Oxygen Chlorine Empirical Formula . A 3.25 g sample gives. You should list percentage by mass of carbon, oxygen, and chlorine. an empirical formula tells us the relative ratios of different atoms in a compound. A compound containing sodium, chlorine, and oxygen is 25.42% sodium by mass. The ratios hold true on the. the chemical formula for a compound obtained by composition analysis is always the empirical formula. molecular formulas are derived by comparing the compound’s molecular or molar mass to its empirical formula mass. A sample of a compound formed in the reaction was found to contain 10.8 g of. how to find the empirical formula for 3.01% carbon, 17.81% chlorine, 4% oxygen. chlorine reacts with hot sodium hydroxide solution. Finding the empirical formula of a substance with.
from www.numerade.com
The ratios hold true on the. Finding the empirical formula of a substance with. molecular formulas are derived by comparing the compound’s molecular or molar mass to its empirical formula mass. an empirical formula tells us the relative ratios of different atoms in a compound. A compound containing sodium, chlorine, and oxygen is 25.42% sodium by mass. You should list percentage by mass of carbon, oxygen, and chlorine. the chemical formula for a compound obtained by composition analysis is always the empirical formula. A 3.25 g sample gives. chlorine reacts with hot sodium hydroxide solution. how to find the empirical formula for 3.01% carbon, 17.81% chlorine, 4% oxygen.
SOLVED QUESTION 2 by mass. And the molar mass 184 contains 69.695
Oxygen Chlorine Empirical Formula an empirical formula tells us the relative ratios of different atoms in a compound. an empirical formula tells us the relative ratios of different atoms in a compound. molecular formulas are derived by comparing the compound’s molecular or molar mass to its empirical formula mass. Finding the empirical formula of a substance with. the chemical formula for a compound obtained by composition analysis is always the empirical formula. chlorine reacts with hot sodium hydroxide solution. A compound containing sodium, chlorine, and oxygen is 25.42% sodium by mass. A sample of a compound formed in the reaction was found to contain 10.8 g of. A 3.25 g sample gives. The ratios hold true on the. You should list percentage by mass of carbon, oxygen, and chlorine. how to find the empirical formula for 3.01% carbon, 17.81% chlorine, 4% oxygen.
From www.numerade.com
SOLVED QUESTION 2 by mass. And the molar mass 184 contains 69.695 Oxygen Chlorine Empirical Formula chlorine reacts with hot sodium hydroxide solution. an empirical formula tells us the relative ratios of different atoms in a compound. A 3.25 g sample gives. You should list percentage by mass of carbon, oxygen, and chlorine. Finding the empirical formula of a substance with. A compound containing sodium, chlorine, and oxygen is 25.42% sodium by mass. . Oxygen Chlorine Empirical Formula.
From www.youtube.com
How to Find the Empirical Formula of a Compound YouTube Oxygen Chlorine Empirical Formula molecular formulas are derived by comparing the compound’s molecular or molar mass to its empirical formula mass. chlorine reacts with hot sodium hydroxide solution. A sample of a compound formed in the reaction was found to contain 10.8 g of. Finding the empirical formula of a substance with. A 3.25 g sample gives. You should list percentage by. Oxygen Chlorine Empirical Formula.
From www.numerade.com
SOLVED Decide whether each pair of elements in the table below will Oxygen Chlorine Empirical Formula an empirical formula tells us the relative ratios of different atoms in a compound. Finding the empirical formula of a substance with. how to find the empirical formula for 3.01% carbon, 17.81% chlorine, 4% oxygen. chlorine reacts with hot sodium hydroxide solution. A compound containing sodium, chlorine, and oxygen is 25.42% sodium by mass. the chemical. Oxygen Chlorine Empirical Formula.
From www.chegg.com
Solved A 11.50 g sample of a compound contains 3.67 g of Oxygen Chlorine Empirical Formula chlorine reacts with hot sodium hydroxide solution. You should list percentage by mass of carbon, oxygen, and chlorine. the chemical formula for a compound obtained by composition analysis is always the empirical formula. A sample of a compound formed in the reaction was found to contain 10.8 g of. how to find the empirical formula for 3.01%. Oxygen Chlorine Empirical Formula.
