How Many Amps Does A Blender Pull . Generally, the higher the wattage, the more. Are you looking for wattage requirements for various electric appliances to calculate the power needs of your generator? So how many watts do you need for a good blender? A blender’s wattage is a measure of its power, and it determines how effectively it can blend and process different ingredients. Blenders usually range from 250 watts to over 1000 watts. An 800 watt is fine if you only plan on using it occasionally,. Discover our amp chart for household appliances so you can make sure your power sources can handle your devices. The estimations below come from using our household. Blender wattage refers to the amount of power the blender motor consumes. Blender amp usage varies based on factors like motor power and load. The wattage you need depends on what tasks you plan to use the. How many watts does a blender typically use? Ultimately, it depends on what you plan on using the blender for.
from circuitbebsonir.z13.web.core.windows.net
A blender’s wattage is a measure of its power, and it determines how effectively it can blend and process different ingredients. Generally, the higher the wattage, the more. Discover our amp chart for household appliances so you can make sure your power sources can handle your devices. Blenders usually range from 250 watts to over 1000 watts. How many watts does a blender typically use? An 800 watt is fine if you only plan on using it occasionally,. So how many watts do you need for a good blender? The estimations below come from using our household. Are you looking for wattage requirements for various electric appliances to calculate the power needs of your generator? Ultimately, it depends on what you plan on using the blender for.
How Many Amps Does 500 Watts Pull
How Many Amps Does A Blender Pull Ultimately, it depends on what you plan on using the blender for. An 800 watt is fine if you only plan on using it occasionally,. Blenders usually range from 250 watts to over 1000 watts. The estimations below come from using our household. A blender’s wattage is a measure of its power, and it determines how effectively it can blend and process different ingredients. Discover our amp chart for household appliances so you can make sure your power sources can handle your devices. How many watts does a blender typically use? Are you looking for wattage requirements for various electric appliances to calculate the power needs of your generator? The wattage you need depends on what tasks you plan to use the. Ultimately, it depends on what you plan on using the blender for. Blender wattage refers to the amount of power the blender motor consumes. So how many watts do you need for a good blender? Blender amp usage varies based on factors like motor power and load. Generally, the higher the wattage, the more.
From projectperfecthome.com
Average Amps and Watts for Home Appliances How Many Amps Does A Blender Pull Generally, the higher the wattage, the more. So how many watts do you need for a good blender? Blenders usually range from 250 watts to over 1000 watts. Ultimately, it depends on what you plan on using the blender for. Are you looking for wattage requirements for various electric appliances to calculate the power needs of your generator? The wattage. How Many Amps Does A Blender Pull.
From wiringlibhernandez.z19.web.core.windows.net
How Many Amps For 2 Hp Motor How Many Amps Does A Blender Pull So how many watts do you need for a good blender? Are you looking for wattage requirements for various electric appliances to calculate the power needs of your generator? The wattage you need depends on what tasks you plan to use the. Discover our amp chart for household appliances so you can make sure your power sources can handle your. How Many Amps Does A Blender Pull.
From fyoqrwtdk.blob.core.windows.net
How Many Amps Does A Small Freezer Pull at Omar Snow blog How Many Amps Does A Blender Pull A blender’s wattage is a measure of its power, and it determines how effectively it can blend and process different ingredients. The wattage you need depends on what tasks you plan to use the. Blender amp usage varies based on factors like motor power and load. Blender wattage refers to the amount of power the blender motor consumes. Discover our. How Many Amps Does A Blender Pull.
From wiringfixsprained.z19.web.core.windows.net
How Many Amps Does 1000 Watts Draw How Many Amps Does A Blender Pull Generally, the higher the wattage, the more. Discover our amp chart for household appliances so you can make sure your power sources can handle your devices. Ultimately, it depends on what you plan on using the blender for. A blender’s wattage is a measure of its power, and it determines how effectively it can blend and process different ingredients. An. How Many Amps Does A Blender Pull.
From repairfixheadpigeon2f.z4.web.core.windows.net
How Many Amps Alternator Do I Need How Many Amps Does A Blender Pull Blenders usually range from 250 watts to over 1000 watts. An 800 watt is fine if you only plan on using it occasionally,. Ultimately, it depends on what you plan on using the blender for. Blender amp usage varies based on factors like motor power and load. A blender’s wattage is a measure of its power, and it determines how. How Many Amps Does A Blender Pull.
