Rate Constant K=2.303 Min^-1 For A Particular Reaction . Correct answer is (b) 0.2303m min−1. The initial concentration of the reaction is 1 mole/litre, then. For a first order reaction, k =. The initial concentration of the reactant is 1 mol /. Rate constant k = 2.303 min − 1 for a particular reaction. The initial concentration of the reactant is 1 mol`//`litre then rate of reaction after. The initial concentration of reaction is $1 \mathrm{~mol} /$ litre then rate of. The correct option is b 0.2303 mmin−1. Since the unit of rate constant is min−1, thus it is a first order reaction. The initial concentration of the reaction is 1 mol litre − 1, then the rate of reaction after 1. Solution for rate constant k is 2.303 min−1 for a particular reaction.
from askfilo.com
The initial concentration of the reactant is 1 mol /. Rate constant k = 2.303 min − 1 for a particular reaction. The initial concentration of reaction is $1 \mathrm{~mol} /$ litre then rate of. Since the unit of rate constant is min−1, thus it is a first order reaction. Correct answer is (b) 0.2303m min−1. The initial concentration of the reaction is 1 mole/litre, then. The initial concentration of the reactant is 1 mol`//`litre then rate of reaction after. The initial concentration of the reaction is 1 mol litre − 1, then the rate of reaction after 1. For a first order reaction, k =. The correct option is b 0.2303 mmin−1.
Rate constant k for a first order reaction has been found to be 2.54×10−3..
Rate Constant K=2.303 Min^-1 For A Particular Reaction Rate constant k = 2.303 min − 1 for a particular reaction. Correct answer is (b) 0.2303m min−1. The initial concentration of the reaction is 1 mole/litre, then. The initial concentration of reaction is $1 \mathrm{~mol} /$ litre then rate of. The correct option is b 0.2303 mmin−1. Rate constant k = 2.303 min − 1 for a particular reaction. For a first order reaction, k =. The initial concentration of the reactant is 1 mol`//`litre then rate of reaction after. The initial concentration of the reaction is 1 mol litre − 1, then the rate of reaction after 1. Solution for rate constant k is 2.303 min−1 for a particular reaction. Since the unit of rate constant is min−1, thus it is a first order reaction. The initial concentration of the reactant is 1 mol /.
From www.toppr.com
Rate constant k = 2.303 min^1 for a particular reaction.The initial Rate Constant K=2.303 Min^-1 For A Particular Reaction The initial concentration of the reaction is 1 mole/litre, then. Solution for rate constant k is 2.303 min−1 for a particular reaction. The initial concentration of the reactant is 1 mol`//`litre then rate of reaction after. The initial concentration of the reaction is 1 mol litre − 1, then the rate of reaction after 1. For a first order reaction,. Rate Constant K=2.303 Min^-1 For A Particular Reaction.
From www.toppr.com
Rate constant k = 2.303 min^1 for a particular reaction.The initial Rate Constant K=2.303 Min^-1 For A Particular Reaction Rate constant k = 2.303 min − 1 for a particular reaction. The initial concentration of reaction is $1 \mathrm{~mol} /$ litre then rate of. Solution for rate constant k is 2.303 min−1 for a particular reaction. The initial concentration of the reaction is 1 mol litre − 1, then the rate of reaction after 1. The initial concentration of. Rate Constant K=2.303 Min^-1 For A Particular Reaction.
From www.toppr.com
For a reaction, the rate constant a particular temperature has a value Rate Constant K=2.303 Min^-1 For A Particular Reaction The initial concentration of the reactant is 1 mol /. For a first order reaction, k =. The initial concentration of the reactant is 1 mol`//`litre then rate of reaction after. Correct answer is (b) 0.2303m min−1. The initial concentration of the reaction is 1 mole/litre, then. The initial concentration of reaction is $1 \mathrm{~mol} /$ litre then rate of.. Rate Constant K=2.303 Min^-1 For A Particular Reaction.
From www.youtube.com
Determine the rate constant (k) for a reaction YouTube Rate Constant K=2.303 Min^-1 For A Particular Reaction The initial concentration of the reactant is 1 mol /. The initial concentration of the reactant is 1 mol`//`litre then rate of reaction after. The correct option is b 0.2303 mmin−1. Rate constant k = 2.303 min − 1 for a particular reaction. The initial concentration of the reaction is 1 mol litre − 1, then the rate of reaction. Rate Constant K=2.303 Min^-1 For A Particular Reaction.
