What Is The Concentration Of Vinegar . The concentration of the acetic acid is variable. The determination of acid content in vinegar. Vinegar consists of acetic acid (ch 3 cooh), water, and trace amounts of other chemicals, which may include flavorings. Titration is a way to measure the unknown amount. Molarity is a measurement of the concentration of a solution, expressed as the number of moles of solute per liter of solution. The acetic acid content of vinegar can vary widely, but for table vinegar it typically ranges from 4 to 8 % v/v. In this experiment, a technique known as a titration will be used to determine the concentration of acetic acid in vinegar. So the 5% vinegar you buy in the store. In this science project, you will determine the amount of acid in different vinegars using titration, a common technique in chemistry. During this experiment you will gain experience in working with volumetric glassware, and gain knowledge on how to determine the. When used for pickling, the acetic acid content can be as high as 12 %. Percent acid is defined as the number of grams of acetic acid per 100 ml of vinegar.
from www.slideserve.com
In this experiment, a technique known as a titration will be used to determine the concentration of acetic acid in vinegar. Titration is a way to measure the unknown amount. Molarity is a measurement of the concentration of a solution, expressed as the number of moles of solute per liter of solution. Vinegar consists of acetic acid (ch 3 cooh), water, and trace amounts of other chemicals, which may include flavorings. The concentration of the acetic acid is variable. When used for pickling, the acetic acid content can be as high as 12 %. So the 5% vinegar you buy in the store. In this science project, you will determine the amount of acid in different vinegars using titration, a common technique in chemistry. During this experiment you will gain experience in working with volumetric glassware, and gain knowledge on how to determine the. The acetic acid content of vinegar can vary widely, but for table vinegar it typically ranges from 4 to 8 % v/v.
PPT 14. Production of vinegar PowerPoint Presentation, free download
What Is The Concentration Of Vinegar Percent acid is defined as the number of grams of acetic acid per 100 ml of vinegar. In this science project, you will determine the amount of acid in different vinegars using titration, a common technique in chemistry. In this experiment, a technique known as a titration will be used to determine the concentration of acetic acid in vinegar. Molarity is a measurement of the concentration of a solution, expressed as the number of moles of solute per liter of solution. The concentration of the acetic acid is variable. Vinegar consists of acetic acid (ch 3 cooh), water, and trace amounts of other chemicals, which may include flavorings. The determination of acid content in vinegar. So the 5% vinegar you buy in the store. The acetic acid content of vinegar can vary widely, but for table vinegar it typically ranges from 4 to 8 % v/v. During this experiment you will gain experience in working with volumetric glassware, and gain knowledge on how to determine the. Titration is a way to measure the unknown amount. Percent acid is defined as the number of grams of acetic acid per 100 ml of vinegar. When used for pickling, the acetic acid content can be as high as 12 %.