From www.rlctalk.com
How Many Amps Does A Blender Use? Must Read How Many Amps Does A Blender Pull So how many watts do you need for a good blender? Generally, the higher the wattage, the more. Discover our amp chart for household appliances so you can make sure your power sources can handle your devices. Blender amp usage varies based on factors like motor power and load. A blender’s wattage is a measure of its power, and it. How Many Amps Does A Blender Pull.
From circuitwiringdoffs101.z13.web.core.windows.net
How Many Amps In Appliances How Many Amps Does A Blender Pull Blenders usually range from 250 watts to over 1000 watts. The estimations below come from using our household. Generally, the higher the wattage, the more. A blender’s wattage is a measure of its power, and it determines how effectively it can blend and process different ingredients. How many watts does a blender typically use? Are you looking for wattage requirements. How Many Amps Does A Blender Pull.
From giownseer.blob.core.windows.net
How Many Amps Does An Ac Unit Pull at Floyd Anderson blog How Many Amps Does A Blender Pull So how many watts do you need for a good blender? An 800 watt is fine if you only plan on using it occasionally,. How many watts does a blender typically use? The wattage you need depends on what tasks you plan to use the. Blenders usually range from 250 watts to over 1000 watts. A blender’s wattage is a. How Many Amps Does A Blender Pull.
From schematicenlistedcq.z4.web.core.windows.net
Strat Blender Pot Wiring Diagrams How Many Amps Does A Blender Pull Generally, the higher the wattage, the more. An 800 watt is fine if you only plan on using it occasionally,. So how many watts do you need for a good blender? How many watts does a blender typically use? Blenders usually range from 250 watts to over 1000 watts. Ultimately, it depends on what you plan on using the blender. How Many Amps Does A Blender Pull.
From giohphzly.blob.core.windows.net
How Many Amps Is A Heat Lamp at Cherie Kaminski blog How Many Amps Does A Blender Pull Discover our amp chart for household appliances so you can make sure your power sources can handle your devices. So how many watts do you need for a good blender? Generally, the higher the wattage, the more. Ultimately, it depends on what you plan on using the blender for. The wattage you need depends on what tasks you plan to. How Many Amps Does A Blender Pull.
From giownuvjp.blob.core.windows.net
How Many Amps Does A Rv Refrigerator Pull at Mario Nordman blog How Many Amps Does A Blender Pull The wattage you need depends on what tasks you plan to use the. Blenders usually range from 250 watts to over 1000 watts. An 800 watt is fine if you only plan on using it occasionally,. Blender amp usage varies based on factors like motor power and load. How many watts does a blender typically use? Are you looking for. How Many Amps Does A Blender Pull.
From schematiciroknivs.z4.web.core.windows.net
How Many Amps Does 500 Watts Pull How Many Amps Does A Blender Pull Generally, the higher the wattage, the more. The wattage you need depends on what tasks you plan to use the. Discover our amp chart for household appliances so you can make sure your power sources can handle your devices. Blender amp usage varies based on factors like motor power and load. A blender’s wattage is a measure of its power,. How Many Amps Does A Blender Pull.
From electrical-engineering-world1.blogspot.com
Electrical Engineering World Amps & Wattage Rating for Common How Many Amps Does A Blender Pull Ultimately, it depends on what you plan on using the blender for. How many watts does a blender typically use? A blender’s wattage is a measure of its power, and it determines how effectively it can blend and process different ingredients. Generally, the higher the wattage, the more. Blenders usually range from 250 watts to over 1000 watts. Are you. How Many Amps Does A Blender Pull.
From www.msn.com
The 6 Best Immersion Blenders of 2024 for Making Soups, Smoothies, and More How Many Amps Does A Blender Pull Generally, the higher the wattage, the more. The estimations below come from using our household. Ultimately, it depends on what you plan on using the blender for. A blender’s wattage is a measure of its power, and it determines how effectively it can blend and process different ingredients. Blender amp usage varies based on factors like motor power and load.. How Many Amps Does A Blender Pull.
From issuu.com
Blender Comparison Chart 2019 by Relevant Rankings Issuu How Many Amps Does A Blender Pull The wattage you need depends on what tasks you plan to use the. How many watts does a blender typically use? Blenders usually range from 250 watts to over 1000 watts. Blender wattage refers to the amount of power the blender motor consumes. The estimations below come from using our household. Are you looking for wattage requirements for various electric. How Many Amps Does A Blender Pull.
