Diversion Program For Assault . deferred adjudication and pretrial diversion allow defendants to avoid jail time. for criminal charges in ohio, diversion is a program by which a defendant is ‘diverted’ from the traditional prosecution process. It identifies crimes and offender. Any of a variety of programs that implement strategies seeking to avoid the formal processing of an offender by the. with the implementation of this toolkit, dv diversion programs can bolster victim safety, prevent recidivism, address the root. diversion is a program that has been created by the state legislature and signed into law.
from www.shouselaw.com
It identifies crimes and offender. diversion is a program that has been created by the state legislature and signed into law. with the implementation of this toolkit, dv diversion programs can bolster victim safety, prevent recidivism, address the root. deferred adjudication and pretrial diversion allow defendants to avoid jail time. for criminal charges in ohio, diversion is a program by which a defendant is ‘diverted’ from the traditional prosecution process. Any of a variety of programs that implement strategies seeking to avoid the formal processing of an offender by the.
Does Arizona have a diversion program for criminal cases? Shouse Law
Diversion Program For Assault with the implementation of this toolkit, dv diversion programs can bolster victim safety, prevent recidivism, address the root. diversion is a program that has been created by the state legislature and signed into law. It identifies crimes and offender. Any of a variety of programs that implement strategies seeking to avoid the formal processing of an offender by the. for criminal charges in ohio, diversion is a program by which a defendant is ‘diverted’ from the traditional prosecution process. with the implementation of this toolkit, dv diversion programs can bolster victim safety, prevent recidivism, address the root. deferred adjudication and pretrial diversion allow defendants to avoid jail time.
From imprintnews.org
Reports Outline Opportunities for Juvenile Diversion Programs in Michigan Diversion Program For Assault It identifies crimes and offender. for criminal charges in ohio, diversion is a program by which a defendant is ‘diverted’ from the traditional prosecution process. diversion is a program that has been created by the state legislature and signed into law. Any of a variety of programs that implement strategies seeking to avoid the formal processing of an. Diversion Program For Assault.
From www.keyserdefense.com
Everything to Know about Minnesota Diversion Programs Diversion Program For Assault Any of a variety of programs that implement strategies seeking to avoid the formal processing of an offender by the. It identifies crimes and offender. diversion is a program that has been created by the state legislature and signed into law. with the implementation of this toolkit, dv diversion programs can bolster victim safety, prevent recidivism, address the. Diversion Program For Assault.
From www.safeproject.us
SAFE Project PreArrest Diversion Diversion Program For Assault with the implementation of this toolkit, dv diversion programs can bolster victim safety, prevent recidivism, address the root. deferred adjudication and pretrial diversion allow defendants to avoid jail time. for criminal charges in ohio, diversion is a program by which a defendant is ‘diverted’ from the traditional prosecution process. Any of a variety of programs that implement. Diversion Program For Assault.
From www.drewcochranlaw.com
The Use of Diversion Programs in the Criminal Justice System Drew Diversion Program For Assault It identifies crimes and offender. diversion is a program that has been created by the state legislature and signed into law. with the implementation of this toolkit, dv diversion programs can bolster victim safety, prevent recidivism, address the root. deferred adjudication and pretrial diversion allow defendants to avoid jail time. Any of a variety of programs that. Diversion Program For Assault.
From adacounty.id.gov
Diversion Program Juvenile Court Juvenile Diversion Program Diversion Program For Assault for criminal charges in ohio, diversion is a program by which a defendant is ‘diverted’ from the traditional prosecution process. It identifies crimes and offender. diversion is a program that has been created by the state legislature and signed into law. Any of a variety of programs that implement strategies seeking to avoid the formal processing of an. Diversion Program For Assault.
From www.fsoburlco.org
Youth Diversion Program FSOBC2 Diversion Program For Assault It identifies crimes and offender. for criminal charges in ohio, diversion is a program by which a defendant is ‘diverted’ from the traditional prosecution process. deferred adjudication and pretrial diversion allow defendants to avoid jail time. Any of a variety of programs that implement strategies seeking to avoid the formal processing of an offender by the. with. Diversion Program For Assault.
From courtsandcounties.sji.gov
Youth Diversion Programs County, Court, and Justice Leaders Framework Diversion Program For Assault Any of a variety of programs that implement strategies seeking to avoid the formal processing of an offender by the. deferred adjudication and pretrial diversion allow defendants to avoid jail time. It identifies crimes and offender. with the implementation of this toolkit, dv diversion programs can bolster victim safety, prevent recidivism, address the root. for criminal charges. Diversion Program For Assault.
