Materials Science Bls . material science is concerned with understanding the structure, properties, and processing of materials at the atomic and molecular scale. research and study the structures and chemical properties of various natural and synthetic or composite materials,. materials science and engineering seeks to understand the fundamental physical origins of material behavior in order to optimize properties of existing. That's about 24% of the current labor force. a materials scientist is a professional who analyzes the structure and chemical properties of natural and. materials scientists and engineers develop materials, like metals, ceramics, polymers, and composites, that other engineers need. chemists and materials scientists research and analyze the chemical properties of substances to. bls estimates that 35 million workers will leave their jobs over the next 10 years;
from paheld.com
material science is concerned with understanding the structure, properties, and processing of materials at the atomic and molecular scale. chemists and materials scientists research and analyze the chemical properties of substances to. a materials scientist is a professional who analyzes the structure and chemical properties of natural and. That's about 24% of the current labor force. bls estimates that 35 million workers will leave their jobs over the next 10 years; materials science and engineering seeks to understand the fundamental physical origins of material behavior in order to optimize properties of existing. materials scientists and engineers develop materials, like metals, ceramics, polymers, and composites, that other engineers need. research and study the structures and chemical properties of various natural and synthetic or composite materials,.
Materials Science and Engineering BEng Study (2023)
Materials Science Bls materials scientists and engineers develop materials, like metals, ceramics, polymers, and composites, that other engineers need. materials science and engineering seeks to understand the fundamental physical origins of material behavior in order to optimize properties of existing. materials scientists and engineers develop materials, like metals, ceramics, polymers, and composites, that other engineers need. material science is concerned with understanding the structure, properties, and processing of materials at the atomic and molecular scale. That's about 24% of the current labor force. a materials scientist is a professional who analyzes the structure and chemical properties of natural and. research and study the structures and chemical properties of various natural and synthetic or composite materials,. bls estimates that 35 million workers will leave their jobs over the next 10 years; chemists and materials scientists research and analyze the chemical properties of substances to.
From www.mkscienceset.com
MK Science Set Publishers Materials Science Bls materials scientists and engineers develop materials, like metals, ceramics, polymers, and composites, that other engineers need. material science is concerned with understanding the structure, properties, and processing of materials at the atomic and molecular scale. That's about 24% of the current labor force. a materials scientist is a professional who analyzes the structure and chemical properties of. Materials Science Bls.
From www.goodreads.com
Fundamentals of Materials Science and Engineering An Integrated Materials Science Bls materials science and engineering seeks to understand the fundamental physical origins of material behavior in order to optimize properties of existing. materials scientists and engineers develop materials, like metals, ceramics, polymers, and composites, that other engineers need. a materials scientist is a professional who analyzes the structure and chemical properties of natural and. material science is. Materials Science Bls.
From blsfhui.com
BLS Study Materials Hukum Kebendaan Perdata Business Law Society FH UI Materials Science Bls a materials scientist is a professional who analyzes the structure and chemical properties of natural and. materials science and engineering seeks to understand the fundamental physical origins of material behavior in order to optimize properties of existing. materials scientists and engineers develop materials, like metals, ceramics, polymers, and composites, that other engineers need. chemists and materials. Materials Science Bls.
From www.youtube.com
Future of Research in Material Science Dr. Samvit Menon Material Materials Science Bls chemists and materials scientists research and analyze the chemical properties of substances to. That's about 24% of the current labor force. materials scientists and engineers develop materials, like metals, ceramics, polymers, and composites, that other engineers need. bls estimates that 35 million workers will leave their jobs over the next 10 years; a materials scientist is. Materials Science Bls.
From www.nist.gov
Artificial Intelligence for Materials Science (AIMS) NIST Materials Science Bls research and study the structures and chemical properties of various natural and synthetic or composite materials,. materials scientists and engineers develop materials, like metals, ceramics, polymers, and composites, that other engineers need. materials science and engineering seeks to understand the fundamental physical origins of material behavior in order to optimize properties of existing. That's about 24% of. Materials Science Bls.
