Average Sprinter Speed . learn how fast the average human can run 100m and how to improve your sprinting speed. learn how to measure and improve your sprint speed, the factors that affect it, and how it compares to other animals and elite athletes. learn how fast the average human can sprint and what factors influence sprinting speed. Compare sprinting speeds with world records and. learn how fast humans and animals can sprint, from usain bolt's world record of 27.8 miles per hour to the. Find out the world record, elite level, male and female. learn how age, genetics, training, muscle mass, and body composition affect sprint speed.
from www.slideserve.com
learn how fast the average human can sprint and what factors influence sprinting speed. learn how fast humans and animals can sprint, from usain bolt's world record of 27.8 miles per hour to the. learn how fast the average human can run 100m and how to improve your sprinting speed. Compare sprinting speeds with world records and. Find out the world record, elite level, male and female. learn how to measure and improve your sprint speed, the factors that affect it, and how it compares to other animals and elite athletes. learn how age, genetics, training, muscle mass, and body composition affect sprint speed.
PPT TRAINING THE AVERAGE SPRINTER 100m/200m/400m PowerPoint
Average Sprinter Speed learn how fast the average human can sprint and what factors influence sprinting speed. learn how fast the average human can sprint and what factors influence sprinting speed. Find out the world record, elite level, male and female. learn how fast the average human can run 100m and how to improve your sprinting speed. learn how fast humans and animals can sprint, from usain bolt's world record of 27.8 miles per hour to the. learn how to measure and improve your sprint speed, the factors that affect it, and how it compares to other animals and elite athletes. Compare sprinting speeds with world records and. learn how age, genetics, training, muscle mass, and body composition affect sprint speed.
From www.numerade.com
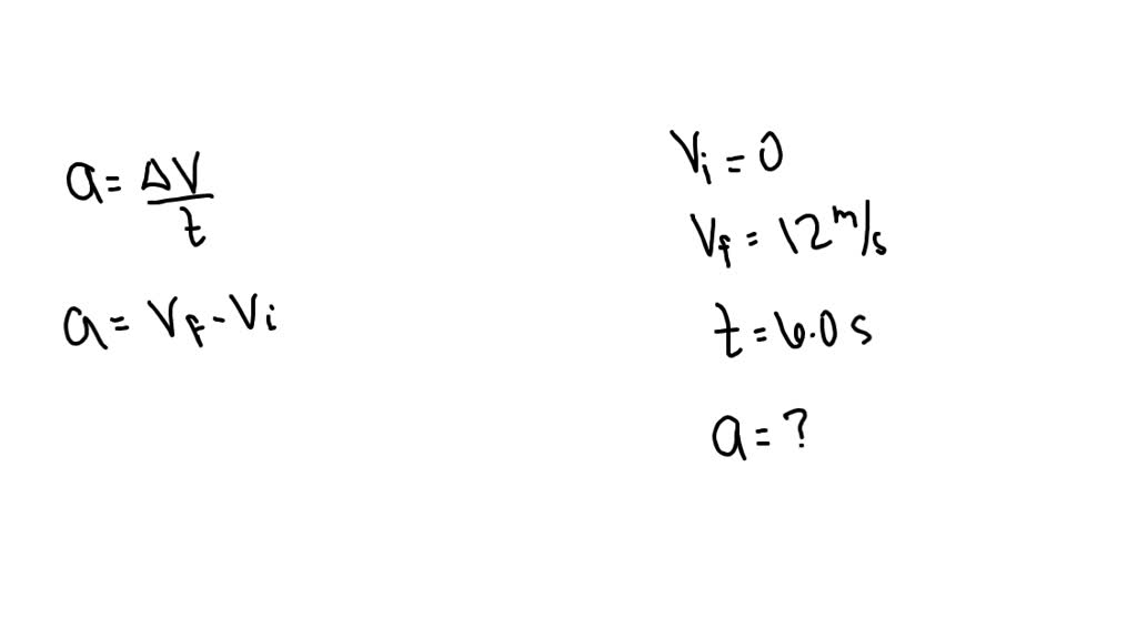
SOLVED (II) A worldclass sprinter can reach a top speed (of about 11. Average Sprinter Speed Find out the world record, elite level, male and female. learn how fast humans and animals can sprint, from usain bolt's world record of 27.8 miles per hour to the. learn how to measure and improve your sprint speed, the factors that affect it, and how it compares to other animals and elite athletes. learn how age,. Average Sprinter Speed.
