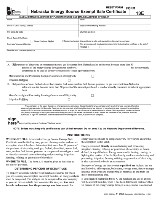
Nebraska Form 13E . For an exempt sale certificate to be fully completed, it must include: (1) identification of purchaser and seller; Use form 13e for purchases of energy sources which qualify for exemption. (2) a statement that the. Who may file an exempt sale. Date of seller’s original purchase was tax paid when purchased by seller? The nebraska resale or exempt sale certificate form 13 can only be issued by person (s) or organization (s) exempt from payment of the. The form 13 is given to the seller at the time of the purchase of the property or service or when sales tax is due. The form 13e must be given to the seller at the time of purchase. Use form 13ag for purchases of agricultural machinery and equipment. Form 13e must be issued by every person claiming a sales and use tax exemption when it has been determined that more than 50% of the. Determining percent of exempt use. If exemption category 6 is claimed, the seller must enter the following information and sign this form below:
from www.pdffiller.com
Determining percent of exempt use. Use form 13e for purchases of energy sources which qualify for exemption. (1) identification of purchaser and seller; For an exempt sale certificate to be fully completed, it must include: If exemption category 6 is claimed, the seller must enter the following information and sign this form below: Date of seller’s original purchase was tax paid when purchased by seller? The form 13 is given to the seller at the time of the purchase of the property or service or when sales tax is due. The nebraska resale or exempt sale certificate form 13 can only be issued by person (s) or organization (s) exempt from payment of the. The form 13e must be given to the seller at the time of purchase. Who may file an exempt sale.
Fillable Online terc nebraska Case No 13E 040 Fax Email Print pdfFiller
Nebraska Form 13E (1) identification of purchaser and seller; For an exempt sale certificate to be fully completed, it must include: The nebraska resale or exempt sale certificate form 13 can only be issued by person (s) or organization (s) exempt from payment of the. (2) a statement that the. The form 13 is given to the seller at the time of the purchase of the property or service or when sales tax is due. Use form 13e for purchases of energy sources which qualify for exemption. (1) identification of purchaser and seller; Determining percent of exempt use. Form 13e must be issued by every person claiming a sales and use tax exemption when it has been determined that more than 50% of the. Who may file an exempt sale. Use form 13ag for purchases of agricultural machinery and equipment. The form 13e must be given to the seller at the time of purchase. If exemption category 6 is claimed, the seller must enter the following information and sign this form below: Date of seller’s original purchase was tax paid when purchased by seller?
From formspal.com
Nebraska Form 17 ≡ Fill Out Printable PDF Forms Online Nebraska Form 13E The nebraska resale or exempt sale certificate form 13 can only be issued by person (s) or organization (s) exempt from payment of the. Use form 13ag for purchases of agricultural machinery and equipment. Use form 13e for purchases of energy sources which qualify for exemption. For an exempt sale certificate to be fully completed, it must include: Determining percent. Nebraska Form 13E.
From www.pdffiller.com
20202024 NE 7AG (Formerly 13AG) Fill Online, Printable, Fillable Nebraska Form 13E If exemption category 6 is claimed, the seller must enter the following information and sign this form below: The form 13e must be given to the seller at the time of purchase. Form 13e must be issued by every person claiming a sales and use tax exemption when it has been determined that more than 50% of the. Use form. Nebraska Form 13E.
From formspal.com
Nebraska Form Nsp1710 ≡ Fill Out Printable PDF Forms Online Nebraska Form 13E Use form 13e for purchases of energy sources which qualify for exemption. (2) a statement that the. Form 13e must be issued by every person claiming a sales and use tax exemption when it has been determined that more than 50% of the. Who may file an exempt sale. The nebraska resale or exempt sale certificate form 13 can only. Nebraska Form 13E.
From www.pdffiller.com
Fillable Online terc nebraska Case No 13E 040 Fax Email Print pdfFiller Nebraska Form 13E Use form 13ag for purchases of agricultural machinery and equipment. Use form 13e for purchases of energy sources which qualify for exemption. (1) identification of purchaser and seller; (2) a statement that the. For an exempt sale certificate to be fully completed, it must include: Date of seller’s original purchase was tax paid when purchased by seller? Who may file. Nebraska Form 13E.