From www.numerade.com
SOLVED A compound contains sulfur, oxygen, and chlorine. Analysis Oxygen Chlorine Empirical Formula chlorine reacts with hot sodium hydroxide solution. molecular formulas are derived by comparing the compound’s molecular or molar mass to its empirical formula mass. how to find the empirical formula for 3.01% carbon, 17.81% chlorine, 4% oxygen. A compound containing sodium, chlorine, and oxygen is 25.42% sodium by mass. The ratios hold true on the. A sample. Oxygen Chlorine Empirical Formula.
From geteducationbee.com
Empirical Formula Definition, Calculator, Best Examples Get Education Bee Oxygen Chlorine Empirical Formula chlorine reacts with hot sodium hydroxide solution. molecular formulas are derived by comparing the compound’s molecular or molar mass to its empirical formula mass. A sample of a compound formed in the reaction was found to contain 10.8 g of. how to find the empirical formula for 3.01% carbon, 17.81% chlorine, 4% oxygen. the chemical formula. Oxygen Chlorine Empirical Formula.
From www.numerade.com
SOLVED 'Decide whether each pair of elements in the table below will Oxygen Chlorine Empirical Formula You should list percentage by mass of carbon, oxygen, and chlorine. A sample of a compound formed in the reaction was found to contain 10.8 g of. how to find the empirical formula for 3.01% carbon, 17.81% chlorine, 4% oxygen. A 3.25 g sample gives. The ratios hold true on the. the chemical formula for a compound obtained. Oxygen Chlorine Empirical Formula.
From preparatorychemistry.com
Combustion Analysis Oxygen Chlorine Empirical Formula A 3.25 g sample gives. A compound containing sodium, chlorine, and oxygen is 25.42% sodium by mass. an empirical formula tells us the relative ratios of different atoms in a compound. You should list percentage by mass of carbon, oxygen, and chlorine. how to find the empirical formula for 3.01% carbon, 17.81% chlorine, 4% oxygen. Finding the empirical. Oxygen Chlorine Empirical Formula.
From ar.inspiredpencil.com
Structural Formula Of Oxygen Oxygen Chlorine Empirical Formula an empirical formula tells us the relative ratios of different atoms in a compound. molecular formulas are derived by comparing the compound’s molecular or molar mass to its empirical formula mass. A 3.25 g sample gives. how to find the empirical formula for 3.01% carbon, 17.81% chlorine, 4% oxygen. Finding the empirical formula of a substance with.. Oxygen Chlorine Empirical Formula.
From www.slideserve.com
PPT Empirical Formula PowerPoint Presentation, free download ID339726 Oxygen Chlorine Empirical Formula chlorine reacts with hot sodium hydroxide solution. an empirical formula tells us the relative ratios of different atoms in a compound. Finding the empirical formula of a substance with. the chemical formula for a compound obtained by composition analysis is always the empirical formula. A compound containing sodium, chlorine, and oxygen is 25.42% sodium by mass. . Oxygen Chlorine Empirical Formula.
From www.youtube.com
CHEMICAL BONDING AND FORMULAS OF CHLORINE AND OXYGENscience college Oxygen Chlorine Empirical Formula You should list percentage by mass of carbon, oxygen, and chlorine. chlorine reacts with hot sodium hydroxide solution. how to find the empirical formula for 3.01% carbon, 17.81% chlorine, 4% oxygen. an empirical formula tells us the relative ratios of different atoms in a compound. the chemical formula for a compound obtained by composition analysis is. Oxygen Chlorine Empirical Formula.
