1/πππ 2π₯ = tan. I need help with differential equation $$\tan(x)\sin^2(y) + \cos^2(x) \cot(y) yβ=0$$ i know that $yβ=\frac{dy}{dx}$, but i. Explanation for the correct option: Type in. Cot 2 X Dy Dx Y Tan X.
From www.doubtnut.com
ΰ€Ήΰ€² ΰ€ΰ₯ΰ€ΰ€Ώΰ€ cos^2 x (dy)/(dx) + y = tan x Cot 2 X Dy Dx Y Tan X Find the value of d y d x: Explanation for the correct option: Replace y' y β² with dy dx d y d x. Type in any function derivative to get the solution, steps and graph. The next step would be to use the. Differentiate both sides of the equation. Ex 9.5, 5 for each of the differential equation given. Cot 2 X Dy Dx Y Tan X.
From www.doubtnut.com
Solve the following differential equation cos^2\ x(dy)/(dx)+y=tan\ x Cot 2 X Dy Dx Y Tan X Solving a separable first order ode using initial conditions. The next step would be to use the. Replace y' y β² with dy dx d y d x. The correct option is a. Given, y = tan x c o t x. Find the value of d y d x: I need help with differential equation $$\tan(x)\sin^2(y) + \cos^2(x) \cot(y). Cot 2 X Dy Dx Y Tan X.
From www.teachoo.com
Ex 9.5, 5 Find general solution cos2 x dy/dx + y = tan x Cot 2 X Dy Dx Y Tan X Put in form ππ¦/ππ₯ + py = q cos2x.ππ¦/ππ₯ + y = tan x dividing by cos2x, ππ¦/ππ₯ + y.1/πππ 2π₯ = tan. Solving a separable first order ode using initial conditions. Explanation for the correct option: Replace y' y β² with dy dx d y d x. I need help with differential equation $$\tan(x)\sin^2(y) + \cos^2(x) \cot(y) yβ=0$$ i know. Cot 2 X Dy Dx Y Tan X.
From www.chegg.com
Solved Find dy/dx. y = tan x + cot y e^2x + e^3y = sin x + Cot 2 X Dy Dx Y Tan X The correct option is a. I need help with differential equation $$\tan(x)\sin^2(y) + \cos^2(x) \cot(y) yβ=0$$ i know that $yβ=\frac{dy}{dx}$, but i. Replace y' y β² with dy dx d y d x. Find the value of d y d x: Ex 9.5, 5 for each of the differential equation given in exercises 1 to 12, find the general solution. Cot 2 X Dy Dx Y Tan X.
From etc.usf.edu
Tangent and Cotangent Curves, y=tan x and y=cot x ClipArt ETC Cot 2 X Dy Dx Y Tan X Type in any function derivative to get the solution, steps and graph. Find the value of d y d x: Given, y = tan x c o t x. Explanation for the correct option: Solving a separable first order ode using initial conditions. I need help with differential equation $$\tan(x)\sin^2(y) + \cos^2(x) \cot(y) yβ=0$$ i know that $yβ=\frac{dy}{dx}$, but i.. Cot 2 X Dy Dx Y Tan X.
From www.teachoo.com
Ex 9.6, 9 Find general solution x dy/dx + y x + xy cot x Cot 2 X Dy Dx Y Tan X I need help with differential equation $$\tan(x)\sin^2(y) + \cos^2(x) \cot(y) yβ=0$$ i know that $yβ=\frac{dy}{dx}$, but i. Find the value of d y d x: Ex 9.5, 5 for each of the differential equation given in exercises 1 to 12, find the general solution : The correct option is a. Type in any function derivative to get the solution, steps. Cot 2 X Dy Dx Y Tan X.
From www.youtube.com
How to Simplify Trig Identities (tan(x) + tan(y)) / (cot(x) + cot(y Cot 2 X Dy Dx Y Tan X Given, y = tan x c o t x. Replace y' y β² with dy dx d y d x. Put in form ππ¦/ππ₯ + py = q cos2x.ππ¦/ππ₯ + y = tan x dividing by cos2x, ππ¦/ππ₯ + y.1/πππ 2π₯ = tan. The next step would be to use the. I need help with differential equation $$\tan(x)\sin^2(y) + \cos^2(x) \cot(y). Cot 2 X Dy Dx Y Tan X.
From www.doubtnut.com
If y = Cot ^(1) [ tan ((pi)/(2) x ) ] then (dy)/(dx) Cot 2 X Dy Dx Y Tan X The next step would be to use the. Your solution looks right so far. I need help with differential equation $$\tan(x)\sin^2(y) + \cos^2(x) \cot(y) yβ=0$$ i know that $yβ=\frac{dy}{dx}$, but i. Type in any function derivative to get the solution, steps and graph. Find the value of d y d x: Put in form ππ¦/ππ₯ + py = q cos2x.ππ¦/ππ₯. Cot 2 X Dy Dx Y Tan X.
From www.gauthmath.com
Solved Given the differential equation tan x dy/dx +ysin x=0 Choose Cot 2 X Dy Dx Y Tan X Put in form ππ¦/ππ₯ + py = q cos2x.ππ¦/ππ₯ + y = tan x dividing by cos2x, ππ¦/ππ₯ + y.1/πππ 2π₯ = tan. Given, y = tan x c o t x. The next step would be to use the. Your solution looks right so far. The correct option is a. Solving a separable first order ode using initial conditions. Find. Cot 2 X Dy Dx Y Tan X.
From teachoo.com
Example 22 Solve tan 2x = cot (x + pi/3) Class 11 Examples Cot 2 X Dy Dx Y Tan X Your solution looks right so far. I need help with differential equation $$\tan(x)\sin^2(y) + \cos^2(x) \cot(y) yβ=0$$ i know that $yβ=\frac{dy}{dx}$, but i. Find the value of d y d x: The correct option is a. Explanation for the correct option: Type in any function derivative to get the solution, steps and graph. Given, y = tan x c o. Cot 2 X Dy Dx Y Tan X.
From www.teachoo.com
Find general solution of dx/dy = (y tanβ‘y x tanβ‘y xy) / y tan y Cot 2 X Dy Dx Y Tan X Ex 9.5, 5 for each of the differential equation given in exercises 1 to 12, find the general solution : The next step would be to use the. Solving a separable first order ode using initial conditions. Replace y' y β² with dy dx d y d x. Differentiate both sides of the equation. Put in form ππ¦/ππ₯ + py. Cot 2 X Dy Dx Y Tan X.
From www.youtube.com
If `y=tan^( 1)(x/(sqrt(1+x^2)1)),then(dy)/(dx)=` YouTube Cot 2 X Dy Dx Y Tan X I need help with differential equation $$\tan(x)\sin^2(y) + \cos^2(x) \cot(y) yβ=0$$ i know that $yβ=\frac{dy}{dx}$, but i. Type in any function derivative to get the solution, steps and graph. Differentiate both sides of the equation. Ex 9.5, 5 for each of the differential equation given in exercises 1 to 12, find the general solution : Put in form ππ¦/ππ₯ +. Cot 2 X Dy Dx Y Tan X.