From formspal.com
Nebraska Form 51C ≡ Fill Out Printable PDF Forms Online Nebraska Form 13E The form 13 is given to the seller at the time of the purchase of the property or service or when sales tax is due. Use form 13ag for purchases of agricultural machinery and equipment. If exemption category 6 is claimed, the seller must enter the following information and sign this form below: Who may file an exempt sale. The. Nebraska Form 13E.
From www.signnow.com
Dhhs Printable S 20112024 Form Fill Out and Sign Printable PDF Nebraska Form 13E The nebraska resale or exempt sale certificate form 13 can only be issued by person (s) or organization (s) exempt from payment of the. Determining percent of exempt use. (2) a statement that the. Date of seller’s original purchase was tax paid when purchased by seller? Use form 13e for purchases of energy sources which qualify for exemption. Who may. Nebraska Form 13E.
From www.pdffiller.com
Nebraska Form Ptc Fill Online, Printable, Fillable, Blank pdfFiller Nebraska Form 13E For an exempt sale certificate to be fully completed, it must include: Use form 13ag for purchases of agricultural machinery and equipment. The nebraska resale or exempt sale certificate form 13 can only be issued by person (s) or organization (s) exempt from payment of the. Date of seller’s original purchase was tax paid when purchased by seller? (2) a. Nebraska Form 13E.
From fill.io
Fill Free fillable forms for the state of Nebraska Nebraska Form 13E Use form 13e for purchases of energy sources which qualify for exemption. For an exempt sale certificate to be fully completed, it must include: The form 13 is given to the seller at the time of the purchase of the property or service or when sales tax is due. Who may file an exempt sale. If exemption category 6 is. Nebraska Form 13E.
From formspal.com
Nebraska Sales Tax Form ≡ Fill Out Printable PDF Forms Online Nebraska Form 13E Use form 13e for purchases of energy sources which qualify for exemption. Determining percent of exempt use. The form 13e must be given to the seller at the time of purchase. Use form 13ag for purchases of agricultural machinery and equipment. (1) identification of purchaser and seller; For an exempt sale certificate to be fully completed, it must include: (2). Nebraska Form 13E.
From printableformsfree.com
Nebraska Fillable Tax Forms Printable Forms Free Online Nebraska Form 13E The nebraska resale or exempt sale certificate form 13 can only be issued by person (s) or organization (s) exempt from payment of the. Who may file an exempt sale. The form 13e must be given to the seller at the time of purchase. If exemption category 6 is claimed, the seller must enter the following information and sign this. Nebraska Form 13E.
From www.formsbank.com
Instructions For Form 13 Nebraska Resale Or Exempt Sale Certificate Nebraska Form 13E For an exempt sale certificate to be fully completed, it must include: The form 13e must be given to the seller at the time of purchase. Determining percent of exempt use. (1) identification of purchaser and seller; The nebraska resale or exempt sale certificate form 13 can only be issued by person (s) or organization (s) exempt from payment of. Nebraska Form 13E.
From www.formsbank.com
Fillable Form 13e Nebraska Energy Source Exempt Sale Certificate Nebraska Form 13E The form 13 is given to the seller at the time of the purchase of the property or service or when sales tax is due. (2) a statement that the. The form 13e must be given to the seller at the time of purchase. For an exempt sale certificate to be fully completed, it must include: Use form 13ag for. Nebraska Form 13E.
From www.templateroller.com
Form 13ME Fill Out, Sign Online and Download Fillable PDF, Nebraska Nebraska Form 13E If exemption category 6 is claimed, the seller must enter the following information and sign this form below: The form 13 is given to the seller at the time of the purchase of the property or service or when sales tax is due. Who may file an exempt sale. (1) identification of purchaser and seller; Form 13e must be issued. Nebraska Form 13E.
From www.uslegalforms.com
Form 13 Cce Nebraska Fill and Sign Printable Template Online US Nebraska Form 13E (1) identification of purchaser and seller; The form 13 is given to the seller at the time of the purchase of the property or service or when sales tax is due. If exemption category 6 is claimed, the seller must enter the following information and sign this form below: Use form 13ag for purchases of agricultural machinery and equipment. Use. Nebraska Form 13E.
