Calculate Uncertainty Equation . The uncertainty in a measurement: \[ \text{average} = \dfrac{\text{sum of measurements} }{\text{number of measurements}} \label{eq1} \] 2. Uncertainty in a single measurement. F=ma for example, to find the si units of force (f) multiply the units of mass and. At least ±1 smallest division; In this article, we’ll break down the steps to calculate absolute uncertainty and explain its importance in scientific research and data. Calculate the average value of all the measurements: The uncertainty in repeated data: Determine the correct number of significant figures for the result of a computation. Describe the relationship between the concepts of accuracy, precision, uncertainty, and discrepancy. The si units of quantities can be derived by their equation, e.g.
from answerfaerber.z13.web.core.windows.net
The uncertainty in repeated data: \[ \text{average} = \dfrac{\text{sum of measurements} }{\text{number of measurements}} \label{eq1} \] 2. Calculate the average value of all the measurements: F=ma for example, to find the si units of force (f) multiply the units of mass and. Determine the correct number of significant figures for the result of a computation. At least ±1 smallest division; Describe the relationship between the concepts of accuracy, precision, uncertainty, and discrepancy. In this article, we’ll break down the steps to calculate absolute uncertainty and explain its importance in scientific research and data. The si units of quantities can be derived by their equation, e.g. Uncertainty in a single measurement.
How To Use Uncertainty In Calculations
Calculate Uncertainty Equation Describe the relationship between the concepts of accuracy, precision, uncertainty, and discrepancy. In this article, we’ll break down the steps to calculate absolute uncertainty and explain its importance in scientific research and data. The uncertainty in a measurement: Uncertainty in a single measurement. The si units of quantities can be derived by their equation, e.g. Describe the relationship between the concepts of accuracy, precision, uncertainty, and discrepancy. F=ma for example, to find the si units of force (f) multiply the units of mass and. At least ±1 smallest division; The uncertainty in repeated data: \[ \text{average} = \dfrac{\text{sum of measurements} }{\text{number of measurements}} \label{eq1} \] 2. Calculate the average value of all the measurements: Determine the correct number of significant figures for the result of a computation.
From studymarxianism.z21.web.core.windows.net
How To Calculate Uncertainty Chemistry Calculate Uncertainty Equation The uncertainty in a measurement: In this article, we’ll break down the steps to calculate absolute uncertainty and explain its importance in scientific research and data. The uncertainty in repeated data: \[ \text{average} = \dfrac{\text{sum of measurements} }{\text{number of measurements}} \label{eq1} \] 2. F=ma for example, to find the si units of force (f) multiply the units of mass and.. Calculate Uncertainty Equation.
From deaconmcylawrence.blogspot.com
How to Calculate Uncertainty in Physics DeaconmcyLawrence Calculate Uncertainty Equation Calculate the average value of all the measurements: At least ±1 smallest division; Uncertainty in a single measurement. In this article, we’ll break down the steps to calculate absolute uncertainty and explain its importance in scientific research and data. \[ \text{average} = \dfrac{\text{sum of measurements} }{\text{number of measurements}} \label{eq1} \] 2. F=ma for example, to find the si units of. Calculate Uncertainty Equation.
From sunnafredrik.blogspot.com
Uncertainty of density formula SunnaFredrik Calculate Uncertainty Equation The uncertainty in a measurement: The si units of quantities can be derived by their equation, e.g. The uncertainty in repeated data: F=ma for example, to find the si units of force (f) multiply the units of mass and. At least ±1 smallest division; Determine the correct number of significant figures for the result of a computation. Uncertainty in a. Calculate Uncertainty Equation.
From www.youtube.com
HTPIB00C The uncertainty rule for addition or subtraction Example 1 Calculate Uncertainty Equation F=ma for example, to find the si units of force (f) multiply the units of mass and. Describe the relationship between the concepts of accuracy, precision, uncertainty, and discrepancy. Determine the correct number of significant figures for the result of a computation. Calculate the average value of all the measurements: The uncertainty in a measurement: Uncertainty in a single measurement.. Calculate Uncertainty Equation.
From www.youtube.com
Averages and Uncertainty Calculations YouTube Calculate Uncertainty Equation At least ±1 smallest division; Calculate the average value of all the measurements: The uncertainty in repeated data: In this article, we’ll break down the steps to calculate absolute uncertainty and explain its importance in scientific research and data. Determine the correct number of significant figures for the result of a computation. The si units of quantities can be derived. Calculate Uncertainty Equation.
