Do I Have To File A Final Estate Tax Return .   in most cases, you’ll be filing state and federal income tax returns for the deceased.  am i required to file an estate tax return?  as the representative of someone who died, you will need to file a final t1 income tax and benefit return for the person who. (updated november 21, 2023) i need to change something on an estate tax return.   if their estate is valued over a certain threshold, you’ll be responsible for filing a regular return and a complex return called an estate. The personal representative (defined earlier) must file the final income tax return (form.   a fiduciary generally must file an irs form 706 (the federal estate tax return) only if the fair market value of the decedent’s gross assets. This is the traditional form.   you may need to lodge a final tax return for the deceased person for the income year in which they died.
        	
		 
    
        from www.youtube.com 
     
        
          a fiduciary generally must file an irs form 706 (the federal estate tax return) only if the fair market value of the decedent’s gross assets.   in most cases, you’ll be filing state and federal income tax returns for the deceased.   if their estate is valued over a certain threshold, you’ll be responsible for filing a regular return and a complex return called an estate. The personal representative (defined earlier) must file the final income tax return (form.  as the representative of someone who died, you will need to file a final t1 income tax and benefit return for the person who.  am i required to file an estate tax return?   you may need to lodge a final tax return for the deceased person for the income year in which they died. (updated november 21, 2023) i need to change something on an estate tax return. This is the traditional form.
    
    	
		 
    How to Compute File and Pay Estate Tax YouTube 
    Do I Have To File A Final Estate Tax Return    if their estate is valued over a certain threshold, you’ll be responsible for filing a regular return and a complex return called an estate.   you may need to lodge a final tax return for the deceased person for the income year in which they died. This is the traditional form.  am i required to file an estate tax return?   if their estate is valued over a certain threshold, you’ll be responsible for filing a regular return and a complex return called an estate.   a fiduciary generally must file an irs form 706 (the federal estate tax return) only if the fair market value of the decedent’s gross assets.   in most cases, you’ll be filing state and federal income tax returns for the deceased. (updated november 21, 2023) i need to change something on an estate tax return. The personal representative (defined earlier) must file the final income tax return (form.  as the representative of someone who died, you will need to file a final t1 income tax and benefit return for the person who.
 
    
        From formspal.com 
                    Dc Estate Tax Return Form D 76 ≡ Fill Out Printable PDF Forms Online Do I Have To File A Final Estate Tax Return  This is the traditional form. (updated november 21, 2023) i need to change something on an estate tax return.   a fiduciary generally must file an irs form 706 (the federal estate tax return) only if the fair market value of the decedent’s gross assets.   in most cases, you’ll be filing state and federal income tax returns for the. Do I Have To File A Final Estate Tax Return.
     
    
        From propertytaxrate.blogspot.com 
                    Portability Estate Tax Return Do I Have To File A Final Estate Tax Return   as the representative of someone who died, you will need to file a final t1 income tax and benefit return for the person who.   if their estate is valued over a certain threshold, you’ll be responsible for filing a regular return and a complex return called an estate.   in most cases, you’ll be filing state and federal. Do I Have To File A Final Estate Tax Return.
     
    
        From www.irs.gov 
                    3.11.14 Tax Returns for Estates and Trusts (Forms 1041, 1041QFT Do I Have To File A Final Estate Tax Return  This is the traditional form.   if their estate is valued over a certain threshold, you’ll be responsible for filing a regular return and a complex return called an estate. (updated november 21, 2023) i need to change something on an estate tax return.   a fiduciary generally must file an irs form 706 (the federal estate tax return) only. Do I Have To File A Final Estate Tax Return.
     
    
        From www.themckenziefirm.com 
                    What You Need to Know About the Final Estate Tax Portability Rules Do I Have To File A Final Estate Tax Return   am i required to file an estate tax return?   you may need to lodge a final tax return for the deceased person for the income year in which they died.   if their estate is valued over a certain threshold, you’ll be responsible for filing a regular return and a complex return called an estate.   in most. Do I Have To File A Final Estate Tax Return.
     
    
        From www.jenkinsfenstermaker.com 
                    Estate Taxes in WV Filing a Final Estate Tax Return and Other Do I Have To File A Final Estate Tax Return    you may need to lodge a final tax return for the deceased person for the income year in which they died. This is the traditional form. (updated november 21, 2023) i need to change something on an estate tax return.   a fiduciary generally must file an irs form 706 (the federal estate tax return) only if the fair. Do I Have To File A Final Estate Tax Return.
     
    
        From formspal.com 
                    Dc Estate Tax Return Form D 76 ≡ Fill Out Printable PDF Forms Online Do I Have To File A Final Estate Tax Return  This is the traditional form. The personal representative (defined earlier) must file the final income tax return (form.   you may need to lodge a final tax return for the deceased person for the income year in which they died.   a fiduciary generally must file an irs form 706 (the federal estate tax return) only if the fair market. Do I Have To File A Final Estate Tax Return.
     