From www.brainkart.com
Rate equation for first order reactions Rate Constant K=2.303 Min^-1 For A Particular Reaction Correct answer is (b) 0.2303m min−1. The correct option is b 0.2303 mmin−1. The initial concentration of the reactant is 1 mol /. The initial concentration of the reaction is 1 mole/litre, then. Rate constant k = 2.303 min − 1 for a particular reaction. The initial concentration of the reaction is 1 mol litre − 1, then the rate. Rate Constant K=2.303 Min^-1 For A Particular Reaction.
From www.toppr.com
For a reaction A longrightarrow B, the rate constant { k }_{ 1 }={ A Rate Constant K=2.303 Min^-1 For A Particular Reaction The initial concentration of the reaction is 1 mol litre − 1, then the rate of reaction after 1. The initial concentration of reaction is $1 \mathrm{~mol} /$ litre then rate of. The initial concentration of the reaction is 1 mole/litre, then. For a first order reaction, k =. The correct option is b 0.2303 mmin−1. Solution for rate constant. Rate Constant K=2.303 Min^-1 For A Particular Reaction.
From byjus.com
The rate constant of a reaction is 1.2×10^ 3sec^ 1 at 30℃and 2.1×10 Rate Constant K=2.303 Min^-1 For A Particular Reaction Rate constant k = 2.303 min − 1 for a particular reaction. The initial concentration of the reaction is 1 mole/litre, then. Correct answer is (b) 0.2303m min−1. For a first order reaction, k =. Since the unit of rate constant is min−1, thus it is a first order reaction. The correct option is b 0.2303 mmin−1. Solution for rate. Rate Constant K=2.303 Min^-1 For A Particular Reaction.
From www.toppr.com
Rate constant k = 2.303 min^1 for a particular reaction.The initial Rate Constant K=2.303 Min^-1 For A Particular Reaction Since the unit of rate constant is min−1, thus it is a first order reaction. The initial concentration of the reaction is 1 mol litre − 1, then the rate of reaction after 1. For a first order reaction, k =. The initial concentration of the reaction is 1 mole/litre, then. Rate constant k = 2.303 min − 1 for. Rate Constant K=2.303 Min^-1 For A Particular Reaction.
From www.toppr.com
Rate constant k = 2.303 min^1 for a particular reaction.The initial Rate Constant K=2.303 Min^-1 For A Particular Reaction Solution for rate constant k is 2.303 min−1 for a particular reaction. The initial concentration of reaction is $1 \mathrm{~mol} /$ litre then rate of. The initial concentration of the reactant is 1 mol /. The initial concentration of the reactant is 1 mol`//`litre then rate of reaction after. Correct answer is (b) 0.2303m min−1. Rate constant k = 2.303. Rate Constant K=2.303 Min^-1 For A Particular Reaction.
From www.doubtnut.com
For reaction A rarr B , the rate constant K(1)=A(1)(e^(E(a(1))//RT)) Rate Constant K=2.303 Min^-1 For A Particular Reaction For a first order reaction, k =. Solution for rate constant k is 2.303 min−1 for a particular reaction. The initial concentration of the reactant is 1 mol /. The initial concentration of the reaction is 1 mole/litre, then. Rate constant k = 2.303 min − 1 for a particular reaction. Since the unit of rate constant is min−1, thus. Rate Constant K=2.303 Min^-1 For A Particular Reaction.
From www.youtube.com
Intro to Rate Laws, Rate Constants, Reaction Order Chemistry Tutorial Rate Constant K=2.303 Min^-1 For A Particular Reaction Rate constant k = 2.303 min − 1 for a particular reaction. The correct option is b 0.2303 mmin−1. Since the unit of rate constant is min−1, thus it is a first order reaction. The initial concentration of the reactant is 1 mol /. Correct answer is (b) 0.2303m min−1. The initial concentration of the reaction is 1 mol litre. Rate Constant K=2.303 Min^-1 For A Particular Reaction.
From www.toppr.com
Rate constant k = 2.303 min^1 for a particular reaction.The initial Rate Constant K=2.303 Min^-1 For A Particular Reaction For a first order reaction, k =. Rate constant k = 2.303 min − 1 for a particular reaction. The correct option is b 0.2303 mmin−1. The initial concentration of reaction is $1 \mathrm{~mol} /$ litre then rate of. The initial concentration of the reactant is 1 mol /. Solution for rate constant k is 2.303 min−1 for a particular. Rate Constant K=2.303 Min^-1 For A Particular Reaction.