From www.numerade.com
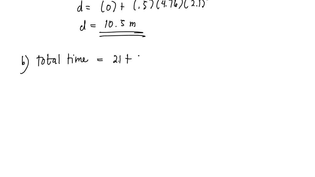
A worldclass sprinter accelerates to his maximum speed in 4.0 s . He Average Sprinter Speed Compare sprinting speeds with world records and. learn how fast the average human can run 100m and how to improve your sprinting speed. learn how fast humans and animals can sprint, from usain bolt's world record of 27.8 miles per hour to the. learn how age, genetics, training, muscle mass, and body composition affect sprint speed. . Average Sprinter Speed.
From www.freelapusa.com
Lessons from Genius Sprint Coach PierreJean Vazel Freelap USA Average Sprinter Speed learn how age, genetics, training, muscle mass, and body composition affect sprint speed. Compare sprinting speeds with world records and. Find out the world record, elite level, male and female. learn how to measure and improve your sprint speed, the factors that affect it, and how it compares to other animals and elite athletes. learn how fast. Average Sprinter Speed.
From www.numerade.com
SOLVED A 75kg sprinter accelerates from rest to a speed of 11.0 m/s Average Sprinter Speed learn how to measure and improve your sprint speed, the factors that affect it, and how it compares to other animals and elite athletes. Compare sprinting speeds with world records and. learn how fast the average human can sprint and what factors influence sprinting speed. Find out the world record, elite level, male and female. learn how. Average Sprinter Speed.
From innovativerunners.com
Average Human Sprint Speed Innovative Runners Average Sprinter Speed Find out the world record, elite level, male and female. learn how age, genetics, training, muscle mass, and body composition affect sprint speed. learn how to measure and improve your sprint speed, the factors that affect it, and how it compares to other animals and elite athletes. learn how fast the average human can run 100m and. Average Sprinter Speed.
From www.numerade.com
SOLVEDA typical male sprinter can maintain his maximum acceleration Average Sprinter Speed Compare sprinting speeds with world records and. Find out the world record, elite level, male and female. learn how fast the average human can run 100m and how to improve your sprinting speed. learn how age, genetics, training, muscle mass, and body composition affect sprint speed. learn how fast humans and animals can sprint, from usain bolt's. Average Sprinter Speed.
From www.numerade.com
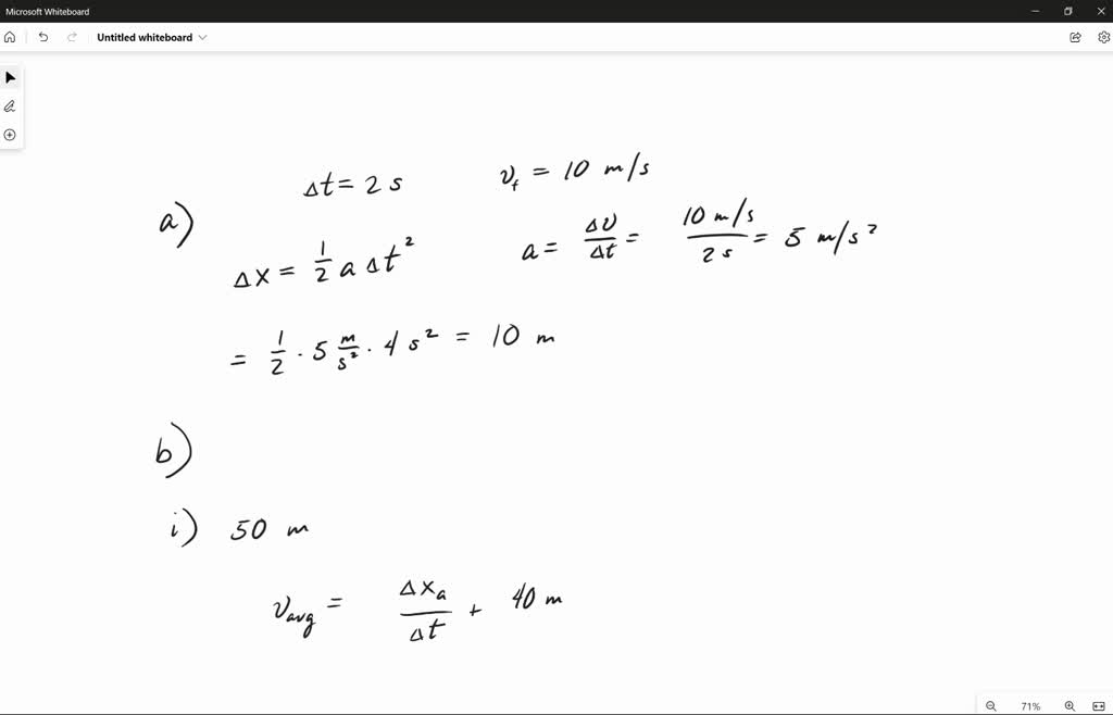
A typical male sprinter can maintain his maximum acceleration for 2.0 s Average Sprinter Speed Compare sprinting speeds with world records and. learn how fast humans and animals can sprint, from usain bolt's world record of 27.8 miles per hour to the. Find out the world record, elite level, male and female. learn how fast the average human can run 100m and how to improve your sprinting speed. learn how age, genetics,. Average Sprinter Speed.
From brainly.in