From www.numerade.com
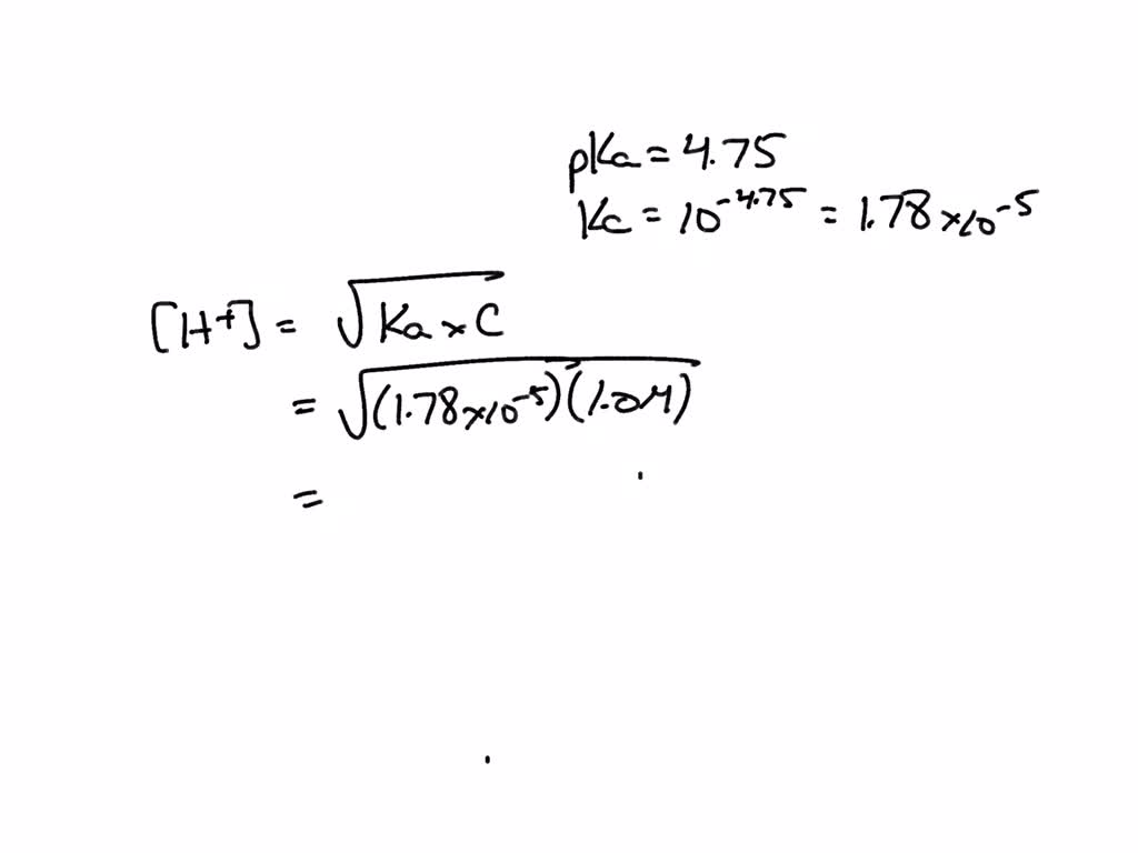
SOLVED The concentration of acetic acid (pKa = 4.75) in vinegar is What Is The Concentration Of Vinegar In this science project, you will determine the amount of acid in different vinegars using titration, a common technique in chemistry. Vinegar consists of acetic acid (ch 3 cooh), water, and trace amounts of other chemicals, which may include flavorings. Titration is a way to measure the unknown amount. So the 5% vinegar you buy in the store. During this. What Is The Concentration Of Vinegar.
From www.chegg.com
Solved For the titration of vinegar, a dilution of 120 was What Is The Concentration Of Vinegar Vinegar consists of acetic acid (ch 3 cooh), water, and trace amounts of other chemicals, which may include flavorings. Molarity is a measurement of the concentration of a solution, expressed as the number of moles of solute per liter of solution. When used for pickling, the acetic acid content can be as high as 12 %. In this experiment, a. What Is The Concentration Of Vinegar.
From www.numerade.com
SOLVED Suppose you are titrating vinegar, which is an acetic acid What Is The Concentration Of Vinegar Molarity is a measurement of the concentration of a solution, expressed as the number of moles of solute per liter of solution. So the 5% vinegar you buy in the store. Titration is a way to measure the unknown amount. When used for pickling, the acetic acid content can be as high as 12 %. In this science project, you. What Is The Concentration Of Vinegar.
From www.youtube.com
The pH of a sample of vinegar is 3.76. Calculate the concentration of What Is The Concentration Of Vinegar In this science project, you will determine the amount of acid in different vinegars using titration, a common technique in chemistry. When used for pickling, the acetic acid content can be as high as 12 %. The concentration of the acetic acid is variable. The acetic acid content of vinegar can vary widely, but for table vinegar it typically ranges. What Is The Concentration Of Vinegar.
From www.chegg.com
Solved Data Table 1 Titration of Vinegar with NaOH Vinegar What Is The Concentration Of Vinegar So the 5% vinegar you buy in the store. The determination of acid content in vinegar. In this science project, you will determine the amount of acid in different vinegars using titration, a common technique in chemistry. Percent acid is defined as the number of grams of acetic acid per 100 ml of vinegar. When used for pickling, the acetic. What Is The Concentration Of Vinegar.
From medium.com
Experiment to Determine the Concentration of Acetic Acid in Vinegar What Is The Concentration Of Vinegar So the 5% vinegar you buy in the store. Percent acid is defined as the number of grams of acetic acid per 100 ml of vinegar. The acetic acid content of vinegar can vary widely, but for table vinegar it typically ranges from 4 to 8 % v/v. The determination of acid content in vinegar. Vinegar consists of acetic acid. What Is The Concentration Of Vinegar.