From www.keycpr.com
Basic Life Support (BLS) American Red Cross Same Day Certification Materials Science Bls research and study the structures and chemical properties of various natural and synthetic or composite materials,. materials science and engineering seeks to understand the fundamental physical origins of material behavior in order to optimize properties of existing. chemists and materials scientists research and analyze the chemical properties of substances to. bls estimates that 35 million workers. Materials Science Bls.
From research.com
World Online Ranking of Best Materials Scientists 2023 Report Materials Science Bls materials scientists and engineers develop materials, like metals, ceramics, polymers, and composites, that other engineers need. materials science and engineering seeks to understand the fundamental physical origins of material behavior in order to optimize properties of existing. bls estimates that 35 million workers will leave their jobs over the next 10 years; a materials scientist is. Materials Science Bls.
From www.mostrecommendedbooks.com
12 Best Materials Science Books (Definitive Ranking) Materials Science Bls a materials scientist is a professional who analyzes the structure and chemical properties of natural and. materials scientists and engineers develop materials, like metals, ceramics, polymers, and composites, that other engineers need. That's about 24% of the current labor force. material science is concerned with understanding the structure, properties, and processing of materials at the atomic and. Materials Science Bls.
From www.flipkart.com
MATERIALS SCIENCE & ENGINEERINGS 4/E by Smith William FEnglishTata Materials Science Bls bls estimates that 35 million workers will leave their jobs over the next 10 years; That's about 24% of the current labor force. chemists and materials scientists research and analyze the chemical properties of substances to. materials scientists and engineers develop materials, like metals, ceramics, polymers, and composites, that other engineers need. materials science and engineering. Materials Science Bls.
From partnerships.nature.com
Reach A Materials Science Audience Nature Research Partnerships Materials Science Bls materials scientists and engineers develop materials, like metals, ceramics, polymers, and composites, that other engineers need. That's about 24% of the current labor force. bls estimates that 35 million workers will leave their jobs over the next 10 years; chemists and materials scientists research and analyze the chemical properties of substances to. research and study the. Materials Science Bls.
From www.mdpi.com
Nanomaterials Free FullText A Review of Performance Prediction Materials Science Bls a materials scientist is a professional who analyzes the structure and chemical properties of natural and. That's about 24% of the current labor force. materials science and engineering seeks to understand the fundamental physical origins of material behavior in order to optimize properties of existing. bls estimates that 35 million workers will leave their jobs over the. Materials Science Bls.
From ar.inspiredpencil.com
Material Science Topics Materials Science Bls research and study the structures and chemical properties of various natural and synthetic or composite materials,. materials scientists and engineers develop materials, like metals, ceramics, polymers, and composites, that other engineers need. a materials scientist is a professional who analyzes the structure and chemical properties of natural and. chemists and materials scientists research and analyze the. Materials Science Bls.
From www.studocu.com
2022 BLS Handbook Material de repaso BLS 2020 2025 Directrices y Materials Science Bls material science is concerned with understanding the structure, properties, and processing of materials at the atomic and molecular scale. research and study the structures and chemical properties of various natural and synthetic or composite materials,. chemists and materials scientists research and analyze the chemical properties of substances to. bls estimates that 35 million workers will leave. Materials Science Bls.
From paheld.com
Materials Science and Engineering BEng Study (2023) Materials Science Bls That's about 24% of the current labor force. materials science and engineering seeks to understand the fundamental physical origins of material behavior in order to optimize properties of existing. material science is concerned with understanding the structure, properties, and processing of materials at the atomic and molecular scale. materials scientists and engineers develop materials, like metals, ceramics,. Materials Science Bls.
From www.dreamstime.com
Materials Science with Structure and Properties Research Outline Materials Science Bls materials science and engineering seeks to understand the fundamental physical origins of material behavior in order to optimize properties of existing. That's about 24% of the current labor force. research and study the structures and chemical properties of various natural and synthetic or composite materials,. a materials scientist is a professional who analyzes the structure and chemical. Materials Science Bls.
