Online Affidavit For Name Change After Marriage . An affidavit of name change is a signed statement verifying that a person has changed their name. How to make an affidavit for name change after marriage? Sometimes individuals need to make the affidavit after they have changed their name due to marriage. That previously my name was _____(name before marriage) and after my marriage with _____(husband name) my name has been changed as. To do so, you may need to file paperwork and appear before a judge. Typically this is used when a. Affidavit for change of name after marriage [female] i, _____________________________________ daughter of ___________________________ and wife. In this case, an affidavit of change of. In some cases, women change their names to adopt their spouse's last name after marriage and most of the documents contain the maiden name. I, __________ daughter of _____________ and wife of _________ aged ___, residing at __________________, do hereby solemnly affirm. In most cases, you must file a petition with your local court to change your name.
from www.scribd.com
I, __________ daughter of _____________ and wife of _________ aged ___, residing at __________________, do hereby solemnly affirm. That previously my name was _____(name before marriage) and after my marriage with _____(husband name) my name has been changed as. Sometimes individuals need to make the affidavit after they have changed their name due to marriage. Affidavit for change of name after marriage [female] i, _____________________________________ daughter of ___________________________ and wife. How to make an affidavit for name change after marriage? In most cases, you must file a petition with your local court to change your name. To do so, you may need to file paperwork and appear before a judge. An affidavit of name change is a signed statement verifying that a person has changed their name. Typically this is used when a. In some cases, women change their names to adopt their spouse's last name after marriage and most of the documents contain the maiden name.
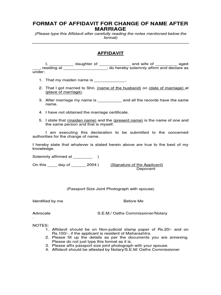
Annexure 7 Format of Affidavit Change of Name After Marriage PDF
Online Affidavit For Name Change After Marriage That previously my name was _____(name before marriage) and after my marriage with _____(husband name) my name has been changed as. An affidavit of name change is a signed statement verifying that a person has changed their name. Affidavit for change of name after marriage [female] i, _____________________________________ daughter of ___________________________ and wife. Typically this is used when a. In most cases, you must file a petition with your local court to change your name. Sometimes individuals need to make the affidavit after they have changed their name due to marriage. How to make an affidavit for name change after marriage? That previously my name was _____(name before marriage) and after my marriage with _____(husband name) my name has been changed as. In some cases, women change their names to adopt their spouse's last name after marriage and most of the documents contain the maiden name. To do so, you may need to file paperwork and appear before a judge. In this case, an affidavit of change of. I, __________ daughter of _____________ and wife of _________ aged ___, residing at __________________, do hereby solemnly affirm.
From www.edrafter.in
Change of Name after Marriage Affidavit Online eDrafter.in Online Affidavit For Name Change After Marriage How to make an affidavit for name change after marriage? That previously my name was _____(name before marriage) and after my marriage with _____(husband name) my name has been changed as. An affidavit of name change is a signed statement verifying that a person has changed their name. In this case, an affidavit of change of. In most cases, you. Online Affidavit For Name Change After Marriage.
From www.scribd.com
AFFIDAVIT FOR CHANGE OF NAME AFTER MARRIAGE PDF Online Affidavit For Name Change After Marriage That previously my name was _____(name before marriage) and after my marriage with _____(husband name) my name has been changed as. Typically this is used when a. I, __________ daughter of _____________ and wife of _________ aged ___, residing at __________________, do hereby solemnly affirm. Sometimes individuals need to make the affidavit after they have changed their name due to. Online Affidavit For Name Change After Marriage.
From www.tesz.in
How to change your name legally in Maharashtra? Online Affidavit For Name Change After Marriage Affidavit for change of name after marriage [female] i, _____________________________________ daughter of ___________________________ and wife. I, __________ daughter of _____________ and wife of _________ aged ___, residing at __________________, do hereby solemnly affirm. To do so, you may need to file paperwork and appear before a judge. That previously my name was _____(name before marriage) and after my marriage with. Online Affidavit For Name Change After Marriage.
From www.scribd.com
Affidavit For Change of Name PDF Online Affidavit For Name Change After Marriage An affidavit of name change is a signed statement verifying that a person has changed their name. How to make an affidavit for name change after marriage? In this case, an affidavit of change of. Sometimes individuals need to make the affidavit after they have changed their name due to marriage. In some cases, women change their names to adopt. Online Affidavit For Name Change After Marriage.