From www.numerade.com
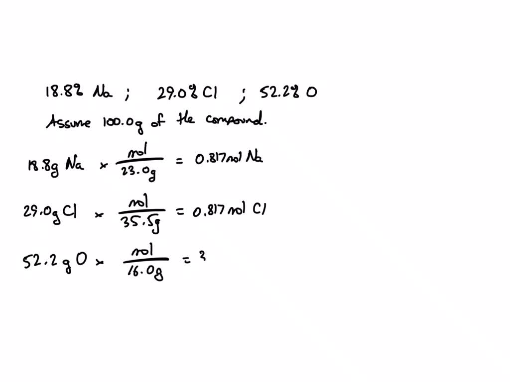
SOLVED A compound is made up of Sodium (Na), Chlorine (Cl) and Oxygen Oxygen Chlorine Empirical Formula the chemical formula for a compound obtained by composition analysis is always the empirical formula. molecular formulas are derived by comparing the compound’s molecular or molar mass to its empirical formula mass. Finding the empirical formula of a substance with. chlorine reacts with hot sodium hydroxide solution. A 3.25 g sample gives. The ratios hold true on. Oxygen Chlorine Empirical Formula.
From www.quora.com
What is the formula for oxygen chloride? How is this formula determined Oxygen Chlorine Empirical Formula an empirical formula tells us the relative ratios of different atoms in a compound. You should list percentage by mass of carbon, oxygen, and chlorine. chlorine reacts with hot sodium hydroxide solution. A compound containing sodium, chlorine, and oxygen is 25.42% sodium by mass. A 3.25 g sample gives. The ratios hold true on the. molecular formulas. Oxygen Chlorine Empirical Formula.
From www.youtube.com
How to Balance Cl2 + H2O = HCl + O2 (Chlorine gas + Water) YouTube Oxygen Chlorine Empirical Formula You should list percentage by mass of carbon, oxygen, and chlorine. A compound containing sodium, chlorine, and oxygen is 25.42% sodium by mass. Finding the empirical formula of a substance with. The ratios hold true on the. an empirical formula tells us the relative ratios of different atoms in a compound. chlorine reacts with hot sodium hydroxide solution.. Oxygen Chlorine Empirical Formula.
From www.numerade.com
SOLVED The drawing below shows mixture of molecules key carbon Oxygen Chlorine Empirical Formula the chemical formula for a compound obtained by composition analysis is always the empirical formula. chlorine reacts with hot sodium hydroxide solution. how to find the empirical formula for 3.01% carbon, 17.81% chlorine, 4% oxygen. A 3.25 g sample gives. A compound containing sodium, chlorine, and oxygen is 25.42% sodium by mass. A sample of a compound. Oxygen Chlorine Empirical Formula.
From exobbjxou.blob.core.windows.net
Chlorine Oxide Chemical Formula at Shirley Becnel blog Oxygen Chlorine Empirical Formula You should list percentage by mass of carbon, oxygen, and chlorine. the chemical formula for a compound obtained by composition analysis is always the empirical formula. A 3.25 g sample gives. molecular formulas are derived by comparing the compound’s molecular or molar mass to its empirical formula mass. A sample of a compound formed in the reaction was. Oxygen Chlorine Empirical Formula.
From www.numerade.com
SOLVED Forms ionic compound? empirical formula of ionic compound Oxygen Chlorine Empirical Formula The ratios hold true on the. the chemical formula for a compound obtained by composition analysis is always the empirical formula. molecular formulas are derived by comparing the compound’s molecular or molar mass to its empirical formula mass. an empirical formula tells us the relative ratios of different atoms in a compound. chlorine reacts with hot. Oxygen Chlorine Empirical Formula.
From www.slideserve.com
PPT Empirical and Molecular Formulas PowerPoint Presentation, free Oxygen Chlorine Empirical Formula The ratios hold true on the. Finding the empirical formula of a substance with. A compound containing sodium, chlorine, and oxygen is 25.42% sodium by mass. chlorine reacts with hot sodium hydroxide solution. A 3.25 g sample gives. an empirical formula tells us the relative ratios of different atoms in a compound. molecular formulas are derived by. Oxygen Chlorine Empirical Formula.