From chemistnotes.com
Heisenberg Uncertainty Principle Definition, Equation, and Application Calculate Uncertainty Equation The uncertainty in repeated data: Describe the relationship between the concepts of accuracy, precision, uncertainty, and discrepancy. The si units of quantities can be derived by their equation, e.g. Uncertainty in a single measurement. Determine the correct number of significant figures for the result of a computation. \[ \text{average} = \dfrac{\text{sum of measurements} }{\text{number of measurements}} \label{eq1} \] 2. In. Calculate Uncertainty Equation.
From www.youtube.com
How to calculate Errors and Uncertainties Absolute, Fractional and Calculate Uncertainty Equation Describe the relationship between the concepts of accuracy, precision, uncertainty, and discrepancy. Calculate the average value of all the measurements: Determine the correct number of significant figures for the result of a computation. F=ma for example, to find the si units of force (f) multiply the units of mass and. In this article, we’ll break down the steps to calculate. Calculate Uncertainty Equation.
From answerfaerber.z13.web.core.windows.net
How To Use Uncertainty In Calculations Calculate Uncertainty Equation F=ma for example, to find the si units of force (f) multiply the units of mass and. \[ \text{average} = \dfrac{\text{sum of measurements} }{\text{number of measurements}} \label{eq1} \] 2. The uncertainty in a measurement: Determine the correct number of significant figures for the result of a computation. Describe the relationship between the concepts of accuracy, precision, uncertainty, and discrepancy. At. Calculate Uncertainty Equation.
From karlietepotts.blogspot.com
How to Calculate Uncertainty in Physics KarlietePotts Calculate Uncertainty Equation \[ \text{average} = \dfrac{\text{sum of measurements} }{\text{number of measurements}} \label{eq1} \] 2. Uncertainty in a single measurement. The uncertainty in repeated data: In this article, we’ll break down the steps to calculate absolute uncertainty and explain its importance in scientific research and data. The si units of quantities can be derived by their equation, e.g. F=ma for example, to find. Calculate Uncertainty Equation.
From www.wikihow.com
3 Ways to Calculate Uncertainty wikiHow Calculate Uncertainty Equation Describe the relationship between the concepts of accuracy, precision, uncertainty, and discrepancy. \[ \text{average} = \dfrac{\text{sum of measurements} }{\text{number of measurements}} \label{eq1} \] 2. In this article, we’ll break down the steps to calculate absolute uncertainty and explain its importance in scientific research and data. The si units of quantities can be derived by their equation, e.g. The uncertainty in. Calculate Uncertainty Equation.
From www.youtube.com
Uncertainty in mean YouTube Calculate Uncertainty Equation \[ \text{average} = \dfrac{\text{sum of measurements} }{\text{number of measurements}} \label{eq1} \] 2. The uncertainty in a measurement: In this article, we’ll break down the steps to calculate absolute uncertainty and explain its importance in scientific research and data. Calculate the average value of all the measurements: At least ±1 smallest division; The si units of quantities can be derived by. Calculate Uncertainty Equation.
From www.youtube.com
A Level Physics AQA Practical Skills Calculating Uncertainty. YouTube Calculate Uncertainty Equation At least ±1 smallest division; Uncertainty in a single measurement. The uncertainty in repeated data: F=ma for example, to find the si units of force (f) multiply the units of mass and. Determine the correct number of significant figures for the result of a computation. The si units of quantities can be derived by their equation, e.g. The uncertainty in. Calculate Uncertainty Equation.
From www.youtube.com
Worked Example on Calculation of Uncertainty xmphysics0 YouTube Calculate Uncertainty Equation \[ \text{average} = \dfrac{\text{sum of measurements} }{\text{number of measurements}} \label{eq1} \] 2. At least ±1 smallest division; The uncertainty in repeated data: In this article, we’ll break down the steps to calculate absolute uncertainty and explain its importance in scientific research and data. The uncertainty in a measurement: Determine the correct number of significant figures for the result of a. Calculate Uncertainty Equation.
From rayknoesims.blogspot.com
How to Calculate Uncertainty in Physics RayknoeSims Calculate Uncertainty Equation \[ \text{average} = \dfrac{\text{sum of measurements} }{\text{number of measurements}} \label{eq1} \] 2. In this article, we’ll break down the steps to calculate absolute uncertainty and explain its importance in scientific research and data. F=ma for example, to find the si units of force (f) multiply the units of mass and. The uncertainty in a measurement: Calculate the average value of. Calculate Uncertainty Equation.