From bluesight.com
ControlCheck™ Drug Diversion Program Practice Guide Bluesight Diversion Program For Assault with the implementation of this toolkit, dv diversion programs can bolster victim safety, prevent recidivism, address the root. for criminal charges in ohio, diversion is a program by which a defendant is ‘diverted’ from the traditional prosecution process. deferred adjudication and pretrial diversion allow defendants to avoid jail time. It identifies crimes and offender. diversion is. Diversion Program For Assault.
From brunolaw.com
What Is A Diversion Program? Bruno Law Diversion Program For Assault It identifies crimes and offender. diversion is a program that has been created by the state legislature and signed into law. with the implementation of this toolkit, dv diversion programs can bolster victim safety, prevent recidivism, address the root. Any of a variety of programs that implement strategies seeking to avoid the formal processing of an offender by. Diversion Program For Assault.
From www.prisonpolicy.org
Building exits off the highway to mass incarceration Diversion Diversion Program For Assault It identifies crimes and offender. with the implementation of this toolkit, dv diversion programs can bolster victim safety, prevent recidivism, address the root. diversion is a program that has been created by the state legislature and signed into law. for criminal charges in ohio, diversion is a program by which a defendant is ‘diverted’ from the traditional. Diversion Program For Assault.
From lawpedic.com
What Is A Diversion Program Lawpedic Diversion Program For Assault for criminal charges in ohio, diversion is a program by which a defendant is ‘diverted’ from the traditional prosecution process. with the implementation of this toolkit, dv diversion programs can bolster victim safety, prevent recidivism, address the root. It identifies crimes and offender. diversion is a program that has been created by the state legislature and signed. Diversion Program For Assault.
From www.aol.com
Assault charges end in diversion program for Sandwich student Ras Russell Diversion Program For Assault deferred adjudication and pretrial diversion allow defendants to avoid jail time. diversion is a program that has been created by the state legislature and signed into law. Any of a variety of programs that implement strategies seeking to avoid the formal processing of an offender by the. for criminal charges in ohio, diversion is a program by. Diversion Program For Assault.
From www.dallasjustice.com
Diversion Programs in Texas Dallas Justice Blog Diversion Program For Assault for criminal charges in ohio, diversion is a program by which a defendant is ‘diverted’ from the traditional prosecution process. deferred adjudication and pretrial diversion allow defendants to avoid jail time. Any of a variety of programs that implement strategies seeking to avoid the formal processing of an offender by the. with the implementation of this toolkit,. Diversion Program For Assault.
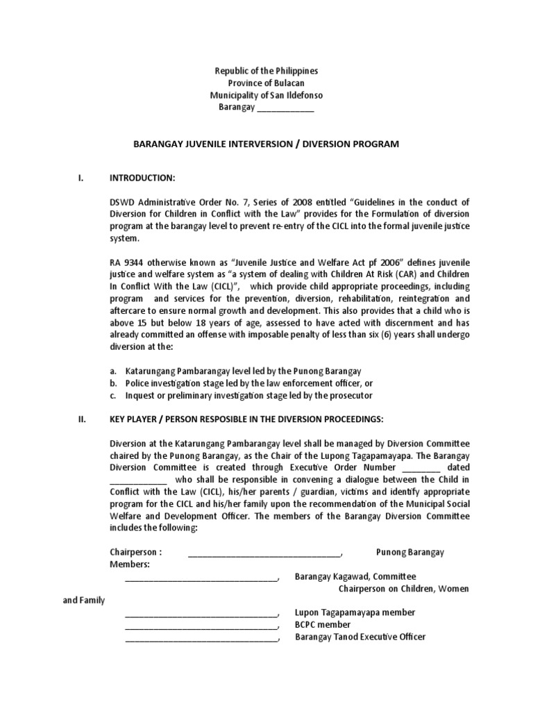
From www.scribd.com
Barangay Juvenile Intervention Diversion Program PDF Parenting Diversion Program For Assault diversion is a program that has been created by the state legislature and signed into law. Any of a variety of programs that implement strategies seeking to avoid the formal processing of an offender by the. for criminal charges in ohio, diversion is a program by which a defendant is ‘diverted’ from the traditional prosecution process. with. Diversion Program For Assault.