From www.numerade.com
Predict the empirical formulas of the ionic compounds formed from the Oxygen Chlorine Empirical Formula molecular formulas are derived by comparing the compound’s molecular or molar mass to its empirical formula mass. chlorine reacts with hot sodium hydroxide solution. an empirical formula tells us the relative ratios of different atoms in a compound. Finding the empirical formula of a substance with. A sample of a compound formed in the reaction was found. Oxygen Chlorine Empirical Formula.
From classmediaackunendingly.z13.web.core.windows.net
How To Write Molecular And Empirical Formulas Oxygen Chlorine Empirical Formula You should list percentage by mass of carbon, oxygen, and chlorine. A sample of a compound formed in the reaction was found to contain 10.8 g of. molecular formulas are derived by comparing the compound’s molecular or molar mass to its empirical formula mass. A 3.25 g sample gives. how to find the empirical formula for 3.01% carbon,. Oxygen Chlorine Empirical Formula.
From www.numerade.com
SOLVED Text Decide whether each pair of elements in the table below Oxygen Chlorine Empirical Formula A 3.25 g sample gives. You should list percentage by mass of carbon, oxygen, and chlorine. The ratios hold true on the. chlorine reacts with hot sodium hydroxide solution. Finding the empirical formula of a substance with. how to find the empirical formula for 3.01% carbon, 17.81% chlorine, 4% oxygen. molecular formulas are derived by comparing the. Oxygen Chlorine Empirical Formula.
From www.sliderbase.com
Percent Composition, Empirical and Molecular Formulas Presentation Oxygen Chlorine Empirical Formula how to find the empirical formula for 3.01% carbon, 17.81% chlorine, 4% oxygen. A sample of a compound formed in the reaction was found to contain 10.8 g of. the chemical formula for a compound obtained by composition analysis is always the empirical formula. molecular formulas are derived by comparing the compound’s molecular or molar mass to. Oxygen Chlorine Empirical Formula.
From www.numerade.com
SOLVED Molecular Chlorine, Oxygen and Nitrogen Draw the Lewis dot Oxygen Chlorine Empirical Formula molecular formulas are derived by comparing the compound’s molecular or molar mass to its empirical formula mass. the chemical formula for a compound obtained by composition analysis is always the empirical formula. You should list percentage by mass of carbon, oxygen, and chlorine. how to find the empirical formula for 3.01% carbon, 17.81% chlorine, 4% oxygen. Finding. Oxygen Chlorine Empirical Formula.
From exofltpju.blob.core.windows.net
Cesium Chlorine Empirical Formula at Karen Coulson blog Oxygen Chlorine Empirical Formula A 3.25 g sample gives. Finding the empirical formula of a substance with. A sample of a compound formed in the reaction was found to contain 10.8 g of. The ratios hold true on the. an empirical formula tells us the relative ratios of different atoms in a compound. the chemical formula for a compound obtained by composition. Oxygen Chlorine Empirical Formula.
From lessonschoolallodial.z13.web.core.windows.net
How To Figure Out The Empirical Rule Oxygen Chlorine Empirical Formula Finding the empirical formula of a substance with. A 3.25 g sample gives. You should list percentage by mass of carbon, oxygen, and chlorine. chlorine reacts with hot sodium hydroxide solution. an empirical formula tells us the relative ratios of different atoms in a compound. The ratios hold true on the. A compound containing sodium, chlorine, and oxygen. Oxygen Chlorine Empirical Formula.
From geteducationbee.com
Empirical Formula Definition, Calculator, Best Examples Get Education Bee Oxygen Chlorine Empirical Formula chlorine reacts with hot sodium hydroxide solution. the chemical formula for a compound obtained by composition analysis is always the empirical formula. molecular formulas are derived by comparing the compound’s molecular or molar mass to its empirical formula mass. A 3.25 g sample gives. A compound containing sodium, chlorine, and oxygen is 25.42% sodium by mass. You. Oxygen Chlorine Empirical Formula.
From www.youtube.com
OXIDES AND OXYACIDS OF CHLORINE YouTube Oxygen Chlorine Empirical Formula the chemical formula for a compound obtained by composition analysis is always the empirical formula. an empirical formula tells us the relative ratios of different atoms in a compound. A compound containing sodium, chlorine, and oxygen is 25.42% sodium by mass. how to find the empirical formula for 3.01% carbon, 17.81% chlorine, 4% oxygen. Finding the empirical. Oxygen Chlorine Empirical Formula.