From circuitdiagramrhumb.z21.web.core.windows.net
How Many Amps Is A Regular Outlet How Many Amps Does A Blender Pull An 800 watt is fine if you only plan on using it occasionally,. The estimations below come from using our household. Blender wattage refers to the amount of power the blender motor consumes. Generally, the higher the wattage, the more. Discover our amp chart for household appliances so you can make sure your power sources can handle your devices. So. How Many Amps Does A Blender Pull.
From fyoyghegj.blob.core.windows.net
How Many Amps Does A Home Ac Pull at Dennis McDonald blog How Many Amps Does A Blender Pull Are you looking for wattage requirements for various electric appliances to calculate the power needs of your generator? So how many watts do you need for a good blender? Generally, the higher the wattage, the more. Blender amp usage varies based on factors like motor power and load. An 800 watt is fine if you only plan on using it. How Many Amps Does A Blender Pull.
From psaweprivacy.weebly.com
Breville blender psaweprivacy How Many Amps Does A Blender Pull An 800 watt is fine if you only plan on using it occasionally,. How many watts does a blender typically use? Blender wattage refers to the amount of power the blender motor consumes. Blenders usually range from 250 watts to over 1000 watts. Are you looking for wattage requirements for various electric appliances to calculate the power needs of your. How Many Amps Does A Blender Pull.
From www.rvandplaya.com
How Many Amps Can a 14 Gauge Wire Handle? (Real FACTS!) How Many Amps Does A Blender Pull A blender’s wattage is a measure of its power, and it determines how effectively it can blend and process different ingredients. Generally, the higher the wattage, the more. Blenders usually range from 250 watts to over 1000 watts. An 800 watt is fine if you only plan on using it occasionally,. Discover our amp chart for household appliances so you. How Many Amps Does A Blender Pull.
From www.numerade.com
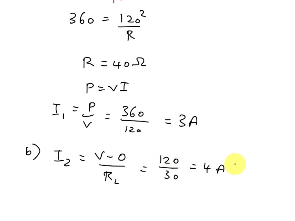
SOLVED A 120volt household circuit has a 360Watt blender and a 30W How Many Amps Does A Blender Pull A blender’s wattage is a measure of its power, and it determines how effectively it can blend and process different ingredients. Ultimately, it depends on what you plan on using the blender for. Blender wattage refers to the amount of power the blender motor consumes. An 800 watt is fine if you only plan on using it occasionally,. So how. How Many Amps Does A Blender Pull.
From rajanatureworld.eu
Blendtec Xpress Blender incl. 2 Fourside jars Raja Nature World How Many Amps Does A Blender Pull How many watts does a blender typically use? Blenders usually range from 250 watts to over 1000 watts. So how many watts do you need for a good blender? Are you looking for wattage requirements for various electric appliances to calculate the power needs of your generator? Generally, the higher the wattage, the more. The estimations below come from using. How Many Amps Does A Blender Pull.
From circuitbebsonir.z13.web.core.windows.net
How Many Amps Does 500 Watts Pull How Many Amps Does A Blender Pull A blender’s wattage is a measure of its power, and it determines how effectively it can blend and process different ingredients. The estimations below come from using our household. So how many watts do you need for a good blender? The wattage you need depends on what tasks you plan to use the. Blender wattage refers to the amount of. How Many Amps Does A Blender Pull.
From tapproom.com
How many amps does a refrigerator use? 3 calculate amperage Tapp room How Many Amps Does A Blender Pull Ultimately, it depends on what you plan on using the blender for. Generally, the higher the wattage, the more. So how many watts do you need for a good blender? An 800 watt is fine if you only plan on using it occasionally,. Blender amp usage varies based on factors like motor power and load. Blenders usually range from 250. How Many Amps Does A Blender Pull.
From www.cataloguespecials.co.za
Safeway 500 Watt Jug Blender offer at Clicks How Many Amps Does A Blender Pull A blender’s wattage is a measure of its power, and it determines how effectively it can blend and process different ingredients. So how many watts do you need for a good blender? The wattage you need depends on what tasks you plan to use the. Ultimately, it depends on what you plan on using the blender for. Are you looking. How Many Amps Does A Blender Pull.
From circuitbebsonir.z13.web.core.windows.net
How Many Amps Does 500 Watts Pull How Many Amps Does A Blender Pull Ultimately, it depends on what you plan on using the blender for. Blender wattage refers to the amount of power the blender motor consumes. The estimations below come from using our household. Blenders usually range from 250 watts to over 1000 watts. How many watts does a blender typically use? Discover our amp chart for household appliances so you can. How Many Amps Does A Blender Pull.
