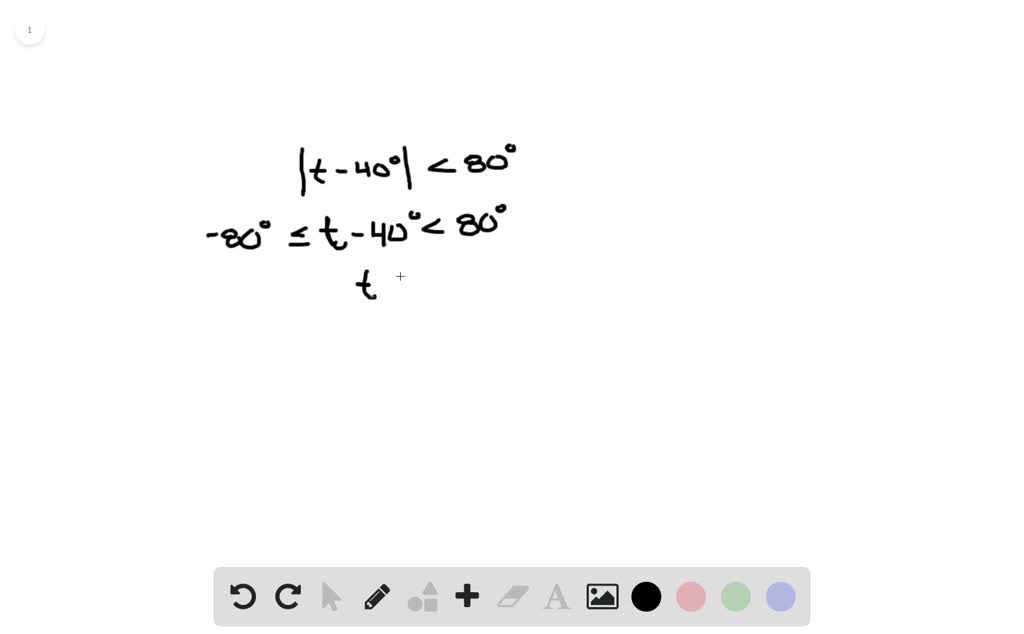
A Car Cd Player Has An Operating Temperature . Express this range without using. That means the temperature can. The car cd player's operating temperature, expressed without absolute value symbols, is any temperature less than 117. A car cd player has an operating temperature of |t − 35\deg | < 75\deg , where t is the temperature in degrees fahrenheit. Express this range without using. The everyday meaning of is that the difference between the temperature t and 44 degrees is less than 78 degrees. Your solution’s ready to go!
from www.instructables.com
Express this range without using. Your solution’s ready to go! Express this range without using. A car cd player has an operating temperature of |t − 35\deg | < 75\deg , where t is the temperature in degrees fahrenheit. That means the temperature can. The car cd player's operating temperature, expressed without absolute value symbols, is any temperature less than 117. The everyday meaning of is that the difference between the temperature t and 44 degrees is less than 78 degrees.
How to Connect Your Mp3 or Ipod on a Car Cdplayer. 6 Steps (with
A Car Cd Player Has An Operating Temperature Your solution’s ready to go! Express this range without using. Express this range without using. A car cd player has an operating temperature of |t − 35\deg | < 75\deg , where t is the temperature in degrees fahrenheit. That means the temperature can. The everyday meaning of is that the difference between the temperature t and 44 degrees is less than 78 degrees. Your solution’s ready to go! The car cd player's operating temperature, expressed without absolute value symbols, is any temperature less than 117.
From schematron.org
Unveiling the Inner Workings of Sony's Car CD Player A Wiring Diagram A Car Cd Player Has An Operating Temperature A car cd player has an operating temperature of |t − 35\deg | < 75\deg , where t is the temperature in degrees fahrenheit. Express this range without using. The everyday meaning of is that the difference between the temperature t and 44 degrees is less than 78 degrees. The car cd player's operating temperature, expressed without absolute value symbols,. A Car Cd Player Has An Operating Temperature.