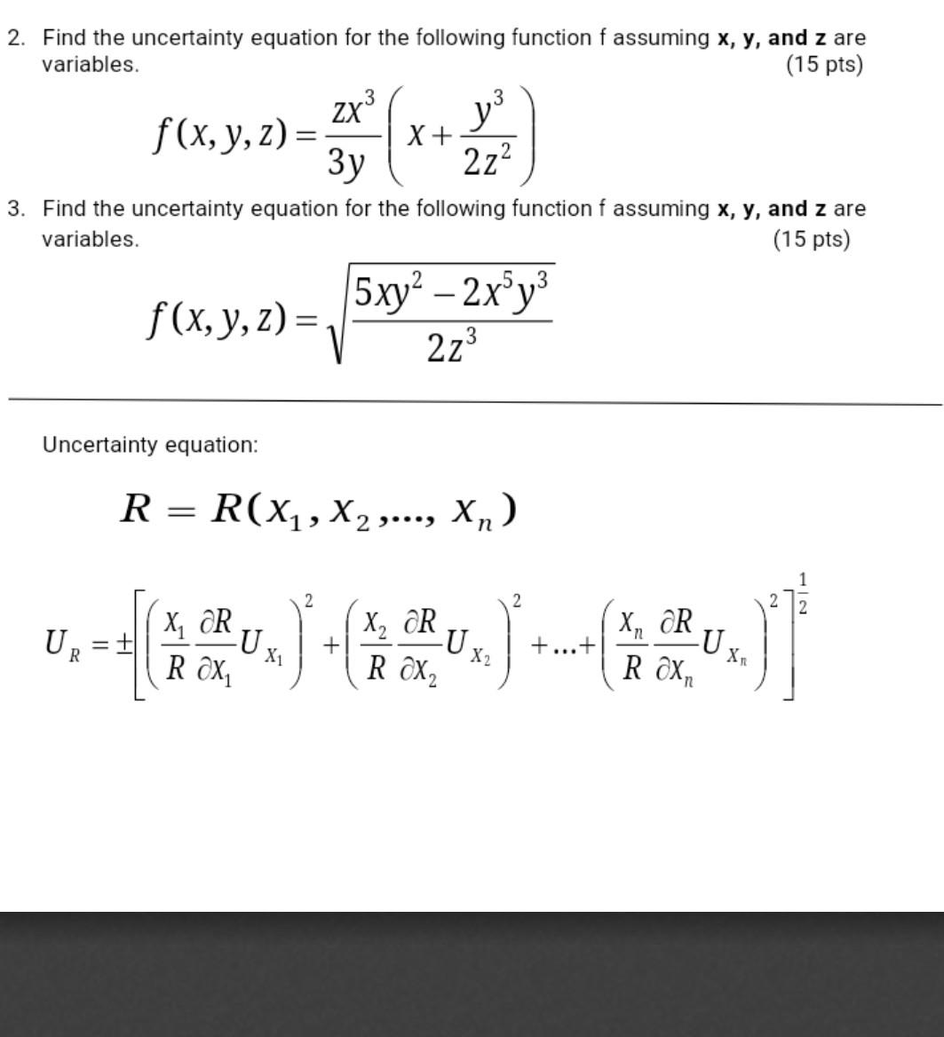
From www.chegg.com
Solved y 2. Find the uncertainty equation for the following Calculate Uncertainty Equation Uncertainty in a single measurement. Determine the correct number of significant figures for the result of a computation. The uncertainty in repeated data: The uncertainty in a measurement: F=ma for example, to find the si units of force (f) multiply the units of mass and. Describe the relationship between the concepts of accuracy, precision, uncertainty, and discrepancy. The si units. Calculate Uncertainty Equation.
From www.nagwa.com
Question Video Finding the Uncertainty in a Given Quantity Squared Nagwa Calculate Uncertainty Equation At least ±1 smallest division; Determine the correct number of significant figures for the result of a computation. The uncertainty in repeated data: In this article, we’ll break down the steps to calculate absolute uncertainty and explain its importance in scientific research and data. \[ \text{average} = \dfrac{\text{sum of measurements} }{\text{number of measurements}} \label{eq1} \] 2. Calculate the average value. Calculate Uncertainty Equation.