From www.formsbank.com
Nebraska Resale Or Exempt Sale Certificate printable pdf download Nebraska Form 13E Use form 13ag for purchases of agricultural machinery and equipment. (2) a statement that the. Use form 13e for purchases of energy sources which qualify for exemption. Determining percent of exempt use. Who may file an exempt sale. Date of seller’s original purchase was tax paid when purchased by seller? The form 13e must be given to the seller at. Nebraska Form 13E.
From www.templateroller.com
Form 13E Fill Out, Sign Online and Download Fillable PDF, Nebraska Nebraska Form 13E Form 13e must be issued by every person claiming a sales and use tax exemption when it has been determined that more than 50% of the. The nebraska resale or exempt sale certificate form 13 can only be issued by person (s) or organization (s) exempt from payment of the. The form 13e must be given to the seller at. Nebraska Form 13E.
From formspal.com
Nebraska Form 2 ≡ Fill Out Printable PDF Forms Online Nebraska Form 13E Date of seller’s original purchase was tax paid when purchased by seller? The form 13e must be given to the seller at the time of purchase. (2) a statement that the. For an exempt sale certificate to be fully completed, it must include: Use form 13e for purchases of energy sources which qualify for exemption. Who may file an exempt. Nebraska Form 13E.
From www.templateroller.com
Form 13 Download Fillable PDF or Fill Online Nebraska Resale or Exempt Nebraska Form 13E Use form 13ag for purchases of agricultural machinery and equipment. The nebraska resale or exempt sale certificate form 13 can only be issued by person (s) or organization (s) exempt from payment of the. Date of seller’s original purchase was tax paid when purchased by seller? If exemption category 6 is claimed, the seller must enter the following information and. Nebraska Form 13E.
From www.dochub.com
Nebraska form tax Fill out & sign online DocHub Nebraska Form 13E For an exempt sale certificate to be fully completed, it must include: The nebraska resale or exempt sale certificate form 13 can only be issued by person (s) or organization (s) exempt from payment of the. (1) identification of purchaser and seller; Date of seller’s original purchase was tax paid when purchased by seller? The form 13 is given to. Nebraska Form 13E.
From www.zrivo.com
Nebraska Form 13 Nebraska Form 13E Determining percent of exempt use. The form 13 is given to the seller at the time of the purchase of the property or service or when sales tax is due. Who may file an exempt sale. Form 13e must be issued by every person claiming a sales and use tax exemption when it has been determined that more than 50%. Nebraska Form 13E.
From www.signnow.com
Nebraska Uniform Health Make Template and guide airSlate SignNow Nebraska Form 13E The nebraska resale or exempt sale certificate form 13 can only be issued by person (s) or organization (s) exempt from payment of the. The form 13e must be given to the seller at the time of purchase. Form 13e must be issued by every person claiming a sales and use tax exemption when it has been determined that more. Nebraska Form 13E.
From www.dochub.com
941n Fill out & sign online DocHub Nebraska Form 13E Determining percent of exempt use. Use form 13ag for purchases of agricultural machinery and equipment. (2) a statement that the. Date of seller’s original purchase was tax paid when purchased by seller? If exemption category 6 is claimed, the seller must enter the following information and sign this form below: (1) identification of purchaser and seller; For an exempt sale. Nebraska Form 13E.
From www.formsbank.com
Fillable Form 13e Nebraska Energy Source Exempt Sale Certificate Nebraska Form 13E Use form 13ag for purchases of agricultural machinery and equipment. Use form 13e for purchases of energy sources which qualify for exemption. Who may file an exempt sale. Determining percent of exempt use. For an exempt sale certificate to be fully completed, it must include: The form 13 is given to the seller at the time of the purchase of. Nebraska Form 13E.
From www.templateroller.com
Nebraska United States Citizenship Attestation Form Fill Out, Sign Nebraska Form 13E Use form 13e for purchases of energy sources which qualify for exemption. The nebraska resale or exempt sale certificate form 13 can only be issued by person (s) or organization (s) exempt from payment of the. The form 13e must be given to the seller at the time of purchase. For an exempt sale certificate to be fully completed, it. Nebraska Form 13E.
From www.dochub.com
Nebraska form tax Fill out & sign online DocHub Nebraska Form 13E The nebraska resale or exempt sale certificate form 13 can only be issued by person (s) or organization (s) exempt from payment of the. Form 13e must be issued by every person claiming a sales and use tax exemption when it has been determined that more than 50% of the. Determining percent of exempt use. Date of seller’s original purchase. Nebraska Form 13E.