From www.bartleby.com
Answered How would the concentration of the… bartleby What Is The Concentration Of Vinegar During this experiment you will gain experience in working with volumetric glassware, and gain knowledge on how to determine the. In this experiment, a technique known as a titration will be used to determine the concentration of acetic acid in vinegar. So the 5% vinegar you buy in the store. In this science project, you will determine the amount of. What Is The Concentration Of Vinegar.
From www.chegg.com
Solved A food chemist determines the concentration of acetic What Is The Concentration Of Vinegar The determination of acid content in vinegar. Percent acid is defined as the number of grams of acetic acid per 100 ml of vinegar. When used for pickling, the acetic acid content can be as high as 12 %. The acetic acid content of vinegar can vary widely, but for table vinegar it typically ranges from 4 to 8 %. What Is The Concentration Of Vinegar.
From www.chemicals.co.uk
What Is Ethanoic Acid? The Chemistry Blog What Is The Concentration Of Vinegar So the 5% vinegar you buy in the store. Titration is a way to measure the unknown amount. The concentration of the acetic acid is variable. In this experiment, a technique known as a titration will be used to determine the concentration of acetic acid in vinegar. In this science project, you will determine the amount of acid in different. What Is The Concentration Of Vinegar.
From solvedlib.com
How to find the concentration of CH3COOH in vinegar i… SolvedLib What Is The Concentration Of Vinegar When used for pickling, the acetic acid content can be as high as 12 %. Percent acid is defined as the number of grams of acetic acid per 100 ml of vinegar. The determination of acid content in vinegar. In this experiment, a technique known as a titration will be used to determine the concentration of acetic acid in vinegar.. What Is The Concentration Of Vinegar.
From www.numerade.com
Titration for Acetic Acid in Vinegar Lab Report Exercise 1 What Is The Concentration Of Vinegar During this experiment you will gain experience in working with volumetric glassware, and gain knowledge on how to determine the. So the 5% vinegar you buy in the store. Vinegar consists of acetic acid (ch 3 cooh), water, and trace amounts of other chemicals, which may include flavorings. Percent acid is defined as the number of grams of acetic acid. What Is The Concentration Of Vinegar.
From www.chegg.com
Solved What is the molar concentration of acetic acid in the What Is The Concentration Of Vinegar Vinegar consists of acetic acid (ch 3 cooh), water, and trace amounts of other chemicals, which may include flavorings. Molarity is a measurement of the concentration of a solution, expressed as the number of moles of solute per liter of solution. The determination of acid content in vinegar. The acetic acid content of vinegar can vary widely, but for table. What Is The Concentration Of Vinegar.
From www.numerade.com
SOLVED40 Vinegar contains ethanoic acid, CH,COOH What is the molarity What Is The Concentration Of Vinegar Molarity is a measurement of the concentration of a solution, expressed as the number of moles of solute per liter of solution. The determination of acid content in vinegar. In this experiment, a technique known as a titration will be used to determine the concentration of acetic acid in vinegar. The concentration of the acetic acid is variable. During this. What Is The Concentration Of Vinegar.
From delishably.com
Which Brand of Apple Cider Vinegar Should I Buy? Delishably What Is The Concentration Of Vinegar The concentration of the acetic acid is variable. Molarity is a measurement of the concentration of a solution, expressed as the number of moles of solute per liter of solution. The acetic acid content of vinegar can vary widely, but for table vinegar it typically ranges from 4 to 8 % v/v. Percent acid is defined as the number of. What Is The Concentration Of Vinegar.
From www.numerade.com
SOLVEDA food chemist determines the concentration of acetic acid in a What Is The Concentration Of Vinegar When used for pickling, the acetic acid content can be as high as 12 %. Percent acid is defined as the number of grams of acetic acid per 100 ml of vinegar. The determination of acid content in vinegar. During this experiment you will gain experience in working with volumetric glassware, and gain knowledge on how to determine the. Titration. What Is The Concentration Of Vinegar.
From mugeek.vidalondon.net
Chemical Makeup Of Vinegar Mugeek Vidalondon What Is The Concentration Of Vinegar Vinegar consists of acetic acid (ch 3 cooh), water, and trace amounts of other chemicals, which may include flavorings. When used for pickling, the acetic acid content can be as high as 12 %. The acetic acid content of vinegar can vary widely, but for table vinegar it typically ranges from 4 to 8 % v/v. In this experiment, a. What Is The Concentration Of Vinegar.