From www.lazada.co.th
1DIN Car Stereo MP3 Player USB/ AUX in Charging with Clock and A Car Cd Player Has An Operating Temperature The everyday meaning of is that the difference between the temperature t and 44 degrees is less than 78 degrees. A car cd player has an operating temperature of |t − 35\deg | < 75\deg , where t is the temperature in degrees fahrenheit. That means the temperature can. Express this range without using. Your solution’s ready to go! The. A Car Cd Player Has An Operating Temperature.
From www.instructables.com
How to Connect Your Mp3 or Ipod on a Car Cdplayer. 6 Steps (with A Car Cd Player Has An Operating Temperature The everyday meaning of is that the difference between the temperature t and 44 degrees is less than 78 degrees. The car cd player's operating temperature, expressed without absolute value symbols, is any temperature less than 117. Your solution’s ready to go! Express this range without using. Express this range without using. A car cd player has an operating temperature. A Car Cd Player Has An Operating Temperature.
From www.amazon.ca
USB Portable CD Player for Car Universal External Car CD Player USB DVD A Car Cd Player Has An Operating Temperature That means the temperature can. A car cd player has an operating temperature of |t − 35\deg | < 75\deg , where t is the temperature in degrees fahrenheit. The car cd player's operating temperature, expressed without absolute value symbols, is any temperature less than 117. Express this range without using. Your solution’s ready to go! Express this range without. A Car Cd Player Has An Operating Temperature.
From garagesmalltroupers.z21.web.core.windows.net
Car Cd Player Installation Kits A Car Cd Player Has An Operating Temperature Express this range without using. Your solution’s ready to go! That means the temperature can. A car cd player has an operating temperature of |t − 35\deg | < 75\deg , where t is the temperature in degrees fahrenheit. The car cd player's operating temperature, expressed without absolute value symbols, is any temperature less than 117. Express this range without. A Car Cd Player Has An Operating Temperature.
From www.lcdtek.co.uk
7" IPS Wide Operating Temperature TFT displays with 500cd/m2 luminance A Car Cd Player Has An Operating Temperature Express this range without using. A car cd player has an operating temperature of |t − 35\deg | < 75\deg , where t is the temperature in degrees fahrenheit. Express this range without using. Your solution’s ready to go! That means the temperature can. The everyday meaning of is that the difference between the temperature t and 44 degrees is. A Car Cd Player Has An Operating Temperature.
From elecschem.com
How to Properly Wire a Car CD Player A StepbyStep Guide A Car Cd Player Has An Operating Temperature The everyday meaning of is that the difference between the temperature t and 44 degrees is less than 78 degrees. Express this range without using. A car cd player has an operating temperature of |t − 35\deg | < 75\deg , where t is the temperature in degrees fahrenheit. The car cd player's operating temperature, expressed without absolute value symbols,. A Car Cd Player Has An Operating Temperature.
From giobggwan.blob.core.windows.net
How To Clean Your Car Cd Player at Michael Hummel blog A Car Cd Player Has An Operating Temperature That means the temperature can. Express this range without using. Your solution’s ready to go! Express this range without using. The car cd player's operating temperature, expressed without absolute value symbols, is any temperature less than 117. A car cd player has an operating temperature of |t − 35\deg | < 75\deg , where t is the temperature in degrees. A Car Cd Player Has An Operating Temperature.
From diyquickly.com
How to Fix a Car CD Player That Won't Load or Eject Discs (2024) A Car Cd Player Has An Operating Temperature Your solution’s ready to go! That means the temperature can. A car cd player has an operating temperature of |t − 35\deg | < 75\deg , where t is the temperature in degrees fahrenheit. Express this range without using. The car cd player's operating temperature, expressed without absolute value symbols, is any temperature less than 117. The everyday meaning of. A Car Cd Player Has An Operating Temperature.