From thehabitofwoodworking.com
How Many Amps Does A Circular Saw Pull? The Habit of Woodworking How Many Amps Does A Blender Pull So how many watts do you need for a good blender? Discover our amp chart for household appliances so you can make sure your power sources can handle your devices. A blender’s wattage is a measure of its power, and it determines how effectively it can blend and process different ingredients. Blender amp usage varies based on factors like motor. How Many Amps Does A Blender Pull.
From www.msn.com
7 Best Blenders to Upgrade Your Smoothie Game How Many Amps Does A Blender Pull A blender’s wattage is a measure of its power, and it determines how effectively it can blend and process different ingredients. So how many watts do you need for a good blender? Ultimately, it depends on what you plan on using the blender for. The wattage you need depends on what tasks you plan to use the. An 800 watt. How Many Amps Does A Blender Pull.
From www.numerade.com
SOLVED A 120volt household circuit has a 360Watt blender and a 300 How Many Amps Does A Blender Pull Are you looking for wattage requirements for various electric appliances to calculate the power needs of your generator? Ultimately, it depends on what you plan on using the blender for. How many watts does a blender typically use? Discover our amp chart for household appliances so you can make sure your power sources can handle your devices. The wattage you. How Many Amps Does A Blender Pull.
From hxejxcnlz.blob.core.windows.net
How Many Amps Does A Electric Range Draw at Patricia Jolley blog How Many Amps Does A Blender Pull So how many watts do you need for a good blender? Blender wattage refers to the amount of power the blender motor consumes. Blender amp usage varies based on factors like motor power and load. A blender’s wattage is a measure of its power, and it determines how effectively it can blend and process different ingredients. An 800 watt is. How Many Amps Does A Blender Pull.
From houseandhomeonline.com
How Many Amps Does a Microwave Pull? Understanding Microwave Power How Many Amps Does A Blender Pull The wattage you need depends on what tasks you plan to use the. The estimations below come from using our household. Blenders usually range from 250 watts to over 1000 watts. A blender’s wattage is a measure of its power, and it determines how effectively it can blend and process different ingredients. An 800 watt is fine if you only. How Many Amps Does A Blender Pull.
From www.renewablewise.com
How Many Amps Does A 1500 Watt Inverter Draw? RenewableWise How Many Amps Does A Blender Pull Blender wattage refers to the amount of power the blender motor consumes. Discover our amp chart for household appliances so you can make sure your power sources can handle your devices. Blenders usually range from 250 watts to over 1000 watts. The estimations below come from using our household. Are you looking for wattage requirements for various electric appliances to. How Many Amps Does A Blender Pull.
From jamessbrysono.blob.core.windows.net
How Many Amps Does A 3.5 Kw Air Conditioner Use at jamessbrysono blog How Many Amps Does A Blender Pull Are you looking for wattage requirements for various electric appliances to calculate the power needs of your generator? Blender wattage refers to the amount of power the blender motor consumes. Generally, the higher the wattage, the more. How many watts does a blender typically use? An 800 watt is fine if you only plan on using it occasionally,. Blender amp. How Many Amps Does A Blender Pull.
From stumpfstudio.com
» Ultimate Guide to Blenders How Many Amps Does A Blender Pull Blenders usually range from 250 watts to over 1000 watts. Generally, the higher the wattage, the more. Blender wattage refers to the amount of power the blender motor consumes. A blender’s wattage is a measure of its power, and it determines how effectively it can blend and process different ingredients. An 800 watt is fine if you only plan on. How Many Amps Does A Blender Pull.
From leewaskewblog.s3.amazonaws.com
How Many Amps Does A Recessed Lights Pull Lee Askew blog How Many Amps Does A Blender Pull Generally, the higher the wattage, the more. The estimations below come from using our household. Blender amp usage varies based on factors like motor power and load. How many watts does a blender typically use? Discover our amp chart for household appliances so you can make sure your power sources can handle your devices. Ultimately, it depends on what you. How Many Amps Does A Blender Pull.
From indoorclime.com
How Many Amps Does An Air Conditioner Use? IndoorClime How Many Amps Does A Blender Pull The estimations below come from using our household. Blenders usually range from 250 watts to over 1000 watts. Are you looking for wattage requirements for various electric appliances to calculate the power needs of your generator? Ultimately, it depends on what you plan on using the blender for. Discover our amp chart for household appliances so you can make sure. How Many Amps Does A Blender Pull.