From www.chegg.com
Solved CHEMISTRY. TITRATION OF VINEGAR NTRODUCTION What Is The Concentration Of Vinegar During this experiment you will gain experience in working with volumetric glassware, and gain knowledge on how to determine the. The determination of acid content in vinegar. In this experiment, a technique known as a titration will be used to determine the concentration of acetic acid in vinegar. Percent acid is defined as the number of grams of acetic acid. What Is The Concentration Of Vinegar.
From www.numerade.com
SOLVED 5. The titration of 20 mL vinegar sample requires 71.05 mL of What Is The Concentration Of Vinegar The concentration of the acetic acid is variable. The acetic acid content of vinegar can vary widely, but for table vinegar it typically ranges from 4 to 8 % v/v. When used for pickling, the acetic acid content can be as high as 12 %. Vinegar consists of acetic acid (ch 3 cooh), water, and trace amounts of other chemicals,. What Is The Concentration Of Vinegar.
From www.vrogue.co
Acid Base Titration A Concentration Of Acetic Acid In vrogue.co What Is The Concentration Of Vinegar Percent acid is defined as the number of grams of acetic acid per 100 ml of vinegar. In this experiment, a technique known as a titration will be used to determine the concentration of acetic acid in vinegar. Vinegar consists of acetic acid (ch 3 cooh), water, and trace amounts of other chemicals, which may include flavorings. The determination of. What Is The Concentration Of Vinegar.
From www.vrogue.co
Acid Base Titration A Concentration Of Acetic Acid In vrogue.co What Is The Concentration Of Vinegar Molarity is a measurement of the concentration of a solution, expressed as the number of moles of solute per liter of solution. The concentration of the acetic acid is variable. In this science project, you will determine the amount of acid in different vinegars using titration, a common technique in chemistry. The determination of acid content in vinegar. Titration is. What Is The Concentration Of Vinegar.
From www.numerade.com
SOLVED Reaction of Vinegar and Baking Soda with Cabbage Juice What What Is The Concentration Of Vinegar The determination of acid content in vinegar. During this experiment you will gain experience in working with volumetric glassware, and gain knowledge on how to determine the. In this experiment, a technique known as a titration will be used to determine the concentration of acetic acid in vinegar. Percent acid is defined as the number of grams of acetic acid. What Is The Concentration Of Vinegar.
From www.chegg.com
Solved Titration for Acetic Acid in Vinegar Lab Report What Is The Concentration Of Vinegar So the 5% vinegar you buy in the store. During this experiment you will gain experience in working with volumetric glassware, and gain knowledge on how to determine the. In this experiment, a technique known as a titration will be used to determine the concentration of acetic acid in vinegar. In this science project, you will determine the amount of. What Is The Concentration Of Vinegar.
From www.numerade.com
SOLVED 'Prelaboratory Questions A student wants to calculate the What Is The Concentration Of Vinegar The acetic acid content of vinegar can vary widely, but for table vinegar it typically ranges from 4 to 8 % v/v. In this science project, you will determine the amount of acid in different vinegars using titration, a common technique in chemistry. Molarity is a measurement of the concentration of a solution, expressed as the number of moles of. What Is The Concentration Of Vinegar.
From www.numerade.com
SOLVED can you explain the analysis of household vinegar lab in the What Is The Concentration Of Vinegar Molarity is a measurement of the concentration of a solution, expressed as the number of moles of solute per liter of solution. In this science project, you will determine the amount of acid in different vinegars using titration, a common technique in chemistry. When used for pickling, the acetic acid content can be as high as 12 %. The concentration. What Is The Concentration Of Vinegar.
From brainly.com
Standard vinegar solutions are about 5 acetic acid by mass. What is What Is The Concentration Of Vinegar When used for pickling, the acetic acid content can be as high as 12 %. The acetic acid content of vinegar can vary widely, but for table vinegar it typically ranges from 4 to 8 % v/v. The concentration of the acetic acid is variable. The determination of acid content in vinegar. In this science project, you will determine the. What Is The Concentration Of Vinegar.
From www.slideserve.com
PPT 14. Production of vinegar PowerPoint Presentation, free download What Is The Concentration Of Vinegar Percent acid is defined as the number of grams of acetic acid per 100 ml of vinegar. During this experiment you will gain experience in working with volumetric glassware, and gain knowledge on how to determine the. Molarity is a measurement of the concentration of a solution, expressed as the number of moles of solute per liter of solution. The. What Is The Concentration Of Vinegar.