    
        From bemoneyaware.com 
                    Filing Tax Returns after deadline Do I Have To File A Final Estate Tax Return    a fiduciary generally must file an irs form 706 (the federal estate tax return) only if the fair market value of the decedent’s gross assets. (updated november 21, 2023) i need to change something on an estate tax return.   in most cases, you’ll be filing state and federal income tax returns for the deceased.   you may need. Do I Have To File A Final Estate Tax Return.
     
    
        From www.studocu.com 
                    BIR Form No. 1801 Estate Tax Return sample file (To be filled up by Do I Have To File A Final Estate Tax Return   am i required to file an estate tax return?   a fiduciary generally must file an irs form 706 (the federal estate tax return) only if the fair market value of the decedent’s gross assets.   in most cases, you’ll be filing state and federal income tax returns for the deceased. This is the traditional form.   you may. Do I Have To File A Final Estate Tax Return.
     
    
        From www.etsy.com 
                    Tax Prep Checklist Tracker Printable Tax Prep 2022 Tax Etsy Canada Do I Have To File A Final Estate Tax Return  The personal representative (defined earlier) must file the final income tax return (form.   in most cases, you’ll be filing state and federal income tax returns for the deceased.  as the representative of someone who died, you will need to file a final t1 income tax and benefit return for the person who. This is the traditional form. . Do I Have To File A Final Estate Tax Return.
     
    
        From www.dhtrustlaw.com 
                    When is an Estate Tax Return Required? • Law Offices of Daniel Hunt Do I Have To File A Final Estate Tax Return    if their estate is valued over a certain threshold, you’ll be responsible for filing a regular return and a complex return called an estate. The personal representative (defined earlier) must file the final income tax return (form. This is the traditional form.  am i required to file an estate tax return?   in most cases, you’ll be filing. Do I Have To File A Final Estate Tax Return.
     
    
        From www.cbsnews.com 
                    What happens if you don't file a tax return? CBS News Do I Have To File A Final Estate Tax Return    if their estate is valued over a certain threshold, you’ll be responsible for filing a regular return and a complex return called an estate.  am i required to file an estate tax return? (updated november 21, 2023) i need to change something on an estate tax return.   in most cases, you’ll be filing state and federal income. Do I Have To File A Final Estate Tax Return.
     
    
        From tbrnewsmedia.com 
                    Attorney At Law Do I need to file an estate tax return? TBR News Media Do I Have To File A Final Estate Tax Return   as the representative of someone who died, you will need to file a final t1 income tax and benefit return for the person who.  am i required to file an estate tax return?   if their estate is valued over a certain threshold, you’ll be responsible for filing a regular return and a complex return called an estate.. Do I Have To File A Final Estate Tax Return.
     
    
        From www.storyblocks.com 
                    Estate Tax Return RoyaltyFree Stock Image Storyblocks Do I Have To File A Final Estate Tax Return   as the representative of someone who died, you will need to file a final t1 income tax and benefit return for the person who.   if their estate is valued over a certain threshold, you’ll be responsible for filing a regular return and a complex return called an estate.   a fiduciary generally must file an irs form 706. Do I Have To File A Final Estate Tax Return.
     
    
        From orcuttlawoffices.com 
                    Estate Taxes What You Should Know Do I Have To File A Final Estate Tax Return    a fiduciary generally must file an irs form 706 (the federal estate tax return) only if the fair market value of the decedent’s gross assets. The personal representative (defined earlier) must file the final income tax return (form.  as the representative of someone who died, you will need to file a final t1 income tax and benefit return. Do I Have To File A Final Estate Tax Return.
     
    
        From www.youtube.com 
                    How to Compute File and Pay Estate Tax YouTube Do I Have To File A Final Estate Tax Return  (updated november 21, 2023) i need to change something on an estate tax return. The personal representative (defined earlier) must file the final income tax return (form. This is the traditional form.  as the representative of someone who died, you will need to file a final t1 income tax and benefit return for the person who.   a fiduciary. Do I Have To File A Final Estate Tax Return.
     
    
        From www.pdffiller.com 
                    Fillable Online tax ri Rhode Island Tax Div. Releases Draft Estate Tax Do I Have To File A Final Estate Tax Return   as the representative of someone who died, you will need to file a final t1 income tax and benefit return for the person who.   if their estate is valued over a certain threshold, you’ll be responsible for filing a regular return and a complex return called an estate. The personal representative (defined earlier) must file the final income. Do I Have To File A Final Estate Tax Return.
     