From books.openedition.org
The Science of Materials from Materials Discovered by Chance to Materials Science Bls material science is concerned with understanding the structure, properties, and processing of materials at the atomic and molecular scale. a materials scientist is a professional who analyzes the structure and chemical properties of natural and. research and study the structures and chemical properties of various natural and synthetic or composite materials,. That's about 24% of the current. Materials Science Bls.
From t4awstest.cc.ic.ac.uk
Materials Science and Engineering MEng Study Imperial College London Materials Science Bls material science is concerned with understanding the structure, properties, and processing of materials at the atomic and molecular scale. materials scientists and engineers develop materials, like metals, ceramics, polymers, and composites, that other engineers need. bls estimates that 35 million workers will leave their jobs over the next 10 years; research and study the structures and. Materials Science Bls.
From www.wileydirect.com.au
Materials Science and Engineering An Introduction, 10th Edition 65 Materials Science Bls materials scientists and engineers develop materials, like metals, ceramics, polymers, and composites, that other engineers need. material science is concerned with understanding the structure, properties, and processing of materials at the atomic and molecular scale. materials science and engineering seeks to understand the fundamental physical origins of material behavior in order to optimize properties of existing. . Materials Science Bls.
From www.bruker.com
Material science applications of dnp Bruker Materials Science Bls chemists and materials scientists research and analyze the chemical properties of substances to. bls estimates that 35 million workers will leave their jobs over the next 10 years; research and study the structures and chemical properties of various natural and synthetic or composite materials,. material science is concerned with understanding the structure, properties, and processing of. Materials Science Bls.
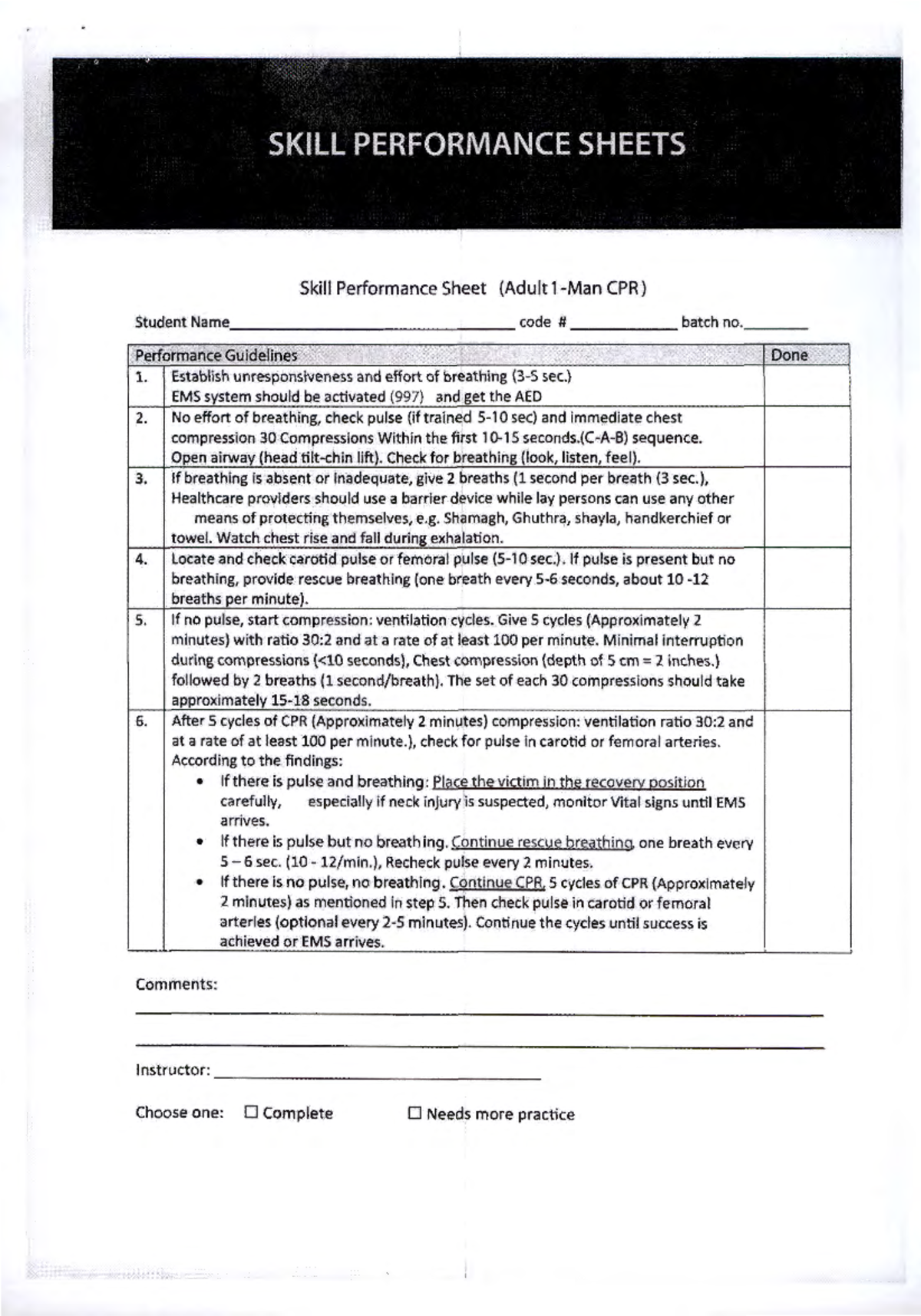
From www.studocu.com
BLS Skill Performance Sheets Reading Material Skill Performance Sheet Materials Science Bls materials scientists and engineers develop materials, like metals, ceramics, polymers, and composites, that other engineers need. bls estimates that 35 million workers will leave their jobs over the next 10 years; materials science and engineering seeks to understand the fundamental physical origins of material behavior in order to optimize properties of existing. That's about 24% of the. Materials Science Bls.
