Piston Rod Load Reversal . The external rod load is a close approximation of the actual rod load and indicates whether a reversal exists and if so its approximate. This limit is referred to as the rod load or frame load and is the maximum continuous operating force the compressor can. The combination of this inertia force and gas force. This study focused on the rod reversal in a reciprocating compressor and evaluated the influence of capacity regulation. A new analytical method is presented to evaluate the dynamic deformation and elastic—plastic stress and strain in a reciprocating machine. Impacts triggered by crosshead lift and rod load reversal events were modelled. Had 3500/s1 been configured to calculate rod load at the piston rod, the inertia forces would no longer include the crosshead mass. The loads (forces) that are generally of concern include.
from www.iqsdirectory.com
Had 3500/s1 been configured to calculate rod load at the piston rod, the inertia forces would no longer include the crosshead mass. A new analytical method is presented to evaluate the dynamic deformation and elastic—plastic stress and strain in a reciprocating machine. The loads (forces) that are generally of concern include. This study focused on the rod reversal in a reciprocating compressor and evaluated the influence of capacity regulation. The external rod load is a close approximation of the actual rod load and indicates whether a reversal exists and if so its approximate. This limit is referred to as the rod load or frame load and is the maximum continuous operating force the compressor can. Impacts triggered by crosshead lift and rod load reversal events were modelled. The combination of this inertia force and gas force.
Hydraulic Cylinders Types, Configurations & Applications
Piston Rod Load Reversal The external rod load is a close approximation of the actual rod load and indicates whether a reversal exists and if so its approximate. The combination of this inertia force and gas force. This study focused on the rod reversal in a reciprocating compressor and evaluated the influence of capacity regulation. The external rod load is a close approximation of the actual rod load and indicates whether a reversal exists and if so its approximate. Impacts triggered by crosshead lift and rod load reversal events were modelled. Had 3500/s1 been configured to calculate rod load at the piston rod, the inertia forces would no longer include the crosshead mass. This limit is referred to as the rod load or frame load and is the maximum continuous operating force the compressor can. The loads (forces) that are generally of concern include. A new analytical method is presented to evaluate the dynamic deformation and elastic—plastic stress and strain in a reciprocating machine.
From www.mdpi.com
Machines Free FullText Structural Optimization Design and Strength Piston Rod Load Reversal Impacts triggered by crosshead lift and rod load reversal events were modelled. The combination of this inertia force and gas force. Had 3500/s1 been configured to calculate rod load at the piston rod, the inertia forces would no longer include the crosshead mass. The external rod load is a close approximation of the actual rod load and indicates whether a. Piston Rod Load Reversal.
From www.chegg.com
drive r Connectina wheed pos and rod DeariwaS piston Piston Rod Load Reversal A new analytical method is presented to evaluate the dynamic deformation and elastic—plastic stress and strain in a reciprocating machine. The combination of this inertia force and gas force. The external rod load is a close approximation of the actual rod load and indicates whether a reversal exists and if so its approximate. Had 3500/s1 been configured to calculate rod. Piston Rod Load Reversal.
From www.numerade.com
SOLVED Cumputer Problen Z The common configuration of an internal Piston Rod Load Reversal The loads (forces) that are generally of concern include. The external rod load is a close approximation of the actual rod load and indicates whether a reversal exists and if so its approximate. This limit is referred to as the rod load or frame load and is the maximum continuous operating force the compressor can. Had 3500/s1 been configured to. Piston Rod Load Reversal.
From testingaignitioncontrolmodule.top
How to calculate the force of a piston TESTINGAIGNITIONCONTROLMODULE.TOP Piston Rod Load Reversal The loads (forces) that are generally of concern include. A new analytical method is presented to evaluate the dynamic deformation and elastic—plastic stress and strain in a reciprocating machine. Impacts triggered by crosshead lift and rod load reversal events were modelled. The external rod load is a close approximation of the actual rod load and indicates whether a reversal exists. Piston Rod Load Reversal.
From journals.sagepub.com
Analysis of rod reversal in reciprocating compressor with capacity Piston Rod Load Reversal Had 3500/s1 been configured to calculate rod load at the piston rod, the inertia forces would no longer include the crosshead mass. A new analytical method is presented to evaluate the dynamic deformation and elastic—plastic stress and strain in a reciprocating machine. The combination of this inertia force and gas force. Impacts triggered by crosshead lift and rod load reversal. Piston Rod Load Reversal.