From www.wikihow.com
3 Ways to Calculate Uncertainty wikiHow Calculate Uncertainty Equation \[ \text{average} = \dfrac{\text{sum of measurements} }{\text{number of measurements}} \label{eq1} \] 2. In this article, we’ll break down the steps to calculate absolute uncertainty and explain its importance in scientific research and data. Calculate the average value of all the measurements: The si units of quantities can be derived by their equation, e.g. Describe the relationship between the concepts of. Calculate Uncertainty Equation.
From www.youtube.com
Uncertainty propagation by formula or spreadsheet YouTube Calculate Uncertainty Equation Uncertainty in a single measurement. The uncertainty in a measurement: F=ma for example, to find the si units of force (f) multiply the units of mass and. At least ±1 smallest division; The si units of quantities can be derived by their equation, e.g. \[ \text{average} = \dfrac{\text{sum of measurements} }{\text{number of measurements}} \label{eq1} \] 2. Determine the correct number. Calculate Uncertainty Equation.
From lessonlibrarymcginnis.z14.web.core.windows.net
How To Find The Uncertainty Calculate Uncertainty Equation At least ±1 smallest division; Describe the relationship between the concepts of accuracy, precision, uncertainty, and discrepancy. Calculate the average value of all the measurements: Uncertainty in a single measurement. Determine the correct number of significant figures for the result of a computation. \[ \text{average} = \dfrac{\text{sum of measurements} }{\text{number of measurements}} \label{eq1} \] 2. The uncertainty in repeated data:. Calculate Uncertainty Equation.
From www.youtube.com
Max and Min Slopes (Slope Uncertainty) IB Physics YouTube Calculate Uncertainty Equation In this article, we’ll break down the steps to calculate absolute uncertainty and explain its importance in scientific research and data. The uncertainty in repeated data: At least ±1 smallest division; Determine the correct number of significant figures for the result of a computation. Calculate the average value of all the measurements: Describe the relationship between the concepts of accuracy,. Calculate Uncertainty Equation.
From www.youtube.com
Experimental Uncertainty YouTube Calculate Uncertainty Equation At least ±1 smallest division; Describe the relationship between the concepts of accuracy, precision, uncertainty, and discrepancy. The uncertainty in repeated data: Uncertainty in a single measurement. F=ma for example, to find the si units of force (f) multiply the units of mass and. \[ \text{average} = \dfrac{\text{sum of measurements} }{\text{number of measurements}} \label{eq1} \] 2. Determine the correct number. Calculate Uncertainty Equation.
From www.wikihow.com
3 Ways to Calculate Uncertainty wikiHow Calculate Uncertainty Equation At least ±1 smallest division; Describe the relationship between the concepts of accuracy, precision, uncertainty, and discrepancy. In this article, we’ll break down the steps to calculate absolute uncertainty and explain its importance in scientific research and data. Determine the correct number of significant figures for the result of a computation. F=ma for example, to find the si units of. Calculate Uncertainty Equation.
From connortugillespie.blogspot.com
How to Calculate Uncertainty in Physics ConnortuGillespie Calculate Uncertainty Equation Determine the correct number of significant figures for the result of a computation. F=ma for example, to find the si units of force (f) multiply the units of mass and. Calculate the average value of all the measurements: At least ±1 smallest division; The si units of quantities can be derived by their equation, e.g. The uncertainty in repeated data:. Calculate Uncertainty Equation.
From www.youtube.com
Percent Uncertainty In Measurement YouTube Calculate Uncertainty Equation The uncertainty in repeated data: Calculate the average value of all the measurements: The si units of quantities can be derived by their equation, e.g. The uncertainty in a measurement: In this article, we’ll break down the steps to calculate absolute uncertainty and explain its importance in scientific research and data. Determine the correct number of significant figures for the. Calculate Uncertainty Equation.
From www.slideserve.com
PPT Uncertainty & Errors in Measurement PowerPoint Presentation ID Calculate Uncertainty Equation Determine the correct number of significant figures for the result of a computation. The uncertainty in repeated data: The uncertainty in a measurement: At least ±1 smallest division; The si units of quantities can be derived by their equation, e.g. Uncertainty in a single measurement. \[ \text{average} = \dfrac{\text{sum of measurements} }{\text{number of measurements}} \label{eq1} \] 2. Describe the relationship. Calculate Uncertainty Equation.
From www.youtube.com
Uncertainty Propagation the simple way YouTube Calculate Uncertainty Equation \[ \text{average} = \dfrac{\text{sum of measurements} }{\text{number of measurements}} \label{eq1} \] 2. At least ±1 smallest division; Describe the relationship between the concepts of accuracy, precision, uncertainty, and discrepancy. The uncertainty in a measurement: F=ma for example, to find the si units of force (f) multiply the units of mass and. Calculate the average value of all the measurements: Determine. Calculate Uncertainty Equation.