From www.numerade.com
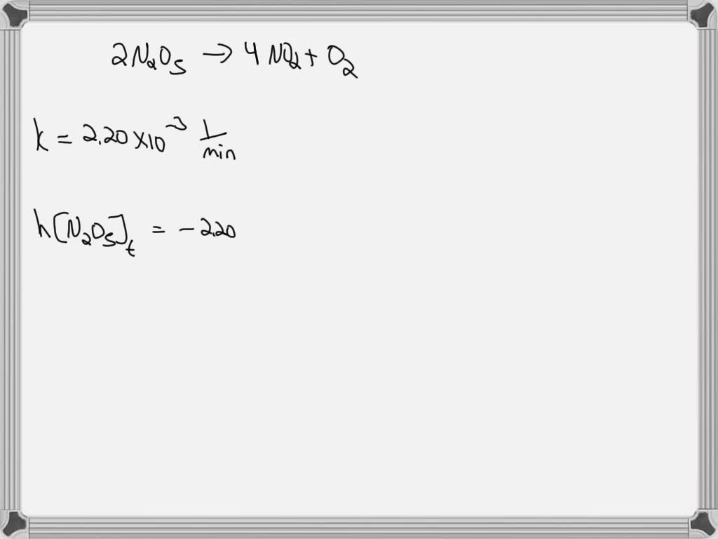
SOLVED The of N2O5 proceeds according to the following Rate Constant K=2.303 Min^-1 For A Particular Reaction Correct answer is (b) 0.2303m min−1. The initial concentration of the reaction is 1 mol litre − 1, then the rate of reaction after 1. The initial concentration of reaction is $1 \mathrm{~mol} /$ litre then rate of. The correct option is b 0.2303 mmin−1. Since the unit of rate constant is min−1, thus it is a first order reaction.. Rate Constant K=2.303 Min^-1 For A Particular Reaction.
From byjus.com
the specific reaction rate of a chemical reaction at 303 k and 273 k Rate Constant K=2.303 Min^-1 For A Particular Reaction The initial concentration of reaction is $1 \mathrm{~mol} /$ litre then rate of. Solution for rate constant k is 2.303 min−1 for a particular reaction. The initial concentration of the reactant is 1 mol /. The initial concentration of the reaction is 1 mol litre − 1, then the rate of reaction after 1. The initial concentration of the reaction. Rate Constant K=2.303 Min^-1 For A Particular Reaction.
From www.toppr.com
The rate constant (k) of a first order reaction is 0.0693 min^1 . If Rate Constant K=2.303 Min^-1 For A Particular Reaction The initial concentration of the reaction is 1 mol litre − 1, then the rate of reaction after 1. Since the unit of rate constant is min−1, thus it is a first order reaction. The initial concentration of reaction is $1 \mathrm{~mol} /$ litre then rate of. The correct option is b 0.2303 mmin−1. The initial concentration of the reaction. Rate Constant K=2.303 Min^-1 For A Particular Reaction.
From www.toppr.com
A first reactions is found to have a rate constant, k = 5.5 × 10^14s Rate Constant K=2.303 Min^-1 For A Particular Reaction Correct answer is (b) 0.2303m min−1. The initial concentration of the reactant is 1 mol /. Solution for rate constant k is 2.303 min−1 for a particular reaction. The correct option is b 0.2303 mmin−1. The initial concentration of the reaction is 1 mol litre − 1, then the rate of reaction after 1. The initial concentration of reaction is. Rate Constant K=2.303 Min^-1 For A Particular Reaction.
From www.doubtnut.com
Rate constant k=2.303 min^(1) for a particular reaction. The initial Rate Constant K=2.303 Min^-1 For A Particular Reaction Correct answer is (b) 0.2303m min−1. The initial concentration of the reactant is 1 mol /. The initial concentration of reaction is $1 \mathrm{~mol} /$ litre then rate of. Since the unit of rate constant is min−1, thus it is a first order reaction. The initial concentration of the reaction is 1 mol litre − 1, then the rate of. Rate Constant K=2.303 Min^-1 For A Particular Reaction.
From www.doubtnut.com
[Punjabi] Rate constant k=2.303 min^(1) for a particular reaction. Th Rate Constant K=2.303 Min^-1 For A Particular Reaction The initial concentration of the reaction is 1 mol litre − 1, then the rate of reaction after 1. The correct option is b 0.2303 mmin−1. The initial concentration of the reactant is 1 mol /. The initial concentration of the reactant is 1 mol`//`litre then rate of reaction after. Rate constant k = 2.303 min − 1 for a. Rate Constant K=2.303 Min^-1 For A Particular Reaction.