From www.ubicaciondepersonas.cdmx.gob.mx
Heinz All Natural Apple Cider Vinegar With 5 Acidity 32 Fl Oz Bottle What Is The Concentration Of Vinegar The determination of acid content in vinegar. Titration is a way to measure the unknown amount. In this experiment, a technique known as a titration will be used to determine the concentration of acetic acid in vinegar. The acetic acid content of vinegar can vary widely, but for table vinegar it typically ranges from 4 to 8 % v/v. The. What Is The Concentration Of Vinegar.
From chem.libretexts.org
4.5 Concentration of Solutions Chemistry LibreTexts What Is The Concentration Of Vinegar When used for pickling, the acetic acid content can be as high as 12 %. So the 5% vinegar you buy in the store. Vinegar consists of acetic acid (ch 3 cooh), water, and trace amounts of other chemicals, which may include flavorings. The acetic acid content of vinegar can vary widely, but for table vinegar it typically ranges from. What Is The Concentration Of Vinegar.
From www.chegg.com
Solved TITRATION CONCENTRATION OF VINEGAR INTRODUCTION What Is The Concentration Of Vinegar The determination of acid content in vinegar. Vinegar consists of acetic acid (ch 3 cooh), water, and trace amounts of other chemicals, which may include flavorings. Molarity is a measurement of the concentration of a solution, expressed as the number of moles of solute per liter of solution. Percent acid is defined as the number of grams of acetic acid. What Is The Concentration Of Vinegar.
From www.thinkswap.com
Acid Concentration of Vinegar Investigation Chemistry Year 11 SACE What Is The Concentration Of Vinegar So the 5% vinegar you buy in the store. The determination of acid content in vinegar. The acetic acid content of vinegar can vary widely, but for table vinegar it typically ranges from 4 to 8 % v/v. In this science project, you will determine the amount of acid in different vinegars using titration, a common technique in chemistry. Titration. What Is The Concentration Of Vinegar.
From mathematics-chemistry.blogspot.com
Online Mathematics and Chemistry Help 10.00 mL of vinegar (mass=10.05 What Is The Concentration Of Vinegar Vinegar consists of acetic acid (ch 3 cooh), water, and trace amounts of other chemicals, which may include flavorings. So the 5% vinegar you buy in the store. Percent acid is defined as the number of grams of acetic acid per 100 ml of vinegar. Molarity is a measurement of the concentration of a solution, expressed as the number of. What Is The Concentration Of Vinegar.
From www.chegg.com
Solved Determination of Acetic Acid Concentration in Vinegar What Is The Concentration Of Vinegar The concentration of the acetic acid is variable. Vinegar consists of acetic acid (ch 3 cooh), water, and trace amounts of other chemicals, which may include flavorings. Molarity is a measurement of the concentration of a solution, expressed as the number of moles of solute per liter of solution. Percent acid is defined as the number of grams of acetic. What Is The Concentration Of Vinegar.
From www.yubrain.com
What is the chemical composition of vinegar? What Is The Concentration Of Vinegar In this experiment, a technique known as a titration will be used to determine the concentration of acetic acid in vinegar. In this science project, you will determine the amount of acid in different vinegars using titration, a common technique in chemistry. Vinegar consists of acetic acid (ch 3 cooh), water, and trace amounts of other chemicals, which may include. What Is The Concentration Of Vinegar.
From www.numerade.com
SOLVED How do I find the Concentration of Vinegar? 5mL of vinegar was What Is The Concentration Of Vinegar Vinegar consists of acetic acid (ch 3 cooh), water, and trace amounts of other chemicals, which may include flavorings. Molarity is a measurement of the concentration of a solution, expressed as the number of moles of solute per liter of solution. The acetic acid content of vinegar can vary widely, but for table vinegar it typically ranges from 4 to. What Is The Concentration Of Vinegar.
From www.heinz.com
Distilled White Vinegar with 5 Acidity Products Heinz® What Is The Concentration Of Vinegar Molarity is a measurement of the concentration of a solution, expressed as the number of moles of solute per liter of solution. The determination of acid content in vinegar. Percent acid is defined as the number of grams of acetic acid per 100 ml of vinegar. The concentration of the acetic acid is variable. In this science project, you will. What Is The Concentration Of Vinegar.