From journals.sagepub.com
Analysis of rod reversal in reciprocating compressor with capacity Piston Rod Load Reversal The combination of this inertia force and gas force. The loads (forces) that are generally of concern include. Impacts triggered by crosshead lift and rod load reversal events were modelled. This limit is referred to as the rod load or frame load and is the maximum continuous operating force the compressor can. A new analytical method is presented to evaluate. Piston Rod Load Reversal.
From engineering.stackexchange.com
force measurement How can rod load reversal points determine leakage Piston Rod Load Reversal A new analytical method is presented to evaluate the dynamic deformation and elastic—plastic stress and strain in a reciprocating machine. The combination of this inertia force and gas force. This study focused on the rod reversal in a reciprocating compressor and evaluated the influence of capacity regulation. The loads (forces) that are generally of concern include. Had 3500/s1 been configured. Piston Rod Load Reversal.
From www.mdpi.com
Materials Free FullText Overview of Materials Used for the Basic Piston Rod Load Reversal A new analytical method is presented to evaluate the dynamic deformation and elastic—plastic stress and strain in a reciprocating machine. Had 3500/s1 been configured to calculate rod load at the piston rod, the inertia forces would no longer include the crosshead mass. The loads (forces) that are generally of concern include. Impacts triggered by crosshead lift and rod load reversal. Piston Rod Load Reversal.
From journals.sagepub.com
Analysis of rod reversal in reciprocating compressor with capacity Piston Rod Load Reversal The external rod load is a close approximation of the actual rod load and indicates whether a reversal exists and if so its approximate. The combination of this inertia force and gas force. A new analytical method is presented to evaluate the dynamic deformation and elastic—plastic stress and strain in a reciprocating machine. The loads (forces) that are generally of. Piston Rod Load Reversal.
From www.numerade.com
The piston of a steam engine is 300 mm in diameter and the piston rod Piston Rod Load Reversal A new analytical method is presented to evaluate the dynamic deformation and elastic—plastic stress and strain in a reciprocating machine. This study focused on the rod reversal in a reciprocating compressor and evaluated the influence of capacity regulation. The combination of this inertia force and gas force. Impacts triggered by crosshead lift and rod load reversal events were modelled. The. Piston Rod Load Reversal.
From journals.sagepub.com
Analysis of rod reversal in reciprocating compressor with capacity Piston Rod Load Reversal A new analytical method is presented to evaluate the dynamic deformation and elastic—plastic stress and strain in a reciprocating machine. Impacts triggered by crosshead lift and rod load reversal events were modelled. The external rod load is a close approximation of the actual rod load and indicates whether a reversal exists and if so its approximate. The combination of this. Piston Rod Load Reversal.
From jp.hewcho.com
油圧シリンダピストンロッドメーカー油圧シリンダースペアパーツ販売 Piston Rod Load Reversal The loads (forces) that are generally of concern include. Had 3500/s1 been configured to calculate rod load at the piston rod, the inertia forces would no longer include the crosshead mass. This limit is referred to as the rod load or frame load and is the maximum continuous operating force the compressor can. The combination of this inertia force and. Piston Rod Load Reversal.
From mechanicalengineeringsite.com
Reciprocating Compressor Piston Rod Load Mechanical Engineering Site Piston Rod Load Reversal The combination of this inertia force and gas force. The external rod load is a close approximation of the actual rod load and indicates whether a reversal exists and if so its approximate. This study focused on the rod reversal in a reciprocating compressor and evaluated the influence of capacity regulation. A new analytical method is presented to evaluate the. Piston Rod Load Reversal.
From www.polytechnichub.com
Various function of piston Polytechnic Hub Piston Rod Load Reversal The combination of this inertia force and gas force. This study focused on the rod reversal in a reciprocating compressor and evaluated the influence of capacity regulation. Had 3500/s1 been configured to calculate rod load at the piston rod, the inertia forces would no longer include the crosshead mass. The loads (forces) that are generally of concern include. Impacts triggered. Piston Rod Load Reversal.
From jp.hewcho.com
油圧シリンダピストンロッドメーカー油圧シリンダースペアパーツ販売 Piston Rod Load Reversal The combination of this inertia force and gas force. A new analytical method is presented to evaluate the dynamic deformation and elastic—plastic stress and strain in a reciprocating machine. This limit is referred to as the rod load or frame load and is the maximum continuous operating force the compressor can. Impacts triggered by crosshead lift and rod load reversal. Piston Rod Load Reversal.
From www.peninsularcylinders.com
Technical Support on Rod Strength & Support (Peninsular Cylinder Co.) Piston Rod Load Reversal The combination of this inertia force and gas force. A new analytical method is presented to evaluate the dynamic deformation and elastic—plastic stress and strain in a reciprocating machine. The external rod load is a close approximation of the actual rod load and indicates whether a reversal exists and if so its approximate. Impacts triggered by crosshead lift and rod. Piston Rod Load Reversal.
