Example Of Sports Club Constitution . A basic constitution is provided below, although clubs should consider community amateur sports club status (see ccpr website for details) for tax and other financial benefits. The following pages provide a sample constitution for the proper formation of a sports club, together with clause by clause guidance notes. The club may provide sporting and related social facilities, sporting equipment, coaching, courses, insurance cover, medical treatment, travel expenses and other ordinary benefits of. There is another big reason for the need of a club constitution. Each club is required to have an updated constitution. Specimen constitution for clubs this specimen has been based on a model constitution prepared by the charity commissioners, but has been. The following template should be used to create a syracuse university sport club constitution.
from www.scribd.com
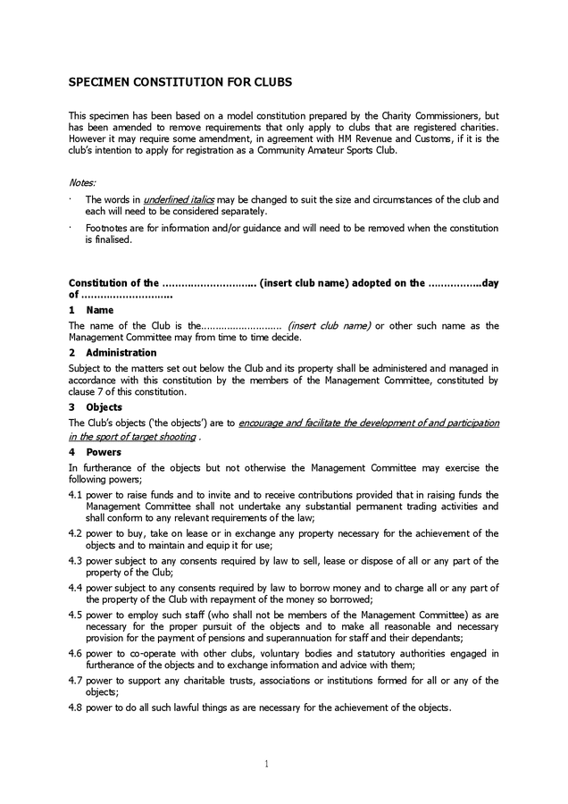
The following template should be used to create a syracuse university sport club constitution. Specimen constitution for clubs this specimen has been based on a model constitution prepared by the charity commissioners, but has been. Each club is required to have an updated constitution. The club may provide sporting and related social facilities, sporting equipment, coaching, courses, insurance cover, medical treatment, travel expenses and other ordinary benefits of. There is another big reason for the need of a club constitution. A basic constitution is provided below, although clubs should consider community amateur sports club status (see ccpr website for details) for tax and other financial benefits. The following pages provide a sample constitution for the proper formation of a sports club, together with clause by clause guidance notes.
Sample Club Constitution Constitutional Amendment Board Of Directors
Example Of Sports Club Constitution Specimen constitution for clubs this specimen has been based on a model constitution prepared by the charity commissioners, but has been. The following pages provide a sample constitution for the proper formation of a sports club, together with clause by clause guidance notes. Specimen constitution for clubs this specimen has been based on a model constitution prepared by the charity commissioners, but has been. The club may provide sporting and related social facilities, sporting equipment, coaching, courses, insurance cover, medical treatment, travel expenses and other ordinary benefits of. Each club is required to have an updated constitution. The following template should be used to create a syracuse university sport club constitution. There is another big reason for the need of a club constitution. A basic constitution is provided below, although clubs should consider community amateur sports club status (see ccpr website for details) for tax and other financial benefits.
From www.dexform.com
Specimen constitution for clubs in Word and Pdf formats Example Of Sports Club Constitution Each club is required to have an updated constitution. The club may provide sporting and related social facilities, sporting equipment, coaching, courses, insurance cover, medical treatment, travel expenses and other ordinary benefits of. Specimen constitution for clubs this specimen has been based on a model constitution prepared by the charity commissioners, but has been. There is another big reason for. Example Of Sports Club Constitution.
From www.dexform.com
Club constitution template in Word and Pdf formats Example Of Sports Club Constitution A basic constitution is provided below, although clubs should consider community amateur sports club status (see ccpr website for details) for tax and other financial benefits. The club may provide sporting and related social facilities, sporting equipment, coaching, courses, insurance cover, medical treatment, travel expenses and other ordinary benefits of. Specimen constitution for clubs this specimen has been based on. Example Of Sports Club Constitution.