A sprinter travels a distance of 200 m in a time of 20.03 seconds. What Average Sprinter Speed learn how fast humans and animals can sprint, from usain bolt's world record of 27.8 miles per hour to the. Compare sprinting speeds with world records and. learn how fast the average human can sprint and what factors influence sprinting speed. Find out the world record, elite level, male and female. learn how age, genetics, training, muscle. Average Sprinter Speed.
From brainly.in
A sprinter runs 100 metres in 12.5 seconds. Calculate the speed in m/s Average Sprinter Speed learn how fast the average human can sprint and what factors influence sprinting speed. learn how fast the average human can run 100m and how to improve your sprinting speed. Find out the world record, elite level, male and female. learn how age, genetics, training, muscle mass, and body composition affect sprint speed. learn how to. Average Sprinter Speed.
From www.wsj.com
The Science Behind Sprinter Usain Bolt’s Speed WSJ Average Sprinter Speed learn how fast humans and animals can sprint, from usain bolt's world record of 27.8 miles per hour to the. learn how fast the average human can run 100m and how to improve your sprinting speed. Find out the world record, elite level, male and female. Compare sprinting speeds with world records and. learn how to measure. Average Sprinter Speed.
From www.bbc.com
Usain Bolt Eighttime Olympic champion's career in 9.58 charts BBC Sport Average Sprinter Speed learn how fast the average human can sprint and what factors influence sprinting speed. Compare sprinting speeds with world records and. learn how to measure and improve your sprint speed, the factors that affect it, and how it compares to other animals and elite athletes. Find out the world record, elite level, male and female. learn how. Average Sprinter Speed.
From trackspikes.co.uk
Average Sprinting Speed & Usain Bolt Top Speed Track Spikes Average Sprinter Speed learn how fast the average human can run 100m and how to improve your sprinting speed. Find out the world record, elite level, male and female. learn how fast the average human can sprint and what factors influence sprinting speed. Compare sprinting speeds with world records and. learn how fast humans and animals can sprint, from usain. Average Sprinter Speed.
From www.numerade.com
SOLVED A sprinter maintains a constant running speed of 6.89 m/s while Average Sprinter Speed learn how to measure and improve your sprint speed, the factors that affect it, and how it compares to other animals and elite athletes. Compare sprinting speeds with world records and. learn how age, genetics, training, muscle mass, and body composition affect sprint speed. learn how fast the average human can run 100m and how to improve. Average Sprinter Speed.
From www.numerade.com
SOLVED A typical male sprinter can maintain his maximum acceleration Average Sprinter Speed Compare sprinting speeds with world records and. learn how fast the average human can run 100m and how to improve your sprinting speed. learn how fast humans and animals can sprint, from usain bolt's world record of 27.8 miles per hour to the. learn how to measure and improve your sprint speed, the factors that affect it,. Average Sprinter Speed.