    
        From www.formsbank.com 
                    Fillable Form 5403 Real Estate Tax Return Declaration Of Estimated Do I Have To File A Final Estate Tax Return    in most cases, you’ll be filing state and federal income tax returns for the deceased.  am i required to file an estate tax return?   a fiduciary generally must file an irs form 706 (the federal estate tax return) only if the fair market value of the decedent’s gross assets. The personal representative (defined earlier) must file the. Do I Have To File A Final Estate Tax Return.
     
    
        From www.formsbank.com 
                    Form Rpd41058 Estate Tax Return printable pdf download Do I Have To File A Final Estate Tax Return    a fiduciary generally must file an irs form 706 (the federal estate tax return) only if the fair market value of the decedent’s gross assets.   in most cases, you’ll be filing state and federal income tax returns for the deceased. (updated november 21, 2023) i need to change something on an estate tax return.   if their estate. Do I Have To File A Final Estate Tax Return.
     
    
        From www.formsbank.com 
                    Form A101 Estate Tax Return printable pdf download Do I Have To File A Final Estate Tax Return    a fiduciary generally must file an irs form 706 (the federal estate tax return) only if the fair market value of the decedent’s gross assets.   you may need to lodge a final tax return for the deceased person for the income year in which they died. The personal representative (defined earlier) must file the final income tax return. Do I Have To File A Final Estate Tax Return.
     
    
        From www.pdffiller.com 
                    Fillable Online Estate Tax Return Form. Estate Tax Return Form usbirda Do I Have To File A Final Estate Tax Return  (updated november 21, 2023) i need to change something on an estate tax return.   a fiduciary generally must file an irs form 706 (the federal estate tax return) only if the fair market value of the decedent’s gross assets. This is the traditional form.   in most cases, you’ll be filing state and federal income tax returns for the. Do I Have To File A Final Estate Tax Return.
     
    
        From blanker.org 
                    BIR Form 1801. Estate Tax Return Forms Docs 2023 Do I Have To File A Final Estate Tax Return  (updated november 21, 2023) i need to change something on an estate tax return.   a fiduciary generally must file an irs form 706 (the federal estate tax return) only if the fair market value of the decedent’s gross assets.  am i required to file an estate tax return?   if their estate is valued over a certain threshold,. Do I Have To File A Final Estate Tax Return.
     
    
        From sharpenet.com 
                    estate tax Do I Have To File A Final Estate Tax Return    a fiduciary generally must file an irs form 706 (the federal estate tax return) only if the fair market value of the decedent’s gross assets.  as the representative of someone who died, you will need to file a final t1 income tax and benefit return for the person who. (updated november 21, 2023) i need to change something. Do I Have To File A Final Estate Tax Return.
     
    
        From www.taxpolicycenter.org 
                    Estate Tax Returns by Taxable Estate Tax Policy Center Do I Have To File A Final Estate Tax Return  The personal representative (defined earlier) must file the final income tax return (form.  as the representative of someone who died, you will need to file a final t1 income tax and benefit return for the person who.   in most cases, you’ll be filing state and federal income tax returns for the deceased.   a fiduciary generally must file. Do I Have To File A Final Estate Tax Return.
     
    
        From formspal.com 
                    Dc Estate Tax Return Form D 76 ≡ Fill Out Printable PDF Forms Online Do I Have To File A Final Estate Tax Return    a fiduciary generally must file an irs form 706 (the federal estate tax return) only if the fair market value of the decedent’s gross assets.   in most cases, you’ll be filing state and federal income tax returns for the deceased.  as the representative of someone who died, you will need to file a final t1 income tax. Do I Have To File A Final Estate Tax Return.
     
    
        From old.sermitsiaq.ag 
                    Final Estate Accounting Template Do I Have To File A Final Estate Tax Return   am i required to file an estate tax return?   you may need to lodge a final tax return for the deceased person for the income year in which they died.   in most cases, you’ll be filing state and federal income tax returns for the deceased. This is the traditional form.   if their estate is valued over. Do I Have To File A Final Estate Tax Return.
     
    
        From boulaygroup.com 
                    Why Do I Need to File an Estate Tax Return? Do I Have To File A Final Estate Tax Return    a fiduciary generally must file an irs form 706 (the federal estate tax return) only if the fair market value of the decedent’s gross assets. The personal representative (defined earlier) must file the final income tax return (form.  as the representative of someone who died, you will need to file a final t1 income tax and benefit return. Do I Have To File A Final Estate Tax Return.
     