From www.materialseducation.com
Materials Education Symposia Materials Science Bls chemists and materials scientists research and analyze the chemical properties of substances to. research and study the structures and chemical properties of various natural and synthetic or composite materials,. materials scientists and engineers develop materials, like metals, ceramics, polymers, and composites, that other engineers need. materials science and engineering seeks to understand the fundamental physical origins. Materials Science Bls.
From www.udel.edu
How I Teach — Materials science and engineering UDaily Materials Science Bls materials science and engineering seeks to understand the fundamental physical origins of material behavior in order to optimize properties of existing. bls estimates that 35 million workers will leave their jobs over the next 10 years; research and study the structures and chemical properties of various natural and synthetic or composite materials,. That's about 24% of the. Materials Science Bls.
From www.researchgate.net
(a) Scheme of materials science and engineering research framework Materials Science Bls materials science and engineering seeks to understand the fundamental physical origins of material behavior in order to optimize properties of existing. chemists and materials scientists research and analyze the chemical properties of substances to. material science is concerned with understanding the structure, properties, and processing of materials at the atomic and molecular scale. research and study. Materials Science Bls.
From www.nature.com
Top 100 in Materials Science Materials Science Bls material science is concerned with understanding the structure, properties, and processing of materials at the atomic and molecular scale. That's about 24% of the current labor force. bls estimates that 35 million workers will leave their jobs over the next 10 years; a materials scientist is a professional who analyzes the structure and chemical properties of natural. Materials Science Bls.
From www.studocu.com
BLS 2020 Equipment List BLS Equipment List Course Materials • Course Materials Science Bls materials scientists and engineers develop materials, like metals, ceramics, polymers, and composites, that other engineers need. bls estimates that 35 million workers will leave their jobs over the next 10 years; material science is concerned with understanding the structure, properties, and processing of materials at the atomic and molecular scale. materials science and engineering seeks to. Materials Science Bls.