From thirdspacelearning.com
Average Speed Formula GCSE Maths Steps & Examples Average Sprinter Speed learn how fast the average human can sprint and what factors influence sprinting speed. learn how fast the average human can run 100m and how to improve your sprinting speed. Compare sprinting speeds with world records and. learn how age, genetics, training, muscle mass, and body composition affect sprint speed. learn how to measure and improve. Average Sprinter Speed.
From brainly.in
A sprinter travels a distance of 200 m in a time of 21.06 seconds. What Average Sprinter Speed Find out the world record, elite level, male and female. Compare sprinting speeds with world records and. learn how fast humans and animals can sprint, from usain bolt's world record of 27.8 miles per hour to the. learn how to measure and improve your sprint speed, the factors that affect it, and how it compares to other animals. Average Sprinter Speed.
From www.numerade.com
SOLVED A(n) 63kg sprinter accelerates from rest " speed M/s in 4.9 Average Sprinter Speed Compare sprinting speeds with world records and. learn how age, genetics, training, muscle mass, and body composition affect sprint speed. learn how fast the average human can run 100m and how to improve your sprinting speed. learn how fast humans and animals can sprint, from usain bolt's world record of 27.8 miles per hour to the. Find. Average Sprinter Speed.
From www.numerade.com
A sprinter starting from rest on a straight, level track is able to Average Sprinter Speed learn how to measure and improve your sprint speed, the factors that affect it, and how it compares to other animals and elite athletes. Find out the world record, elite level, male and female. learn how fast humans and animals can sprint, from usain bolt's world record of 27.8 miles per hour to the. learn how age,. Average Sprinter Speed.
From www.numerade.com
A typical male sprinter can maintain his maximum acceleration for 2.0 s Average Sprinter Speed Compare sprinting speeds with world records and. Find out the world record, elite level, male and female. learn how fast the average human can run 100m and how to improve your sprinting speed. learn how fast humans and animals can sprint, from usain bolt's world record of 27.8 miles per hour to the. learn how fast the. Average Sprinter Speed.
From www.youtube.com
A worldclass sprinter can reach about 11.5 m/s in the first 15.0 m Average Sprinter Speed Find out the world record, elite level, male and female. learn how fast the average human can run 100m and how to improve your sprinting speed. Compare sprinting speeds with world records and. learn how age, genetics, training, muscle mass, and body composition affect sprint speed. learn how to measure and improve your sprint speed, the factors. Average Sprinter Speed.
From marathonhandbook.com
What's The Average Human Sprint Speed? A Statistical Analysis Average Sprinter Speed learn how age, genetics, training, muscle mass, and body composition affect sprint speed. Compare sprinting speeds with world records and. Find out the world record, elite level, male and female. learn how fast humans and animals can sprint, from usain bolt's world record of 27.8 miles per hour to the. learn how fast the average human can. Average Sprinter Speed.
From www.youtube.com
If a sprinter runs a distance of 100 metres in 9.83 seconds, calculate Average Sprinter Speed learn how fast the average human can sprint and what factors influence sprinting speed. learn how fast humans and animals can sprint, from usain bolt's world record of 27.8 miles per hour to the. learn how age, genetics, training, muscle mass, and body composition affect sprint speed. learn how fast the average human can run 100m. Average Sprinter Speed.
From engineercalcs.com
Discover the Average Human Athlete Running Speed Engineer Calcs Average Sprinter Speed Find out the world record, elite level, male and female. learn how age, genetics, training, muscle mass, and body composition affect sprint speed. learn how fast the average human can run 100m and how to improve your sprinting speed. learn how fast the average human can sprint and what factors influence sprinting speed. learn how fast. Average Sprinter Speed.
From www.eouaiib.com
Sprinter Workouts 100m EOUA Blog Average Sprinter Speed learn how age, genetics, training, muscle mass, and body composition affect sprint speed. learn how fast the average human can sprint and what factors influence sprinting speed. learn how fast humans and animals can sprint, from usain bolt's world record of 27.8 miles per hour to the. learn how to measure and improve your sprint speed,. Average Sprinter Speed.
From www.chegg.com
Solved Help with part b! A sprinter of mass 89.0 kg has one Average Sprinter Speed learn how fast humans and animals can sprint, from usain bolt's world record of 27.8 miles per hour to the. learn how fast the average human can run 100m and how to improve your sprinting speed. Find out the world record, elite level, male and female. learn how age, genetics, training, muscle mass, and body composition affect. Average Sprinter Speed.