From www.lovetoknow.com
How to Fix a Car CD Player LoveToKnow A Car Cd Player Has An Operating Temperature The everyday meaning of is that the difference between the temperature t and 44 degrees is less than 78 degrees. The car cd player's operating temperature, expressed without absolute value symbols, is any temperature less than 117. Express this range without using. Your solution’s ready to go! A car cd player has an operating temperature of |t − 35\deg |. A Car Cd Player Has An Operating Temperature.
From exohonssj.blob.core.windows.net
Temperature Gauge Car Do at Quesinberry blog A Car Cd Player Has An Operating Temperature Express this range without using. Your solution’s ready to go! The everyday meaning of is that the difference between the temperature t and 44 degrees is less than 78 degrees. The car cd player's operating temperature, expressed without absolute value symbols, is any temperature less than 117. A car cd player has an operating temperature of |t − 35\deg |. A Car Cd Player Has An Operating Temperature.
From www.amazon.de
POSSPO Jupiter CDDVDPlayer für Auto mit USBAnschluss, AUXAnschluss A Car Cd Player Has An Operating Temperature That means the temperature can. Express this range without using. The car cd player's operating temperature, expressed without absolute value symbols, is any temperature less than 117. The everyday meaning of is that the difference between the temperature t and 44 degrees is less than 78 degrees. Express this range without using. A car cd player has an operating temperature. A Car Cd Player Has An Operating Temperature.
From spencertified.com
Panasonic SLS361C SXBS Portable and Car CD Player A Car Cd Player Has An Operating Temperature Express this range without using. The everyday meaning of is that the difference between the temperature t and 44 degrees is less than 78 degrees. Your solution’s ready to go! A car cd player has an operating temperature of |t − 35\deg | < 75\deg , where t is the temperature in degrees fahrenheit. Express this range without using. The. A Car Cd Player Has An Operating Temperature.
From www.numerade.com
⏩SOLVEDA car CD player has an operating temperature of… Numerade A Car Cd Player Has An Operating Temperature The car cd player's operating temperature, expressed without absolute value symbols, is any temperature less than 117. Express this range without using. That means the temperature can. The everyday meaning of is that the difference between the temperature t and 44 degrees is less than 78 degrees. A car cd player has an operating temperature of |t − 35\deg |. A Car Cd Player Has An Operating Temperature.
From www.yourmechanic.com
How to Remove a CD Jammed in a Car Player YourMechanic Advice A Car Cd Player Has An Operating Temperature Express this range without using. A car cd player has an operating temperature of |t − 35\deg | < 75\deg , where t is the temperature in degrees fahrenheit. The everyday meaning of is that the difference between the temperature t and 44 degrees is less than 78 degrees. That means the temperature can. Your solution’s ready to go! Express. A Car Cd Player Has An Operating Temperature.
From www.youtube.com
Top 10 Best Portable Car CD Player YouTube A Car Cd Player Has An Operating Temperature Express this range without using. Your solution’s ready to go! The car cd player's operating temperature, expressed without absolute value symbols, is any temperature less than 117. That means the temperature can. The everyday meaning of is that the difference between the temperature t and 44 degrees is less than 78 degrees. A car cd player has an operating temperature. A Car Cd Player Has An Operating Temperature.
From www.numerade.com
SOLVEDA car CD player has an operating temperature of \leftt40 A Car Cd Player Has An Operating Temperature That means the temperature can. Express this range without using. The everyday meaning of is that the difference between the temperature t and 44 degrees is less than 78 degrees. The car cd player's operating temperature, expressed without absolute value symbols, is any temperature less than 117. Express this range without using. Your solution’s ready to go! A car cd. A Car Cd Player Has An Operating Temperature.
From nzl.grandado.com
8169A Car Stereo CD VCD DVD Player Bluetooth FM Ra... Grandado A Car Cd Player Has An Operating Temperature Your solution’s ready to go! That means the temperature can. Express this range without using. The car cd player's operating temperature, expressed without absolute value symbols, is any temperature less than 117. A car cd player has an operating temperature of |t − 35\deg | < 75\deg , where t is the temperature in degrees fahrenheit. The everyday meaning of. A Car Cd Player Has An Operating Temperature.