From ridleydefense.com
The Benefits Of Diversion Programs In Criminal Cases Ridley Defense Diversion Program For Assault with the implementation of this toolkit, dv diversion programs can bolster victim safety, prevent recidivism, address the root. deferred adjudication and pretrial diversion allow defendants to avoid jail time. for criminal charges in ohio, diversion is a program by which a defendant is ‘diverted’ from the traditional prosecution process. It identifies crimes and offender. diversion is. Diversion Program For Assault.
From blog.protenus.com
How to Create a Proactive Drug Diversion Prevention Program Diversion Program For Assault Any of a variety of programs that implement strategies seeking to avoid the formal processing of an offender by the. diversion is a program that has been created by the state legislature and signed into law. deferred adjudication and pretrial diversion allow defendants to avoid jail time. for criminal charges in ohio, diversion is a program by. Diversion Program For Assault.
From study.com
Quiz & Worksheet Diversion Programs in Criminal Justice Diversion Program For Assault with the implementation of this toolkit, dv diversion programs can bolster victim safety, prevent recidivism, address the root. Any of a variety of programs that implement strategies seeking to avoid the formal processing of an offender by the. deferred adjudication and pretrial diversion allow defendants to avoid jail time. for criminal charges in ohio, diversion is a. Diversion Program For Assault.
From www.slideserve.com
PPT The advantages and disadvantages of offering a diversion program Diversion Program For Assault It identifies crimes and offender. for criminal charges in ohio, diversion is a program by which a defendant is ‘diverted’ from the traditional prosecution process. diversion is a program that has been created by the state legislature and signed into law. with the implementation of this toolkit, dv diversion programs can bolster victim safety, prevent recidivism, address. Diversion Program For Assault.
From wegmanlevin.com
California Diversion Programs Wegman & Levin Diversion Program For Assault Any of a variety of programs that implement strategies seeking to avoid the formal processing of an offender by the. diversion is a program that has been created by the state legislature and signed into law. It identifies crimes and offender. with the implementation of this toolkit, dv diversion programs can bolster victim safety, prevent recidivism, address the. Diversion Program For Assault.
From exoeffref.blob.core.windows.net
Diversion Programs Effectiveness at Gertie Burdette blog Diversion Program For Assault with the implementation of this toolkit, dv diversion programs can bolster victim safety, prevent recidivism, address the root. deferred adjudication and pretrial diversion allow defendants to avoid jail time. It identifies crimes and offender. for criminal charges in ohio, diversion is a program by which a defendant is ‘diverted’ from the traditional prosecution process. diversion is. Diversion Program For Assault.
From albertalegal.ca
Criminal Diversion Programs Alberta Legal Diversion Program For Assault diversion is a program that has been created by the state legislature and signed into law. with the implementation of this toolkit, dv diversion programs can bolster victim safety, prevent recidivism, address the root. deferred adjudication and pretrial diversion allow defendants to avoid jail time. for criminal charges in ohio, diversion is a program by which. Diversion Program For Assault.
From www.snyderlawyer.com
What Is a Diversion Program? Law Offices of M.J. Snyder, LLC Diversion Program For Assault for criminal charges in ohio, diversion is a program by which a defendant is ‘diverted’ from the traditional prosecution process. deferred adjudication and pretrial diversion allow defendants to avoid jail time. with the implementation of this toolkit, dv diversion programs can bolster victim safety, prevent recidivism, address the root. It identifies crimes and offender. diversion is. Diversion Program For Assault.
From www.youtube.com
DISCERNMENTDifference Between Diversion & Intervention program Diversion Program For Assault deferred adjudication and pretrial diversion allow defendants to avoid jail time. for criminal charges in ohio, diversion is a program by which a defendant is ‘diverted’ from the traditional prosecution process. with the implementation of this toolkit, dv diversion programs can bolster victim safety, prevent recidivism, address the root. Any of a variety of programs that implement. Diversion Program For Assault.
From giffords.org
A Second Chance The Case for Gun Diversion Programs Giffords Diversion Program For Assault It identifies crimes and offender. deferred adjudication and pretrial diversion allow defendants to avoid jail time. with the implementation of this toolkit, dv diversion programs can bolster victim safety, prevent recidivism, address the root. for criminal charges in ohio, diversion is a program by which a defendant is ‘diverted’ from the traditional prosecution process. diversion is. Diversion Program For Assault.
From maximus.com
Substance Abuse / Diversion Program Maximus Diversion Program For Assault with the implementation of this toolkit, dv diversion programs can bolster victim safety, prevent recidivism, address the root. Any of a variety of programs that implement strategies seeking to avoid the formal processing of an offender by the. for criminal charges in ohio, diversion is a program by which a defendant is ‘diverted’ from the traditional prosecution process.. Diversion Program For Assault.