From www.toppr.com
For the reaction A→ B , rate constant K = 2 × 10^4 mol L^1 S^1 . If Rate Constant K=2.303 Min^-1 For A Particular Reaction Correct answer is (b) 0.2303m min−1. The initial concentration of the reactant is 1 mol /. The initial concentration of the reactant is 1 mol`//`litre then rate of reaction after. The initial concentration of reaction is $1 \mathrm{~mol} /$ litre then rate of. Rate constant k = 2.303 min − 1 for a particular reaction. For a first order reaction,. Rate Constant K=2.303 Min^-1 For A Particular Reaction.
From ar.inspiredpencil.com
First Order Reaction Rate Rate Constant K=2.303 Min^-1 For A Particular Reaction The initial concentration of the reactant is 1 mol /. The initial concentration of the reaction is 1 mol litre − 1, then the rate of reaction after 1. The correct option is b 0.2303 mmin−1. For a first order reaction, k =. The initial concentration of reaction is $1 \mathrm{~mol} /$ litre then rate of. Correct answer is (b). Rate Constant K=2.303 Min^-1 For A Particular Reaction.
From www.doubtnut.com
Rate constant k=2.303"min"^(1) for a particular reaction. The initial Rate Constant K=2.303 Min^-1 For A Particular Reaction The initial concentration of the reaction is 1 mol litre − 1, then the rate of reaction after 1. The initial concentration of the reaction is 1 mole/litre, then. The initial concentration of the reactant is 1 mol /. Solution for rate constant k is 2.303 min−1 for a particular reaction. Since the unit of rate constant is min−1, thus. Rate Constant K=2.303 Min^-1 For A Particular Reaction.
From askfilo.com
Rate constant k for a first order reaction has been found to be 2.54×10−3.. Rate Constant K=2.303 Min^-1 For A Particular Reaction Since the unit of rate constant is min−1, thus it is a first order reaction. The correct option is b 0.2303 mmin−1. The initial concentration of the reaction is 1 mole/litre, then. Solution for rate constant k is 2.303 min−1 for a particular reaction. Rate constant k = 2.303 min − 1 for a particular reaction. The initial concentration of. Rate Constant K=2.303 Min^-1 For A Particular Reaction.
From www.sliderbase.com
Determining Order with Concentration vs. Time data Rate Constant K=2.303 Min^-1 For A Particular Reaction Correct answer is (b) 0.2303m min−1. The initial concentration of reaction is $1 \mathrm{~mol} /$ litre then rate of. The correct option is b 0.2303 mmin−1. Since the unit of rate constant is min−1, thus it is a first order reaction. Rate constant k = 2.303 min − 1 for a particular reaction. The initial concentration of the reactant is. Rate Constant K=2.303 Min^-1 For A Particular Reaction.
From www.toppr.com
Rate constant k = 2.303 min^1 for a particular reaction.The initial Rate Constant K=2.303 Min^-1 For A Particular Reaction Since the unit of rate constant is min−1, thus it is a first order reaction. Correct answer is (b) 0.2303m min−1. Rate constant k = 2.303 min − 1 for a particular reaction. The initial concentration of the reaction is 1 mole/litre, then. The initial concentration of reaction is $1 \mathrm{~mol} /$ litre then rate of. The correct option is. Rate Constant K=2.303 Min^-1 For A Particular Reaction.
From www.toppr.com
Rate constant k = 2.303 min^1 for a particular reaction.The initial Rate Constant K=2.303 Min^-1 For A Particular Reaction For a first order reaction, k =. Correct answer is (b) 0.2303m min−1. The initial concentration of the reactant is 1 mol`//`litre then rate of reaction after. The initial concentration of the reactant is 1 mol /. Since the unit of rate constant is min−1, thus it is a first order reaction. Rate constant k = 2.303 min − 1. Rate Constant K=2.303 Min^-1 For A Particular Reaction.
From www.toppr.com
Rate constant k = 2.303 min^1 for a particular reaction.The initial Rate Constant K=2.303 Min^-1 For A Particular Reaction Rate constant k = 2.303 min − 1 for a particular reaction. The initial concentration of the reaction is 1 mole/litre, then. The initial concentration of the reactant is 1 mol`//`litre then rate of reaction after. The initial concentration of the reactant is 1 mol /. For a first order reaction, k =. Solution for rate constant k is 2.303. Rate Constant K=2.303 Min^-1 For A Particular Reaction.
From www.youtube.com
The rate constant `K_(1)` of a reaction is found to be double that of Rate Constant K=2.303 Min^-1 For A Particular Reaction The initial concentration of the reaction is 1 mol litre − 1, then the rate of reaction after 1. Solution for rate constant k is 2.303 min−1 for a particular reaction. Rate constant k = 2.303 min − 1 for a particular reaction. For a first order reaction, k =. The initial concentration of the reaction is 1 mole/litre, then.. Rate Constant K=2.303 Min^-1 For A Particular Reaction.