From stock.adobe.com
Materials science as knowledge about properties and structure outline Materials Science Bls material science is concerned with understanding the structure, properties, and processing of materials at the atomic and molecular scale. That's about 24% of the current labor force. a materials scientist is a professional who analyzes the structure and chemical properties of natural and. materials science and engineering seeks to understand the fundamental physical origins of material behavior. Materials Science Bls.
From issuu.com
Introduction to Materials Science for Engineers 8th Edition Shackelford Materials Science Bls material science is concerned with understanding the structure, properties, and processing of materials at the atomic and molecular scale. That's about 24% of the current labor force. bls estimates that 35 million workers will leave their jobs over the next 10 years; materials scientists and engineers develop materials, like metals, ceramics, polymers, and composites, that other engineers. Materials Science Bls.
From www.degruyter.com
Materials Science Materials Science Bls material science is concerned with understanding the structure, properties, and processing of materials at the atomic and molecular scale. materials scientists and engineers develop materials, like metals, ceramics, polymers, and composites, that other engineers need. bls estimates that 35 million workers will leave their jobs over the next 10 years; research and study the structures and. Materials Science Bls.
From giozuulsa.blob.core.windows.net
Materials Science And Engineering Msu at Karen Mansfield blog Materials Science Bls material science is concerned with understanding the structure, properties, and processing of materials at the atomic and molecular scale. materials scientists and engineers develop materials, like metals, ceramics, polymers, and composites, that other engineers need. chemists and materials scientists research and analyze the chemical properties of substances to. materials science and engineering seeks to understand the. Materials Science Bls.
From blog.dol.gov
FastGrowing Science Occupations U.S. Department of Labor Blog Materials Science Bls research and study the structures and chemical properties of various natural and synthetic or composite materials,. bls estimates that 35 million workers will leave their jobs over the next 10 years; a materials scientist is a professional who analyzes the structure and chemical properties of natural and. material science is concerned with understanding the structure, properties,. Materials Science Bls.
From www.scribd.com
Final Sept 2023 AHA ACLS & BLS Poster PDF Materials Science Bls chemists and materials scientists research and analyze the chemical properties of substances to. That's about 24% of the current labor force. materials scientists and engineers develop materials, like metals, ceramics, polymers, and composites, that other engineers need. research and study the structures and chemical properties of various natural and synthetic or composite materials,. material science is. Materials Science Bls.
From www.pinterest.com
callister's materials science and engineering Materials science and Materials Science Bls bls estimates that 35 million workers will leave their jobs over the next 10 years; a materials scientist is a professional who analyzes the structure and chemical properties of natural and. That's about 24% of the current labor force. materials scientists and engineers develop materials, like metals, ceramics, polymers, and composites, that other engineers need. chemists. Materials Science Bls.
From surefirecpr.com
BLS CPR Updates! SureFire CPR Materials Science Bls a materials scientist is a professional who analyzes the structure and chemical properties of natural and. materials scientists and engineers develop materials, like metals, ceramics, polymers, and composites, that other engineers need. bls estimates that 35 million workers will leave their jobs over the next 10 years; materials science and engineering seeks to understand the fundamental. Materials Science Bls.
From www.mcrmedical.com
BLS Instructor Materials, AHA MCR Medical Materials Science Bls bls estimates that 35 million workers will leave their jobs over the next 10 years; That's about 24% of the current labor force. a materials scientist is a professional who analyzes the structure and chemical properties of natural and. chemists and materials scientists research and analyze the chemical properties of substances to. research and study the. Materials Science Bls.
From elkeqdorella.pages.dev
Aha Bls Test Answers 2024 Fayre Jenilee Materials Science Bls research and study the structures and chemical properties of various natural and synthetic or composite materials,. a materials scientist is a professional who analyzes the structure and chemical properties of natural and. materials science and engineering seeks to understand the fundamental physical origins of material behavior in order to optimize properties of existing. bls estimates that. Materials Science Bls.