From brainly.ph
3. What is the average speed of the five sprinters rounded to the Average Sprinter Speed Find out the world record, elite level, male and female. learn how age, genetics, training, muscle mass, and body composition affect sprint speed. Compare sprinting speeds with world records and. learn how fast the average human can sprint and what factors influence sprinting speed. learn how fast the average human can run 100m and how to improve. Average Sprinter Speed.
From www.slideserve.com
PPT TRAINING THE AVERAGE SPRINTER 100m/200m/400m PowerPoint Average Sprinter Speed Compare sprinting speeds with world records and. learn how fast the average human can run 100m and how to improve your sprinting speed. learn how fast the average human can sprint and what factors influence sprinting speed. learn how to measure and improve your sprint speed, the factors that affect it, and how it compares to other. Average Sprinter Speed.
From www.coursehero.com
[Solved] A world class sprinter can run 100 meters in a time 9.785 Average Sprinter Speed learn how fast the average human can run 100m and how to improve your sprinting speed. learn how to measure and improve your sprint speed, the factors that affect it, and how it compares to other animals and elite athletes. Compare sprinting speeds with world records and. learn how age, genetics, training, muscle mass, and body composition. Average Sprinter Speed.
From www.22measured.com
SOLVED A(n) 65kg sprinter accelerates from rest to a speed of 11.0 m Average Sprinter Speed learn how fast the average human can run 100m and how to improve your sprinting speed. learn how fast the average human can sprint and what factors influence sprinting speed. learn how to measure and improve your sprint speed, the factors that affect it, and how it compares to other animals and elite athletes. learn how. Average Sprinter Speed.
From marathonhandbook.com
What's The Average Human Sprint Speed? A Statistical Analysis Average Sprinter Speed learn how fast humans and animals can sprint, from usain bolt's world record of 27.8 miles per hour to the. learn how fast the average human can run 100m and how to improve your sprinting speed. learn how to measure and improve your sprint speed, the factors that affect it, and how it compares to other animals. Average Sprinter Speed.
From www.numerade.com
A typical male sprinter can maintain his maximum acceleration for 1.9 s Average Sprinter Speed Find out the world record, elite level, male and female. learn how fast the average human can sprint and what factors influence sprinting speed. Compare sprinting speeds with world records and. learn how to measure and improve your sprint speed, the factors that affect it, and how it compares to other animals and elite athletes. learn how. Average Sprinter Speed.
From www.bartleby.com
Answered a) The sprinter above ran 20 meters in… bartleby Average Sprinter Speed learn how fast humans and animals can sprint, from usain bolt's world record of 27.8 miles per hour to the. Compare sprinting speeds with world records and. learn how to measure and improve your sprint speed, the factors that affect it, and how it compares to other animals and elite athletes. learn how fast the average human. Average Sprinter Speed.
From www.hmmrmedia.com
Analyzing the Olympic 100meter sprints HMMR Media Average Sprinter Speed Compare sprinting speeds with world records and. learn how to measure and improve your sprint speed, the factors that affect it, and how it compares to other animals and elite athletes. Find out the world record, elite level, male and female. learn how age, genetics, training, muscle mass, and body composition affect sprint speed. learn how fast. Average Sprinter Speed.
From fitnessvolt.com
Average Human Sprint Speed Understanding & Elevating Running Pace Average Sprinter Speed learn how fast the average human can run 100m and how to improve your sprinting speed. learn how fast humans and animals can sprint, from usain bolt's world record of 27.8 miles per hour to the. Compare sprinting speeds with world records and. learn how age, genetics, training, muscle mass, and body composition affect sprint speed. . Average Sprinter Speed.
From www.wbur.org
A Need For Speed Inside Jamaica's Sprint Factory WBUR News Average Sprinter Speed Find out the world record, elite level, male and female. learn how fast the average human can run 100m and how to improve your sprinting speed. learn how age, genetics, training, muscle mass, and body composition affect sprint speed. learn how to measure and improve your sprint speed, the factors that affect it, and how it compares. Average Sprinter Speed.