From www.scribd.com
Paringa Football Club Constitution Committee Quorum Example Of Sports Club Constitution The following template should be used to create a syracuse university sport club constitution. A basic constitution is provided below, although clubs should consider community amateur sports club status (see ccpr website for details) for tax and other financial benefits. Specimen constitution for clubs this specimen has been based on a model constitution prepared by the charity commissioners, but has. Example Of Sports Club Constitution.
From studylib.net
CLUB NAME Club Constitution and ByLaws TEMPLATE Example Of Sports Club Constitution The following pages provide a sample constitution for the proper formation of a sports club, together with clause by clause guidance notes. The following template should be used to create a syracuse university sport club constitution. The club may provide sporting and related social facilities, sporting equipment, coaching, courses, insurance cover, medical treatment, travel expenses and other ordinary benefits of.. Example Of Sports Club Constitution.
From studylib.net
Template Sports Constitution Example Of Sports Club Constitution The following template should be used to create a syracuse university sport club constitution. The following pages provide a sample constitution for the proper formation of a sports club, together with clause by clause guidance notes. A basic constitution is provided below, although clubs should consider community amateur sports club status (see ccpr website for details) for tax and other. Example Of Sports Club Constitution.
From studylib.net
Club Constitution Template Example Of Sports Club Constitution Each club is required to have an updated constitution. A basic constitution is provided below, although clubs should consider community amateur sports club status (see ccpr website for details) for tax and other financial benefits. The following template should be used to create a syracuse university sport club constitution. There is another big reason for the need of a club. Example Of Sports Club Constitution.
From www.scribd.com
Sample Club Constitution Constitutional Amendment Board Of Directors Example Of Sports Club Constitution A basic constitution is provided below, although clubs should consider community amateur sports club status (see ccpr website for details) for tax and other financial benefits. Specimen constitution for clubs this specimen has been based on a model constitution prepared by the charity commissioners, but has been. The following pages provide a sample constitution for the proper formation of a. Example Of Sports Club Constitution.
From www.scribd.com
Club Constitution Sports Leisure Example Of Sports Club Constitution Specimen constitution for clubs this specimen has been based on a model constitution prepared by the charity commissioners, but has been. There is another big reason for the need of a club constitution. Each club is required to have an updated constitution. The following pages provide a sample constitution for the proper formation of a sports club, together with clause. Example Of Sports Club Constitution.
From studylib.net
Club Constitution Example and Instructions Example Of Sports Club Constitution The following template should be used to create a syracuse university sport club constitution. A basic constitution is provided below, although clubs should consider community amateur sports club status (see ccpr website for details) for tax and other financial benefits. The following pages provide a sample constitution for the proper formation of a sports club, together with clause by clause. Example Of Sports Club Constitution.
From www.dexform.com
Club constitution template in Word and Pdf formats page 2 of 4 Example Of Sports Club Constitution The following template should be used to create a syracuse university sport club constitution. The club may provide sporting and related social facilities, sporting equipment, coaching, courses, insurance cover, medical treatment, travel expenses and other ordinary benefits of. The following pages provide a sample constitution for the proper formation of a sports club, together with clause by clause guidance notes.. Example Of Sports Club Constitution.
From www.slideserve.com
PPT Club Sports Anatomy Creating Club Sports Constitutions PowerPoint Example Of Sports Club Constitution There is another big reason for the need of a club constitution. The following pages provide a sample constitution for the proper formation of a sports club, together with clause by clause guidance notes. The club may provide sporting and related social facilities, sporting equipment, coaching, courses, insurance cover, medical treatment, travel expenses and other ordinary benefits of. A basic. Example Of Sports Club Constitution.
From www.youtube.com
A Successful Club Constitution YouTube Example Of Sports Club Constitution The following template should be used to create a syracuse university sport club constitution. The club may provide sporting and related social facilities, sporting equipment, coaching, courses, insurance cover, medical treatment, travel expenses and other ordinary benefits of. Specimen constitution for clubs this specimen has been based on a model constitution prepared by the charity commissioners, but has been. There. Example Of Sports Club Constitution.
From www.scribd.com
Sample Club Constitution and Bylaws Guidelines PDF Committee Quorum Example Of Sports Club Constitution There is another big reason for the need of a club constitution. The club may provide sporting and related social facilities, sporting equipment, coaching, courses, insurance cover, medical treatment, travel expenses and other ordinary benefits of. Specimen constitution for clubs this specimen has been based on a model constitution prepared by the charity commissioners, but has been. The following pages. Example Of Sports Club Constitution.