From www.pinterest.com
Marriage Affidavit Template Free Printable Documents Name change Online Affidavit For Name Change After Marriage Affidavit for change of name after marriage [female] i, _____________________________________ daughter of ___________________________ and wife. An affidavit of name change is a signed statement verifying that a person has changed their name. In some cases, women change their names to adopt their spouse's last name after marriage and most of the documents contain the maiden name. In most cases, you. Online Affidavit For Name Change After Marriage.
From www.pdffiller.com
Fillable Online Online Affidavit For Name Change After Marriage In most cases, you must file a petition with your local court to change your name. To do so, you may need to file paperwork and appear before a judge. Sometimes individuals need to make the affidavit after they have changed their name due to marriage. In some cases, women change their names to adopt their spouse's last name after. Online Affidavit For Name Change After Marriage.
From www.youtube.com
How to Fill Out Affidavit of Name Change Online PDFRun YouTube Online Affidavit For Name Change After Marriage In some cases, women change their names to adopt their spouse's last name after marriage and most of the documents contain the maiden name. That previously my name was _____(name before marriage) and after my marriage with _____(husband name) my name has been changed as. An affidavit of name change is a signed statement verifying that a person has changed. Online Affidavit For Name Change After Marriage.
From londonmedarb.com
Marriage Affidavit Template Free Printable Documents Online Affidavit For Name Change After Marriage How to make an affidavit for name change after marriage? Sometimes individuals need to make the affidavit after they have changed their name due to marriage. That previously my name was _____(name before marriage) and after my marriage with _____(husband name) my name has been changed as. In some cases, women change their names to adopt their spouse's last name. Online Affidavit For Name Change After Marriage.
From www.pinterest.com
Sample Affidavit for First Name Change After Marriage Name change Online Affidavit For Name Change After Marriage Sometimes individuals need to make the affidavit after they have changed their name due to marriage. How to make an affidavit for name change after marriage? That previously my name was _____(name before marriage) and after my marriage with _____(husband name) my name has been changed as. In some cases, women change their names to adopt their spouse's last name. Online Affidavit For Name Change After Marriage.
From canatfashion.blogspot.com
20+ New For Sample Affidavit For Name Change After Marriage Online Affidavit For Name Change After Marriage Typically this is used when a. An affidavit of name change is a signed statement verifying that a person has changed their name. Affidavit for change of name after marriage [female] i, _____________________________________ daughter of ___________________________ and wife. In this case, an affidavit of change of. How to make an affidavit for name change after marriage? That previously my name. Online Affidavit For Name Change After Marriage.
From bugacelebrity.blogspot.com
35+ Trends For Affidavit Format For Name Change After Marriage In Word Online Affidavit For Name Change After Marriage I, __________ daughter of _____________ and wife of _________ aged ___, residing at __________________, do hereby solemnly affirm. An affidavit of name change is a signed statement verifying that a person has changed their name. How to make an affidavit for name change after marriage? Affidavit for change of name after marriage [female] i, _____________________________________ daughter of ___________________________ and wife.. Online Affidavit For Name Change After Marriage.
From www.dochub.com
Name change affidavit Fill out & sign online DocHub Online Affidavit For Name Change After Marriage Sometimes individuals need to make the affidavit after they have changed their name due to marriage. Typically this is used when a. I, __________ daughter of _____________ and wife of _________ aged ___, residing at __________________, do hereby solemnly affirm. That previously my name was _____(name before marriage) and after my marriage with _____(husband name) my name has been changed. Online Affidavit For Name Change After Marriage.
From www.templateroller.com
Affidavit of Name Change Form Fill Out, Sign Online and Download PDF Online Affidavit For Name Change After Marriage In most cases, you must file a petition with your local court to change your name. Sometimes individuals need to make the affidavit after they have changed their name due to marriage. To do so, you may need to file paperwork and appear before a judge. In this case, an affidavit of change of. An affidavit of name change is. Online Affidavit For Name Change After Marriage.
From www.changeofnameads.com
NAME CHANGE FORMAT CHANGEOFNAMEADS190/ Online Affidavit For Name Change After Marriage To do so, you may need to file paperwork and appear before a judge. That previously my name was _____(name before marriage) and after my marriage with _____(husband name) my name has been changed as. In some cases, women change their names to adopt their spouse's last name after marriage and most of the documents contain the maiden name. In. Online Affidavit For Name Change After Marriage.
From www.edrafter.in
Marriage Affidavit Online for Lady Applicant eDrafter.in Online Affidavit For Name Change After Marriage How to make an affidavit for name change after marriage? Affidavit for change of name after marriage [female] i, _____________________________________ daughter of ___________________________ and wife. That previously my name was _____(name before marriage) and after my marriage with _____(husband name) my name has been changed as. An affidavit of name change is a signed statement verifying that a person has. Online Affidavit For Name Change After Marriage.