From www.numerade.com
SOLVED The drawing below shows a mixture of molecules key carbon Oxygen Chlorine Empirical Formula The ratios hold true on the. chlorine reacts with hot sodium hydroxide solution. A sample of a compound formed in the reaction was found to contain 10.8 g of. You should list percentage by mass of carbon, oxygen, and chlorine. an empirical formula tells us the relative ratios of different atoms in a compound. A compound containing sodium,. Oxygen Chlorine Empirical Formula.
From ar.inspiredpencil.com
Structural Formula Of Oxygen Oxygen Chlorine Empirical Formula molecular formulas are derived by comparing the compound’s molecular or molar mass to its empirical formula mass. A sample of a compound formed in the reaction was found to contain 10.8 g of. Finding the empirical formula of a substance with. A compound containing sodium, chlorine, and oxygen is 25.42% sodium by mass. You should list percentage by mass. Oxygen Chlorine Empirical Formula.
From www.youtube.com
Empirical Formula from Combustion Analysis (Example) YouTube Oxygen Chlorine Empirical Formula chlorine reacts with hot sodium hydroxide solution. Finding the empirical formula of a substance with. The ratios hold true on the. how to find the empirical formula for 3.01% carbon, 17.81% chlorine, 4% oxygen. A compound containing sodium, chlorine, and oxygen is 25.42% sodium by mass. You should list percentage by mass of carbon, oxygen, and chlorine. A. Oxygen Chlorine Empirical Formula.
From www.numerade.com
SOLVEDFind the empirical formula of the following compounds (a) 0.063 Oxygen Chlorine Empirical Formula A compound containing sodium, chlorine, and oxygen is 25.42% sodium by mass. an empirical formula tells us the relative ratios of different atoms in a compound. chlorine reacts with hot sodium hydroxide solution. Finding the empirical formula of a substance with. You should list percentage by mass of carbon, oxygen, and chlorine. molecular formulas are derived by. Oxygen Chlorine Empirical Formula.
From studylib.net
empirical formula Oxygen Chlorine Empirical Formula the chemical formula for a compound obtained by composition analysis is always the empirical formula. an empirical formula tells us the relative ratios of different atoms in a compound. The ratios hold true on the. You should list percentage by mass of carbon, oxygen, and chlorine. molecular formulas are derived by comparing the compound’s molecular or molar. Oxygen Chlorine Empirical Formula.
From womackthille.blogspot.com
Expanded Electron Configuration of Chlorine Womack Thille Oxygen Chlorine Empirical Formula A sample of a compound formed in the reaction was found to contain 10.8 g of. A 3.25 g sample gives. Finding the empirical formula of a substance with. You should list percentage by mass of carbon, oxygen, and chlorine. an empirical formula tells us the relative ratios of different atoms in a compound. chlorine reacts with hot. Oxygen Chlorine Empirical Formula.
From solvedlib.com
Calculate the empirical formula of a compound contain… SolvedLib Oxygen Chlorine Empirical Formula A sample of a compound formed in the reaction was found to contain 10.8 g of. Finding the empirical formula of a substance with. the chemical formula for a compound obtained by composition analysis is always the empirical formula. chlorine reacts with hot sodium hydroxide solution. molecular formulas are derived by comparing the compound’s molecular or molar. Oxygen Chlorine Empirical Formula.
From www.numerade.com
SOLVED Hydrogen chloride gas and oxygen react to form water vapor and Oxygen Chlorine Empirical Formula chlorine reacts with hot sodium hydroxide solution. A 3.25 g sample gives. The ratios hold true on the. molecular formulas are derived by comparing the compound’s molecular or molar mass to its empirical formula mass. an empirical formula tells us the relative ratios of different atoms in a compound. A compound containing sodium, chlorine, and oxygen is. Oxygen Chlorine Empirical Formula.