    
        From www.scribd.com 
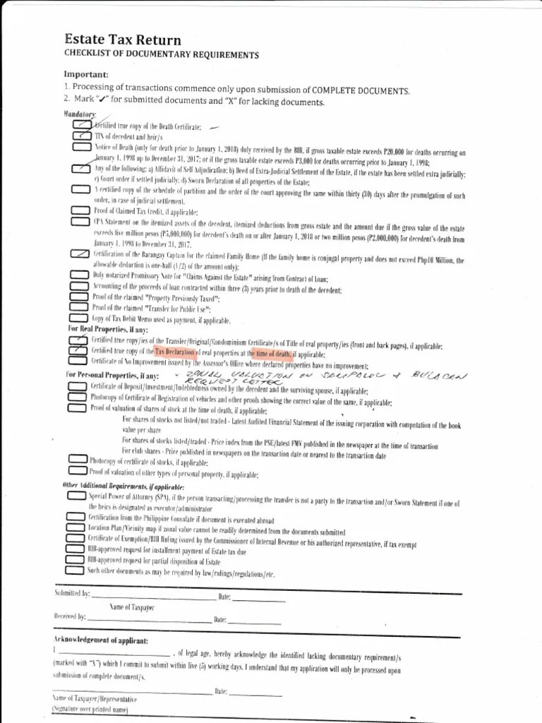
                    Estate Tax Return Requirements PDF Do I Have To File A Final Estate Tax Return    a fiduciary generally must file an irs form 706 (the federal estate tax return) only if the fair market value of the decedent’s gross assets.   you may need to lodge a final tax return for the deceased person for the income year in which they died.  as the representative of someone who died, you will need to. Do I Have To File A Final Estate Tax Return.
     
    
        From www.formsbank.com 
                    Form Est80 Virginia Estate Tax Return printable pdf download Do I Have To File A Final Estate Tax Return  The personal representative (defined earlier) must file the final income tax return (form. This is the traditional form.   a fiduciary generally must file an irs form 706 (the federal estate tax return) only if the fair market value of the decedent’s gross assets.   in most cases, you’ll be filing state and federal income tax returns for the deceased.. Do I Have To File A Final Estate Tax Return.
     
    
        From lawyerphilippines.org 
                    How to transfer land title to heirs in the Philippines (Extrajudicial Do I Have To File A Final Estate Tax Return    if their estate is valued over a certain threshold, you’ll be responsible for filing a regular return and a complex return called an estate. (updated november 21, 2023) i need to change something on an estate tax return. This is the traditional form.   in most cases, you’ll be filing state and federal income tax returns for the deceased.. Do I Have To File A Final Estate Tax Return.
     
    
        From www.taxpolicycenter.org 
                    Estate Tax Returns by Taxable Estate Tax Policy Center Do I Have To File A Final Estate Tax Return   am i required to file an estate tax return?   a fiduciary generally must file an irs form 706 (the federal estate tax return) only if the fair market value of the decedent’s gross assets.   if their estate is valued over a certain threshold, you’ll be responsible for filing a regular return and a complex return called an. Do I Have To File A Final Estate Tax Return.
     
    
        From formspal.com 
                    Dc Estate Tax Return Form D 76 ≡ Fill Out Printable PDF Forms Online Do I Have To File A Final Estate Tax Return    in most cases, you’ll be filing state and federal income tax returns for the deceased. The personal representative (defined earlier) must file the final income tax return (form.   you may need to lodge a final tax return for the deceased person for the income year in which they died. (updated november 21, 2023) i need to change something. Do I Have To File A Final Estate Tax Return.
     
    
        From nyti.ms 
                    How to Fill Out Your Tax Return Like a Pro The New York Times Do I Have To File A Final Estate Tax Return    if their estate is valued over a certain threshold, you’ll be responsible for filing a regular return and a complex return called an estate.  as the representative of someone who died, you will need to file a final t1 income tax and benefit return for the person who.   in most cases, you’ll be filing state and federal. Do I Have To File A Final Estate Tax Return.
     
    
        From www.studocu.com 
                    When and Where to File and Pay the estate tax When and Where to File Do I Have To File A Final Estate Tax Return    if their estate is valued over a certain threshold, you’ll be responsible for filing a regular return and a complex return called an estate.   in most cases, you’ll be filing state and federal income tax returns for the deceased. The personal representative (defined earlier) must file the final income tax return (form.   a fiduciary generally must file. Do I Have To File A Final Estate Tax Return.
     
    
        From www.moneymax.ph 
                    Estate Tax in the Philippines An EasytoUnderstand Guide Do I Have To File A Final Estate Tax Return  The personal representative (defined earlier) must file the final income tax return (form.   if their estate is valued over a certain threshold, you’ll be responsible for filing a regular return and a complex return called an estate. This is the traditional form.  am i required to file an estate tax return?   in most cases, you’ll be filing. Do I Have To File A Final Estate Tax Return.
     
    
        From www.stoufferlegal.com 
                    Filing a Final Tax Return After the Death of a Loved One Do I Have To File A Final Estate Tax Return    you may need to lodge a final tax return for the deceased person for the income year in which they died.   if their estate is valued over a certain threshold, you’ll be responsible for filing a regular return and a complex return called an estate.   in most cases, you’ll be filing state and federal income tax returns. Do I Have To File A Final Estate Tax Return.