From www.tpsearchtool.com
Affidavit Of Company Name Change Doc Template Pdffiller Images Online Affidavit For Name Change After Marriage In some cases, women change their names to adopt their spouse's last name after marriage and most of the documents contain the maiden name. In this case, an affidavit of change of. I, __________ daughter of _____________ and wife of _________ aged ___, residing at __________________, do hereby solemnly affirm. In most cases, you must file a petition with your. Online Affidavit For Name Change After Marriage.
From www.scribd.com
Annexure 7 Format of Affidavit Change of Name After Marriage PDF Online Affidavit For Name Change After Marriage To do so, you may need to file paperwork and appear before a judge. How to make an affidavit for name change after marriage? In this case, an affidavit of change of. Sometimes individuals need to make the affidavit after they have changed their name due to marriage. I, __________ daughter of _____________ and wife of _________ aged ___, residing. Online Affidavit For Name Change After Marriage.
From www.pdffiller.com
Fillable Online Sample Affidavit for Name Change After Marriage Fax Online Affidavit For Name Change After Marriage Sometimes individuals need to make the affidavit after they have changed their name due to marriage. I, __________ daughter of _____________ and wife of _________ aged ___, residing at __________________, do hereby solemnly affirm. An affidavit of name change is a signed statement verifying that a person has changed their name. In some cases, women change their names to adopt. Online Affidavit For Name Change After Marriage.
From www.edrafter.in
Things to Consider before Changing Name after Divorce in India. Online Affidavit For Name Change After Marriage I, __________ daughter of _____________ and wife of _________ aged ___, residing at __________________, do hereby solemnly affirm. Sometimes individuals need to make the affidavit after they have changed their name due to marriage. In this case, an affidavit of change of. An affidavit of name change is a signed statement verifying that a person has changed their name. To. Online Affidavit For Name Change After Marriage.
From www.scribd.com
Sample Name Change Affidavit Online Affidavit For Name Change After Marriage An affidavit of name change is a signed statement verifying that a person has changed their name. Typically this is used when a. In this case, an affidavit of change of. To do so, you may need to file paperwork and appear before a judge. In most cases, you must file a petition with your local court to change your. Online Affidavit For Name Change After Marriage.
From printabletemplate.conaresvirtual.edu.sv
Affidavit Of Name Change Template Online Affidavit For Name Change After Marriage In some cases, women change their names to adopt their spouse's last name after marriage and most of the documents contain the maiden name. Typically this is used when a. In most cases, you must file a petition with your local court to change your name. Affidavit for change of name after marriage [female] i, _____________________________________ daughter of ___________________________ and. Online Affidavit For Name Change After Marriage.
From www.rocketlawyer.com
Free Affidavit of Name Change Free to Print, Save & Download Online Affidavit For Name Change After Marriage In some cases, women change their names to adopt their spouse's last name after marriage and most of the documents contain the maiden name. In this case, an affidavit of change of. In most cases, you must file a petition with your local court to change your name. That previously my name was _____(name before marriage) and after my marriage. Online Affidavit For Name Change After Marriage.
From www.yumpu.com
affidavit for change of name after marriage by a woman applicant Online Affidavit For Name Change After Marriage Typically this is used when a. Sometimes individuals need to make the affidavit after they have changed their name due to marriage. In most cases, you must file a petition with your local court to change your name. Affidavit for change of name after marriage [female] i, _____________________________________ daughter of ___________________________ and wife. I, __________ daughter of _____________ and wife. Online Affidavit For Name Change After Marriage.
From whoamuu.blogspot.com
Name Affidavit Sample HQ Printable Documents Online Affidavit For Name Change After Marriage In most cases, you must file a petition with your local court to change your name. Sometimes individuals need to make the affidavit after they have changed their name due to marriage. Typically this is used when a. I, __________ daughter of _____________ and wife of _________ aged ___, residing at __________________, do hereby solemnly affirm. How to make an. Online Affidavit For Name Change After Marriage.
From www.formsbank.com
Affidavit (For Change Of Name After Marriage) printable pdf download Online Affidavit For Name Change After Marriage Typically this is used when a. How to make an affidavit for name change after marriage? Sometimes individuals need to make the affidavit after they have changed their name due to marriage. In this case, an affidavit of change of. In most cases, you must file a petition with your local court to change your name. I, __________ daughter of. Online Affidavit For Name Change After Marriage.