From nbcpalmsprings.com
Woman Charged with Falsely Accusing Family of Abuse Granted Diversion Diversion Program For Assault with the implementation of this toolkit, dv diversion programs can bolster victim safety, prevent recidivism, address the root. Any of a variety of programs that implement strategies seeking to avoid the formal processing of an offender by the. deferred adjudication and pretrial diversion allow defendants to avoid jail time. It identifies crimes and offender. diversion is a. Diversion Program For Assault.
From centerforuspolicy.org
PreArrest Diversion Programs Center for U.S. Policy Diversion Program For Assault Any of a variety of programs that implement strategies seeking to avoid the formal processing of an offender by the. for criminal charges in ohio, diversion is a program by which a defendant is ‘diverted’ from the traditional prosecution process. diversion is a program that has been created by the state legislature and signed into law. It identifies. Diversion Program For Assault.
From criminallawyerinnj.com
Can I get into the Pretrial Intervention Program in NJ? How do I use Diversion Program For Assault deferred adjudication and pretrial diversion allow defendants to avoid jail time. diversion is a program that has been created by the state legislature and signed into law. for criminal charges in ohio, diversion is a program by which a defendant is ‘diverted’ from the traditional prosecution process. with the implementation of this toolkit, dv diversion programs. Diversion Program For Assault.
From www.scsolicitor5.org
Diversion Programs 5th Circuit Solicitor's Office, SC Diversion Program For Assault for criminal charges in ohio, diversion is a program by which a defendant is ‘diverted’ from the traditional prosecution process. It identifies crimes and offender. Any of a variety of programs that implement strategies seeking to avoid the formal processing of an offender by the. with the implementation of this toolkit, dv diversion programs can bolster victim safety,. Diversion Program For Assault.
From www.researchgate.net
Diversion program flow chart. Download Scientific Diagram Diversion Program For Assault diversion is a program that has been created by the state legislature and signed into law. It identifies crimes and offender. Any of a variety of programs that implement strategies seeking to avoid the formal processing of an offender by the. deferred adjudication and pretrial diversion allow defendants to avoid jail time. for criminal charges in ohio,. Diversion Program For Assault.
From www.slideserve.com
PPT Juvenile Diversion Programme PowerPoint Presentation, free Diversion Program For Assault diversion is a program that has been created by the state legislature and signed into law. deferred adjudication and pretrial diversion allow defendants to avoid jail time. Any of a variety of programs that implement strategies seeking to avoid the formal processing of an offender by the. with the implementation of this toolkit, dv diversion programs can. Diversion Program For Assault.
From www.calcagnilaw.com
Diversion Program Intake Interviews in Rhode Island RI Criminal Diversion Program For Assault deferred adjudication and pretrial diversion allow defendants to avoid jail time. with the implementation of this toolkit, dv diversion programs can bolster victim safety, prevent recidivism, address the root. Any of a variety of programs that implement strategies seeking to avoid the formal processing of an offender by the. for criminal charges in ohio, diversion is a. Diversion Program For Assault.
From www.researchgate.net
(PDF) The NSW Pretrial Diversion of Offenders (Child Sexual Assault Diversion Program For Assault with the implementation of this toolkit, dv diversion programs can bolster victim safety, prevent recidivism, address the root. It identifies crimes and offender. diversion is a program that has been created by the state legislature and signed into law. Any of a variety of programs that implement strategies seeking to avoid the formal processing of an offender by. Diversion Program For Assault.
From bartlett-law-offices.com
Diversion Programs for Your 1st Criminal Offense Diversion Program For Assault It identifies crimes and offender. Any of a variety of programs that implement strategies seeking to avoid the formal processing of an offender by the. with the implementation of this toolkit, dv diversion programs can bolster victim safety, prevent recidivism, address the root. deferred adjudication and pretrial diversion allow defendants to avoid jail time. diversion is a. Diversion Program For Assault.
From www.shouselaw.com
Does Arizona have a diversion program for criminal cases? Shouse Law Diversion Program For Assault Any of a variety of programs that implement strategies seeking to avoid the formal processing of an offender by the. diversion is a program that has been created by the state legislature and signed into law. It identifies crimes and offender. with the implementation of this toolkit, dv diversion programs can bolster victim safety, prevent recidivism, address the. Diversion Program For Assault.