From www.scribd.com
Model Sport Club Constitution Template PDF Constitution Sports Example Of Sports Club Constitution Each club is required to have an updated constitution. The club may provide sporting and related social facilities, sporting equipment, coaching, courses, insurance cover, medical treatment, travel expenses and other ordinary benefits of. A basic constitution is provided below, although clubs should consider community amateur sports club status (see ccpr website for details) for tax and other financial benefits. The. Example Of Sports Club Constitution.
From www.dexform.com
Sports club constitution template (United Kingdom) in Word and Pdf formats Example Of Sports Club Constitution Each club is required to have an updated constitution. The following template should be used to create a syracuse university sport club constitution. The following pages provide a sample constitution for the proper formation of a sports club, together with clause by clause guidance notes. The club may provide sporting and related social facilities, sporting equipment, coaching, courses, insurance cover,. Example Of Sports Club Constitution.
From www.dexform.com
Basketball club constitution template in Word and Pdf formats Example Of Sports Club Constitution The club may provide sporting and related social facilities, sporting equipment, coaching, courses, insurance cover, medical treatment, travel expenses and other ordinary benefits of. The following pages provide a sample constitution for the proper formation of a sports club, together with clause by clause guidance notes. There is another big reason for the need of a club constitution. The following. Example Of Sports Club Constitution.
From www.dexform.com
Club constitution template in Word and Pdf formats page 3 of 4 Example Of Sports Club Constitution Each club is required to have an updated constitution. A basic constitution is provided below, although clubs should consider community amateur sports club status (see ccpr website for details) for tax and other financial benefits. There is another big reason for the need of a club constitution. The following pages provide a sample constitution for the proper formation of a. Example Of Sports Club Constitution.
From studylib.net
Sample Club Constitution. Rochester Community and Technical Example Of Sports Club Constitution The following pages provide a sample constitution for the proper formation of a sports club, together with clause by clause guidance notes. There is another big reason for the need of a club constitution. Each club is required to have an updated constitution. The club may provide sporting and related social facilities, sporting equipment, coaching, courses, insurance cover, medical treatment,. Example Of Sports Club Constitution.
From www.southliverpoolfc.com
South Liverpool Football Club Constitution / Bylaws Example Of Sports Club Constitution The following template should be used to create a syracuse university sport club constitution. The club may provide sporting and related social facilities, sporting equipment, coaching, courses, insurance cover, medical treatment, travel expenses and other ordinary benefits of. The following pages provide a sample constitution for the proper formation of a sports club, together with clause by clause guidance notes.. Example Of Sports Club Constitution.
From studylib.net
Club Constitution Cambridge City Hockey Club Example Of Sports Club Constitution The following pages provide a sample constitution for the proper formation of a sports club, together with clause by clause guidance notes. Each club is required to have an updated constitution. The following template should be used to create a syracuse university sport club constitution. The club may provide sporting and related social facilities, sporting equipment, coaching, courses, insurance cover,. Example Of Sports Club Constitution.
From www.pdffiller.com
Sample Club Constitution Template Doc Template pdfFiller Example Of Sports Club Constitution Each club is required to have an updated constitution. There is another big reason for the need of a club constitution. A basic constitution is provided below, although clubs should consider community amateur sports club status (see ccpr website for details) for tax and other financial benefits. The following template should be used to create a syracuse university sport club. Example Of Sports Club Constitution.
From studylib.net
CONSTITUTION GUIDE FOR SPORT CLUBS Example Of Sports Club Constitution Each club is required to have an updated constitution. There is another big reason for the need of a club constitution. Specimen constitution for clubs this specimen has been based on a model constitution prepared by the charity commissioners, but has been. A basic constitution is provided below, although clubs should consider community amateur sports club status (see ccpr website. Example Of Sports Club Constitution.
From studylib.net
UNI SPORT CLUB CONSTITUTION/BYLAWS OUTLINE Example Of Sports Club Constitution Specimen constitution for clubs this specimen has been based on a model constitution prepared by the charity commissioners, but has been. The following template should be used to create a syracuse university sport club constitution. A basic constitution is provided below, although clubs should consider community amateur sports club status (see ccpr website for details) for tax and other financial. Example Of Sports Club Constitution.
From www.dexform.com
Sports club constitution template (United Kingdom) in Word and Pdf Example Of Sports Club Constitution The club may provide sporting and related social facilities, sporting equipment, coaching, courses, insurance cover, medical treatment, travel expenses and other ordinary benefits of. The following pages provide a sample constitution for the proper formation of a sports club, together with clause by clause guidance notes. Each club is required to have an updated constitution. The following template should be. Example Of Sports Club Constitution.