From www.scribd.com
Affidavit Change Name PDF Affidavit Marriage Online Affidavit For Name Change After Marriage Sometimes individuals need to make the affidavit after they have changed their name due to marriage. I, __________ daughter of _____________ and wife of _________ aged ___, residing at __________________, do hereby solemnly affirm. How to make an affidavit for name change after marriage? In this case, an affidavit of change of. Affidavit for change of name after marriage [female]. Online Affidavit For Name Change After Marriage.
From www.edrafter.in
Joint Affidavit for Marriage Registration Online eDrafter.in Online Affidavit For Name Change After Marriage I, __________ daughter of _____________ and wife of _________ aged ___, residing at __________________, do hereby solemnly affirm. In some cases, women change their names to adopt their spouse's last name after marriage and most of the documents contain the maiden name. Sometimes individuals need to make the affidavit after they have changed their name due to marriage. Typically this. Online Affidavit For Name Change After Marriage.
From www.edrafter.in
PREVIEW FOR AFFIDAVIT FOR NAME CHANGE MINOR CHILD1 eDrafter Online Affidavit For Name Change After Marriage Affidavit for change of name after marriage [female] i, _____________________________________ daughter of ___________________________ and wife. How to make an affidavit for name change after marriage? An affidavit of name change is a signed statement verifying that a person has changed their name. I, __________ daughter of _____________ and wife of _________ aged ___, residing at __________________, do hereby solemnly affirm.. Online Affidavit For Name Change After Marriage.
From mavink.com
Affidavit Of Change Body Online Affidavit For Name Change After Marriage Typically this is used when a. Sometimes individuals need to make the affidavit after they have changed their name due to marriage. In most cases, you must file a petition with your local court to change your name. That previously my name was _____(name before marriage) and after my marriage with _____(husband name) my name has been changed as. I,. Online Affidavit For Name Change After Marriage.
From www.edrafter.in
Name Change after Marriage Affidavit Online eDrafter.in Online Affidavit For Name Change After Marriage Typically this is used when a. I, __________ daughter of _____________ and wife of _________ aged ___, residing at __________________, do hereby solemnly affirm. To do so, you may need to file paperwork and appear before a judge. Sometimes individuals need to make the affidavit after they have changed their name due to marriage. In some cases, women change their. Online Affidavit For Name Change After Marriage.
From www.youtube.com
Affidavit For Change of Name After Marriage YouTube Online Affidavit For Name Change After Marriage In most cases, you must file a petition with your local court to change your name. In this case, an affidavit of change of. That previously my name was _____(name before marriage) and after my marriage with _____(husband name) my name has been changed as. An affidavit of name change is a signed statement verifying that a person has changed. Online Affidavit For Name Change After Marriage.
From ashuninotaryservices.com
How to fill out Affidavit of Name Change & Notarized it Online Affidavit For Name Change After Marriage How to make an affidavit for name change after marriage? Affidavit for change of name after marriage [female] i, _____________________________________ daughter of ___________________________ and wife. I, __________ daughter of _____________ and wife of _________ aged ___, residing at __________________, do hereby solemnly affirm. In this case, an affidavit of change of. In most cases, you must file a petition with. Online Affidavit For Name Change After Marriage.
From www.pdffiller.com
Fillable Online Sample Affidavit for Name Change After Marriage Online Affidavit For Name Change After Marriage To do so, you may need to file paperwork and appear before a judge. How to make an affidavit for name change after marriage? Typically this is used when a. I, __________ daughter of _____________ and wife of _________ aged ___, residing at __________________, do hereby solemnly affirm. In this case, an affidavit of change of. In some cases, women. Online Affidavit For Name Change After Marriage.
From www.pdfrun.com
Fillable Form Affidavit of Name Change After Marriage PDFRun Online Affidavit For Name Change After Marriage To do so, you may need to file paperwork and appear before a judge. That previously my name was _____(name before marriage) and after my marriage with _____(husband name) my name has been changed as. Sometimes individuals need to make the affidavit after they have changed their name due to marriage. I, __________ daughter of _____________ and wife of _________. Online Affidavit For Name Change After Marriage.
From bugacelebrity.blogspot.com
35+ Trends For Affidavit Format For Name Change After Marriage In Word Online Affidavit For Name Change After Marriage That previously my name was _____(name before marriage) and after my marriage with _____(husband name) my name has been changed as. In this case, an affidavit of change of. I, __________ daughter of _____________ and wife of _________ aged ___, residing at __________________, do hereby solemnly affirm. Typically this is used when a. Affidavit for change of name after marriage. Online Affidavit For Name Change After Marriage.