From printableformsfree.com
Fillable Nebraska State Tax Forms Printable Forms Free Online Nebraska Form 13E If exemption category 6 is claimed, the seller must enter the following information and sign this form below: Use form 13e for purchases of energy sources which qualify for exemption. Form 13e must be issued by every person claiming a sales and use tax exemption when it has been determined that more than 50% of the. (2) a statement that. Nebraska Form 13E.
From formspal.com
Nebraska PDF Forms Fillable and Printable Nebraska Form 13E If exemption category 6 is claimed, the seller must enter the following information and sign this form below: Determining percent of exempt use. Use form 13ag for purchases of agricultural machinery and equipment. The form 13e must be given to the seller at the time of purchase. Date of seller’s original purchase was tax paid when purchased by seller? Form. Nebraska Form 13E.
From www.zrivo.com
Nebraska Form 13 Nebraska Form 13E (2) a statement that the. If exemption category 6 is claimed, the seller must enter the following information and sign this form below: For an exempt sale certificate to be fully completed, it must include: Use form 13ag for purchases of agricultural machinery and equipment. The nebraska resale or exempt sale certificate form 13 can only be issued by person. Nebraska Form 13E.
From www.signnow.com
Nebraska 13 20182024 Form Fill Out and Sign Printable PDF Template Nebraska Form 13E If exemption category 6 is claimed, the seller must enter the following information and sign this form below: Use form 13e for purchases of energy sources which qualify for exemption. Use form 13ag for purchases of agricultural machinery and equipment. Who may file an exempt sale. (2) a statement that the. The nebraska resale or exempt sale certificate form 13. Nebraska Form 13E.
From www.templateroller.com
Form 13E Fill Out, Sign Online and Download Fillable PDF, Nebraska Nebraska Form 13E Form 13e must be issued by every person claiming a sales and use tax exemption when it has been determined that more than 50% of the. (1) identification of purchaser and seller; For an exempt sale certificate to be fully completed, it must include: (2) a statement that the. Determining percent of exempt use. Who may file an exempt sale.. Nebraska Form 13E.
From www.formsbank.com
Fillable Form 13 Nebraska Resale Or Exempt Sale Certificate printable Nebraska Form 13E If exemption category 6 is claimed, the seller must enter the following information and sign this form below: Form 13e must be issued by every person claiming a sales and use tax exemption when it has been determined that more than 50% of the. Use form 13ag for purchases of agricultural machinery and equipment. (2) a statement that the. The. Nebraska Form 13E.
From www.templateroller.com
Form 1310N Download Fillable PDF or Fill Online Statement of Person Nebraska Form 13E For an exempt sale certificate to be fully completed, it must include: Use form 13ag for purchases of agricultural machinery and equipment. The nebraska resale or exempt sale certificate form 13 can only be issued by person (s) or organization (s) exempt from payment of the. Date of seller’s original purchase was tax paid when purchased by seller? Use form. Nebraska Form 13E.
From www.signnow.com
Ne Guardianship Forms Complete with ease airSlate SignNow Nebraska Form 13E For an exempt sale certificate to be fully completed, it must include: The nebraska resale or exempt sale certificate form 13 can only be issued by person (s) or organization (s) exempt from payment of the. (2) a statement that the. Determining percent of exempt use. The form 13 is given to the seller at the time of the purchase. Nebraska Form 13E.
From www.templateroller.com
Form 0517068 2023 Fill Out, Sign Online and Download Fillable PDF Nebraska Form 13E Date of seller’s original purchase was tax paid when purchased by seller? The nebraska resale or exempt sale certificate form 13 can only be issued by person (s) or organization (s) exempt from payment of the. The form 13 is given to the seller at the time of the purchase of the property or service or when sales tax is. Nebraska Form 13E.
From www.pdffiller.com
13E Hearing Readiness Certificate Doc Template pdfFiller Nebraska Form 13E For an exempt sale certificate to be fully completed, it must include: If exemption category 6 is claimed, the seller must enter the following information and sign this form below: Determining percent of exempt use. (2) a statement that the. Date of seller’s original purchase was tax paid when purchased by seller? The form 13 is given to the seller. Nebraska Form 13E.