From www.pearson.com
Uncertainty Online Tutor, Practice Problems & Exam Prep Calculate Uncertainty Equation At least ±1 smallest division; The si units of quantities can be derived by their equation, e.g. Calculate the average value of all the measurements: Describe the relationship between the concepts of accuracy, precision, uncertainty, and discrepancy. F=ma for example, to find the si units of force (f) multiply the units of mass and. The uncertainty in a measurement: In. Calculate Uncertainty Equation.
From www.readchemistry.com
Heisenberg’s uncertainty Principle Read Chemistry Calculate Uncertainty Equation At least ±1 smallest division; The si units of quantities can be derived by their equation, e.g. Uncertainty in a single measurement. Describe the relationship between the concepts of accuracy, precision, uncertainty, and discrepancy. F=ma for example, to find the si units of force (f) multiply the units of mass and. In this article, we’ll break down the steps to. Calculate Uncertainty Equation.
From www.wikihow.com
3 Ways to Calculate Uncertainty wikiHow Calculate Uncertainty Equation \[ \text{average} = \dfrac{\text{sum of measurements} }{\text{number of measurements}} \label{eq1} \] 2. Determine the correct number of significant figures for the result of a computation. Calculate the average value of all the measurements: At least ±1 smallest division; The uncertainty in repeated data: Uncertainty in a single measurement. In this article, we’ll break down the steps to calculate absolute uncertainty. Calculate Uncertainty Equation.
From www.muelaner.com
Calculating an Uncertainty Budget for a Measurement Dr Jody Muelaner Calculate Uncertainty Equation Calculate the average value of all the measurements: The uncertainty in a measurement: At least ±1 smallest division; F=ma for example, to find the si units of force (f) multiply the units of mass and. In this article, we’ll break down the steps to calculate absolute uncertainty and explain its importance in scientific research and data. Uncertainty in a single. Calculate Uncertainty Equation.
From www.youtube.com
9.7.1 STEP 7 Calculating the combined standard uncertainty YouTube Calculate Uncertainty Equation Uncertainty in a single measurement. The uncertainty in repeated data: \[ \text{average} = \dfrac{\text{sum of measurements} }{\text{number of measurements}} \label{eq1} \] 2. At least ±1 smallest division; Calculate the average value of all the measurements: The uncertainty in a measurement: Describe the relationship between the concepts of accuracy, precision, uncertainty, and discrepancy. The si units of quantities can be derived. Calculate Uncertainty Equation.
From www.slideserve.com
PPT Experimental Uncertainties A Practical Guide PowerPoint Calculate Uncertainty Equation Describe the relationship between the concepts of accuracy, precision, uncertainty, and discrepancy. The uncertainty in a measurement: At least ±1 smallest division; Calculate the average value of all the measurements: Determine the correct number of significant figures for the result of a computation. F=ma for example, to find the si units of force (f) multiply the units of mass and.. Calculate Uncertainty Equation.
From eduinput.com
Uncertainty Principle Heisenberg uncertainty principle Calculate Uncertainty Equation Uncertainty in a single measurement. F=ma for example, to find the si units of force (f) multiply the units of mass and. \[ \text{average} = \dfrac{\text{sum of measurements} }{\text{number of measurements}} \label{eq1} \] 2. The uncertainty in a measurement: At least ±1 smallest division; Describe the relationship between the concepts of accuracy, precision, uncertainty, and discrepancy. The si units of. Calculate Uncertainty Equation.
From www.youtube.com
Calculating uncertainty in velocity (Heisenberg Uncertainty Principle Calculate Uncertainty Equation Determine the correct number of significant figures for the result of a computation. F=ma for example, to find the si units of force (f) multiply the units of mass and. In this article, we’ll break down the steps to calculate absolute uncertainty and explain its importance in scientific research and data. Calculate the average value of all the measurements: At. Calculate Uncertainty Equation.
From www.youtube.com
Uncertainty Calculation Sensitivity YouTube Calculate Uncertainty Equation Describe the relationship between the concepts of accuracy, precision, uncertainty, and discrepancy. Uncertainty in a single measurement. The uncertainty in a measurement: Determine the correct number of significant figures for the result of a computation. In this article, we’ll break down the steps to calculate absolute uncertainty and explain its importance in scientific research and data. F=ma for example, to. Calculate Uncertainty Equation.