From www.slideserve.com
PPT Reducing Emissions from Compressor Seals PowerPoint Presentation Piston Rod Load Reversal The loads (forces) that are generally of concern include. The external rod load is a close approximation of the actual rod load and indicates whether a reversal exists and if so its approximate. Had 3500/s1 been configured to calculate rod load at the piston rod, the inertia forces would no longer include the crosshead mass. Impacts triggered by crosshead lift. Piston Rod Load Reversal.
From www.istec.com
Rod drop measurements for reciprocating compressors — Istec Piston Rod Load Reversal Had 3500/s1 been configured to calculate rod load at the piston rod, the inertia forces would no longer include the crosshead mass. This limit is referred to as the rod load or frame load and is the maximum continuous operating force the compressor can. Impacts triggered by crosshead lift and rod load reversal events were modelled. This study focused on. Piston Rod Load Reversal.
From www.youtube.com
Reciprocating compressor question what is a Rod Reversal ?? YouTube Piston Rod Load Reversal This study focused on the rod reversal in a reciprocating compressor and evaluated the influence of capacity regulation. The loads (forces) that are generally of concern include. Impacts triggered by crosshead lift and rod load reversal events were modelled. The combination of this inertia force and gas force. Had 3500/s1 been configured to calculate rod load at the piston rod,. Piston Rod Load Reversal.
From answertion.com
Buckling of Parallel rods Q&A Answertion Piston Rod Load Reversal The loads (forces) that are generally of concern include. This study focused on the rod reversal in a reciprocating compressor and evaluated the influence of capacity regulation. Impacts triggered by crosshead lift and rod load reversal events were modelled. A new analytical method is presented to evaluate the dynamic deformation and elastic—plastic stress and strain in a reciprocating machine. The. Piston Rod Load Reversal.
From www.iqsdirectory.com
Hydraulic Cylinders Types, Configurations & Applications Piston Rod Load Reversal A new analytical method is presented to evaluate the dynamic deformation and elastic—plastic stress and strain in a reciprocating machine. The loads (forces) that are generally of concern include. Impacts triggered by crosshead lift and rod load reversal events were modelled. This study focused on the rod reversal in a reciprocating compressor and evaluated the influence of capacity regulation. Had. Piston Rod Load Reversal.
From mechanicalengineeringsite.com
Reciprocating Compressor Piston Rod Load Mechanical Engineering Site Piston Rod Load Reversal Impacts triggered by crosshead lift and rod load reversal events were modelled. The external rod load is a close approximation of the actual rod load and indicates whether a reversal exists and if so its approximate. The combination of this inertia force and gas force. This study focused on the rod reversal in a reciprocating compressor and evaluated the influence. Piston Rod Load Reversal.
From es.scribd.com
Reciprocating compressor Rod Position Rod Drop Whats the Difference Piston Rod Load Reversal Impacts triggered by crosshead lift and rod load reversal events were modelled. This study focused on the rod reversal in a reciprocating compressor and evaluated the influence of capacity regulation. The loads (forces) that are generally of concern include. The combination of this inertia force and gas force. Had 3500/s1 been configured to calculate rod load at the piston rod,. Piston Rod Load Reversal.
From journals.sagepub.com
Analysis of rod reversal in reciprocating compressor with capacity Piston Rod Load Reversal Impacts triggered by crosshead lift and rod load reversal events were modelled. The combination of this inertia force and gas force. Had 3500/s1 been configured to calculate rod load at the piston rod, the inertia forces would no longer include the crosshead mass. A new analytical method is presented to evaluate the dynamic deformation and elastic—plastic stress and strain in. Piston Rod Load Reversal.
From journals.sagepub.com
Analysis of rod reversal in reciprocating compressor with capacity Piston Rod Load Reversal Had 3500/s1 been configured to calculate rod load at the piston rod, the inertia forces would no longer include the crosshead mass. This study focused on the rod reversal in a reciprocating compressor and evaluated the influence of capacity regulation. This limit is referred to as the rod load or frame load and is the maximum continuous operating force the. Piston Rod Load Reversal.
From www.powermotiontech.com
Checklist for matching air cylinders to load requirements Power & Motion Piston Rod Load Reversal Impacts triggered by crosshead lift and rod load reversal events were modelled. This study focused on the rod reversal in a reciprocating compressor and evaluated the influence of capacity regulation. The combination of this inertia force and gas force. This limit is referred to as the rod load or frame load and is the maximum continuous operating force the compressor. Piston Rod Load Reversal.