From studylib.net
Example Of Sports Club Constitution Specimen constitution for clubs this specimen has been based on a model constitution prepared by the charity commissioners, but has been. The following pages provide a sample constitution for the proper formation of a sports club, together with clause by clause guidance notes. Each club is required to have an updated constitution. There is another big reason for the need. Example Of Sports Club Constitution.
From studylib.net
Sample Club Sports Constitution American University Example Of Sports Club Constitution A basic constitution is provided below, although clubs should consider community amateur sports club status (see ccpr website for details) for tax and other financial benefits. The club may provide sporting and related social facilities, sporting equipment, coaching, courses, insurance cover, medical treatment, travel expenses and other ordinary benefits of. Specimen constitution for clubs this specimen has been based on. Example Of Sports Club Constitution.
From www.dexform.com
Club constitution template in Word and Pdf formats page 4 of 4 Example Of Sports Club Constitution Each club is required to have an updated constitution. There is another big reason for the need of a club constitution. The club may provide sporting and related social facilities, sporting equipment, coaching, courses, insurance cover, medical treatment, travel expenses and other ordinary benefits of. Specimen constitution for clubs this specimen has been based on a model constitution prepared by. Example Of Sports Club Constitution.
From slideshare.net
Balmain Football Club Constitution 2012 Example Of Sports Club Constitution The following template should be used to create a syracuse university sport club constitution. The following pages provide a sample constitution for the proper formation of a sports club, together with clause by clause guidance notes. There is another big reason for the need of a club constitution. Specimen constitution for clubs this specimen has been based on a model. Example Of Sports Club Constitution.
From www.slideserve.com
PPT Club Sports Anatomy Creating Club Sports Constitutions PowerPoint Example Of Sports Club Constitution The following pages provide a sample constitution for the proper formation of a sports club, together with clause by clause guidance notes. The club may provide sporting and related social facilities, sporting equipment, coaching, courses, insurance cover, medical treatment, travel expenses and other ordinary benefits of. There is another big reason for the need of a club constitution. A basic. Example Of Sports Club Constitution.
From www.dexform.com
Sample club constitution and bylaws in Word and Pdf formats Example Of Sports Club Constitution The club may provide sporting and related social facilities, sporting equipment, coaching, courses, insurance cover, medical treatment, travel expenses and other ordinary benefits of. There is another big reason for the need of a club constitution. Specimen constitution for clubs this specimen has been based on a model constitution prepared by the charity commissioners, but has been. The following template. Example Of Sports Club Constitution.
From www.contractstore.com
Constitution Template for Club Club Constitution ContractStore Example Of Sports Club Constitution Specimen constitution for clubs this specimen has been based on a model constitution prepared by the charity commissioners, but has been. Each club is required to have an updated constitution. The following pages provide a sample constitution for the proper formation of a sports club, together with clause by clause guidance notes. A basic constitution is provided below, although clubs. Example Of Sports Club Constitution.
From www.dexform.com
Club constitution template in Word and Pdf formats Example Of Sports Club Constitution The following pages provide a sample constitution for the proper formation of a sports club, together with clause by clause guidance notes. The club may provide sporting and related social facilities, sporting equipment, coaching, courses, insurance cover, medical treatment, travel expenses and other ordinary benefits of. The following template should be used to create a syracuse university sport club constitution.. Example Of Sports Club Constitution.
From www.dexform.com
Sample club junior constitution in Word and Pdf formats Example Of Sports Club Constitution The club may provide sporting and related social facilities, sporting equipment, coaching, courses, insurance cover, medical treatment, travel expenses and other ordinary benefits of. The following template should be used to create a syracuse university sport club constitution. A basic constitution is provided below, although clubs should consider community amateur sports club status (see ccpr website for details) for tax. Example Of Sports Club Constitution.
From www.dexform.com
Sample club constitution in Word and Pdf formats Example Of Sports Club Constitution A basic constitution is provided below, although clubs should consider community amateur sports club status (see ccpr website for details) for tax and other financial benefits. There is another big reason for the need of a club constitution. The following template should be used to create a syracuse university sport club constitution. The club may provide sporting and related social. Example Of Sports Club Constitution.
From westlandsportsfc.co.uk
Club Constitution westlandsportsfc.co.uk Example Of Sports Club Constitution The club may provide sporting and related social facilities, sporting equipment, coaching, courses, insurance cover, medical treatment, travel expenses and other ordinary benefits of. The following pages provide a sample constitution for the proper formation of a sports club, together with clause by clause guidance notes. There is another big reason for the need of a club constitution. Each club. Example Of Sports Club Constitution.