From schematron.org
Unveiling the Inner Workings of Sony's Car CD Player A Wiring Diagram A Car Cd Player Has An Operating Temperature A car cd player has an operating temperature of |t − 35\deg | < 75\deg , where t is the temperature in degrees fahrenheit. The car cd player's operating temperature, expressed without absolute value symbols, is any temperature less than 117. Your solution’s ready to go! That means the temperature can. Express this range without using. The everyday meaning of. A Car Cd Player Has An Operating Temperature.
From classiccarwalls.blogspot.com
How To Remove A Cd Jammed In A Car Player Classic Car Walls A Car Cd Player Has An Operating Temperature Express this range without using. That means the temperature can. Your solution’s ready to go! The everyday meaning of is that the difference between the temperature t and 44 degrees is less than 78 degrees. A car cd player has an operating temperature of |t − 35\deg | < 75\deg , where t is the temperature in degrees fahrenheit. The. A Car Cd Player Has An Operating Temperature.
From www.topgear.com.ph
Aftermarket Car Stereo History A Car Cd Player Has An Operating Temperature Express this range without using. Your solution’s ready to go! The everyday meaning of is that the difference between the temperature t and 44 degrees is less than 78 degrees. That means the temperature can. Express this range without using. A car cd player has an operating temperature of |t − 35\deg | < 75\deg , where t is the. A Car Cd Player Has An Operating Temperature.
From www.amazon.com
External Universal CD Player for Car LEHWEY Portable CD A Car Cd Player Has An Operating Temperature Express this range without using. A car cd player has an operating temperature of |t − 35\deg | < 75\deg , where t is the temperature in degrees fahrenheit. The everyday meaning of is that the difference between the temperature t and 44 degrees is less than 78 degrees. That means the temperature can. The car cd player's operating temperature,. A Car Cd Player Has An Operating Temperature.
From klagexwpw.blob.core.windows.net
Best Way To Clean Car Cd Player at David Scheele blog A Car Cd Player Has An Operating Temperature Your solution’s ready to go! The everyday meaning of is that the difference between the temperature t and 44 degrees is less than 78 degrees. Express this range without using. Express this range without using. A car cd player has an operating temperature of |t − 35\deg | < 75\deg , where t is the temperature in degrees fahrenheit. That. A Car Cd Player Has An Operating Temperature.
From samzec.com
How To Clean A Car CD Player Samzec A Car Cd Player Has An Operating Temperature The everyday meaning of is that the difference between the temperature t and 44 degrees is less than 78 degrees. That means the temperature can. A car cd player has an operating temperature of |t − 35\deg | < 75\deg , where t is the temperature in degrees fahrenheit. Your solution’s ready to go! The car cd player's operating temperature,. A Car Cd Player Has An Operating Temperature.
From www.instructables.com
How to Connect Your Mp3 or Ipod on a Car Cdplayer. 6 Steps (with A Car Cd Player Has An Operating Temperature Express this range without using. The car cd player's operating temperature, expressed without absolute value symbols, is any temperature less than 117. Express this range without using. The everyday meaning of is that the difference between the temperature t and 44 degrees is less than 78 degrees. That means the temperature can. A car cd player has an operating temperature. A Car Cd Player Has An Operating Temperature.
From giobggwan.blob.core.windows.net
How To Clean Your Car Cd Player at Michael Hummel blog A Car Cd Player Has An Operating Temperature The everyday meaning of is that the difference between the temperature t and 44 degrees is less than 78 degrees. Express this range without using. Express this range without using. The car cd player's operating temperature, expressed without absolute value symbols, is any temperature less than 117. Your solution’s ready to go! A car cd player has an operating temperature. A Car Cd Player Has An Operating Temperature.