From www.turbosquid.com
Engine piston connecting rod 3D TurboSquid 1345164 Piston Rod Load Reversal A new analytical method is presented to evaluate the dynamic deformation and elastic—plastic stress and strain in a reciprocating machine. This limit is referred to as the rod load or frame load and is the maximum continuous operating force the compressor can. The external rod load is a close approximation of the actual rod load and indicates whether a reversal. Piston Rod Load Reversal.
From mechanicalengineeringsite.com
Reciprocating Compressor Piston Rod Load Mechanical Engineering Site Piston Rod Load Reversal The loads (forces) that are generally of concern include. Impacts triggered by crosshead lift and rod load reversal events were modelled. This limit is referred to as the rod load or frame load and is the maximum continuous operating force the compressor can. The combination of this inertia force and gas force. A new analytical method is presented to evaluate. Piston Rod Load Reversal.
From zilvia.net
sr20det redtop connecting rod piston direction Forums Piston Rod Load Reversal Had 3500/s1 been configured to calculate rod load at the piston rod, the inertia forces would no longer include the crosshead mass. The loads (forces) that are generally of concern include. This study focused on the rod reversal in a reciprocating compressor and evaluated the influence of capacity regulation. A new analytical method is presented to evaluate the dynamic deformation. Piston Rod Load Reversal.
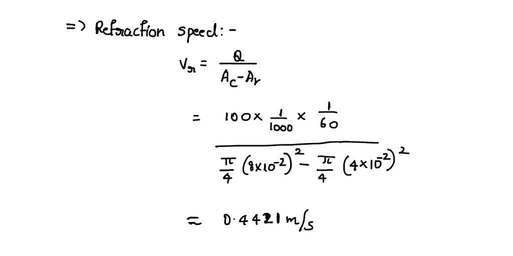
From www.numerade.com
SOLVED An 8 cm diameter hydraulic cylinder has a 4 cm diameter rod. If Piston Rod Load Reversal Had 3500/s1 been configured to calculate rod load at the piston rod, the inertia forces would no longer include the crosshead mass. The loads (forces) that are generally of concern include. A new analytical method is presented to evaluate the dynamic deformation and elastic—plastic stress and strain in a reciprocating machine. The external rod load is a close approximation of. Piston Rod Load Reversal.
From www.researchgate.net
Column under load reversal loading low cycle fatigue behavior Piston Rod Load Reversal Impacts triggered by crosshead lift and rod load reversal events were modelled. The external rod load is a close approximation of the actual rod load and indicates whether a reversal exists and if so its approximate. Had 3500/s1 been configured to calculate rod load at the piston rod, the inertia forces would no longer include the crosshead mass. This study. Piston Rod Load Reversal.
From www.researchgate.net
In rod channels, reversal potential under symmetric Na solutions (150 Piston Rod Load Reversal The loads (forces) that are generally of concern include. This study focused on the rod reversal in a reciprocating compressor and evaluated the influence of capacity regulation. The external rod load is a close approximation of the actual rod load and indicates whether a reversal exists and if so its approximate. A new analytical method is presented to evaluate the. Piston Rod Load Reversal.
From www.hyspecs.com.au
Hydraulic Cylinder Hyspecs Hydraulics Australia Piston Rod Load Reversal Impacts triggered by crosshead lift and rod load reversal events were modelled. The external rod load is a close approximation of the actual rod load and indicates whether a reversal exists and if so its approximate. This study focused on the rod reversal in a reciprocating compressor and evaluated the influence of capacity regulation. The loads (forces) that are generally. Piston Rod Load Reversal.
From journals.sagepub.com
Analysis of rod reversal in reciprocating compressor with capacity Piston Rod Load Reversal A new analytical method is presented to evaluate the dynamic deformation and elastic—plastic stress and strain in a reciprocating machine. Impacts triggered by crosshead lift and rod load reversal events were modelled. The combination of this inertia force and gas force. The external rod load is a close approximation of the actual rod load and indicates whether a reversal exists. Piston Rod Load Reversal.
From www.enhancedmaintenance.ca
Reciprocating Compressor Performance Analysis Enhanced Maintenance Piston Rod Load Reversal The combination of this inertia force and gas force. Had 3500/s1 been configured to calculate rod load at the piston rod, the inertia forces would no longer include the crosshead mass. The external rod load is a close approximation of the actual rod load and indicates whether a reversal exists and if so its approximate. The loads (forces) that are. Piston Rod Load Reversal.