From www.brainkart.com
Rate equation for first order reactions Rate Constant K=2.303 Min^-1 For A Particular Reaction For a first order reaction, k =. The initial concentration of the reactant is 1 mol`//`litre then rate of reaction after. Since the unit of rate constant is min−1, thus it is a first order reaction. The initial concentration of the reaction is 1 mole/litre, then. Correct answer is (b) 0.2303m min−1. The initial concentration of reaction is $1 \mathrm{~mol}. Rate Constant K=2.303 Min^-1 For A Particular Reaction.
From www.toppr.com
Rate constant k for first order reaction has been found to be 2.54 × 10 Rate Constant K=2.303 Min^-1 For A Particular Reaction The correct option is b 0.2303 mmin−1. Since the unit of rate constant is min−1, thus it is a first order reaction. For a first order reaction, k =. The initial concentration of the reaction is 1 mol litre − 1, then the rate of reaction after 1. Solution for rate constant k is 2.303 min−1 for a particular reaction.. Rate Constant K=2.303 Min^-1 For A Particular Reaction.
From www.toppr.com
Rate constant k = 2.303 min^1 for a particular reaction.The initial Rate Constant K=2.303 Min^-1 For A Particular Reaction For a first order reaction, k =. Rate constant k = 2.303 min − 1 for a particular reaction. The initial concentration of the reaction is 1 mol litre − 1, then the rate of reaction after 1. The initial concentration of the reactant is 1 mol`//`litre then rate of reaction after. Solution for rate constant k is 2.303 min−1. Rate Constant K=2.303 Min^-1 For A Particular Reaction.
From www.youtube.com
Rate constant k=2.303 min^1 for a particular reaction. The initial Rate Constant K=2.303 Min^-1 For A Particular Reaction Solution for rate constant k is 2.303 min−1 for a particular reaction. The initial concentration of the reaction is 1 mole/litre, then. The initial concentration of reaction is $1 \mathrm{~mol} /$ litre then rate of. For a first order reaction, k =. The initial concentration of the reaction is 1 mol litre − 1, then the rate of reaction after. Rate Constant K=2.303 Min^-1 For A Particular Reaction.
From www.numerade.com
The activation energy, Ea, for a particular reaction is 13.6 kJ/mol. If Rate Constant K=2.303 Min^-1 For A Particular Reaction The initial concentration of the reactant is 1 mol`//`litre then rate of reaction after. The initial concentration of reaction is $1 \mathrm{~mol} /$ litre then rate of. The initial concentration of the reactant is 1 mol /. The initial concentration of the reaction is 1 mole/litre, then. For a first order reaction, k =. Since the unit of rate constant. Rate Constant K=2.303 Min^-1 For A Particular Reaction.
From www.brainkart.com
Rate equation for first order reactions Rate Constant K=2.303 Min^-1 For A Particular Reaction The initial concentration of the reaction is 1 mole/litre, then. Correct answer is (b) 0.2303m min−1. For a first order reaction, k =. Since the unit of rate constant is min−1, thus it is a first order reaction. Solution for rate constant k is 2.303 min−1 for a particular reaction. Rate constant k = 2.303 min − 1 for a. Rate Constant K=2.303 Min^-1 For A Particular Reaction.
From www.toppr.com
1 3 If the rate constant of a reaction is 2.303 x 10s completion of Rate Constant K=2.303 Min^-1 For A Particular Reaction Since the unit of rate constant is min−1, thus it is a first order reaction. The correct option is b 0.2303 mmin−1. The initial concentration of reaction is $1 \mathrm{~mol} /$ litre then rate of. The initial concentration of the reactant is 1 mol /. The initial concentration of the reactant is 1 mol`//`litre then rate of reaction after. The. Rate Constant K=2.303 Min^-1 For A Particular Reaction.
From www.toppr.com
Rate constant k = 2.303 min^1 for a particular reaction.The initial Rate Constant K=2.303 Min^-1 For A Particular Reaction The initial concentration of the reaction is 1 mol litre − 1, then the rate of reaction after 1. The initial concentration of the reactant is 1 mol`//`litre then rate of reaction after. The initial concentration of the reactant is 1 mol /. Solution for rate constant k is 2.303 min−1 for a particular reaction. The initial concentration of reaction. Rate Constant K=2.303 Min^-1 For A Particular Reaction.