From www.alibaba.com
Xtrons 7" Car Cd Player Octa Core 8+128gb Carplay Android Auto Dsp 4g A Car Cd Player Has An Operating Temperature Express this range without using. Your solution’s ready to go! Express this range without using. The everyday meaning of is that the difference between the temperature t and 44 degrees is less than 78 degrees. That means the temperature can. The car cd player's operating temperature, expressed without absolute value symbols, is any temperature less than 117. A car cd. A Car Cd Player Has An Operating Temperature.
From www.numerade.com
SOLVED A car CD player has an operating temperature of t 45° 75 A Car Cd Player Has An Operating Temperature Express this range without using. The everyday meaning of is that the difference between the temperature t and 44 degrees is less than 78 degrees. That means the temperature can. The car cd player's operating temperature, expressed without absolute value symbols, is any temperature less than 117. A car cd player has an operating temperature of |t − 35\deg |. A Car Cd Player Has An Operating Temperature.
From schematron.org
Unveiling the Inner Workings of Sony's Car CD Player A Wiring Diagram A Car Cd Player Has An Operating Temperature Your solution’s ready to go! The everyday meaning of is that the difference between the temperature t and 44 degrees is less than 78 degrees. A car cd player has an operating temperature of |t − 35\deg | < 75\deg , where t is the temperature in degrees fahrenheit. Express this range without using. Express this range without using. The. A Car Cd Player Has An Operating Temperature.
From www.walmart.com
Car Cd Player A Car Cd Player Has An Operating Temperature The everyday meaning of is that the difference between the temperature t and 44 degrees is less than 78 degrees. Express this range without using. Your solution’s ready to go! The car cd player's operating temperature, expressed without absolute value symbols, is any temperature less than 117. That means the temperature can. Express this range without using. A car cd. A Car Cd Player Has An Operating Temperature.
From www.youtube.com
HOW INSERT AND REMOVE CD TO CAR MUSIC PLAYER MY SUMMER CAR 2022 A Car Cd Player Has An Operating Temperature Express this range without using. The everyday meaning of is that the difference between the temperature t and 44 degrees is less than 78 degrees. The car cd player's operating temperature, expressed without absolute value symbols, is any temperature less than 117. Express this range without using. A car cd player has an operating temperature of |t − 35\deg |. A Car Cd Player Has An Operating Temperature.
From diyquickly.com
How to Fix a Car CD Player That Won't Load or Eject Discs (2024) A Car Cd Player Has An Operating Temperature A car cd player has an operating temperature of |t − 35\deg | < 75\deg , where t is the temperature in degrees fahrenheit. Express this range without using. Express this range without using. That means the temperature can. The everyday meaning of is that the difference between the temperature t and 44 degrees is less than 78 degrees. Your. A Car Cd Player Has An Operating Temperature.
From www.gm-navigation.com
Will an external CD player work in my car? A Car Cd Player Has An Operating Temperature The everyday meaning of is that the difference between the temperature t and 44 degrees is less than 78 degrees. That means the temperature can. A car cd player has an operating temperature of |t − 35\deg | < 75\deg , where t is the temperature in degrees fahrenheit. Express this range without using. The car cd player's operating temperature,. A Car Cd Player Has An Operating Temperature.
From www.youtube.com
What's inside Car CD Player Toyota FH M8207 YouTube A Car Cd Player Has An Operating Temperature The car cd player's operating temperature, expressed without absolute value symbols, is any temperature less than 117. The everyday meaning of is that the difference between the temperature t and 44 degrees is less than 78 degrees. Express this range without using. That means the temperature can. Your solution’s ready to go! Express this range without using. A car cd. A Car Cd Player Has An Operating Temperature.
From dxozwvadj.blob.core.windows.net
Cd Player For A Car Without One at Ruth Simek blog A Car Cd Player Has An Operating Temperature Express this range without using. The car cd player's operating temperature, expressed without absolute value symbols, is any temperature less than 117. That means the temperature can. Your solution’s ready to go! Express this range without using. The everyday meaning of is that the difference between the temperature t and 44 degrees is less than 78 degrees. A car cd. A Car Cd Player Has An Operating Temperature.