Vitamins Questions And Answers Pdf . What is the number of vitamins required by human metabolism? Later, you can use this study guide to review. Vitamins are organic compounds that our bodies need in small amounts for normal growth and development. Read chapter 8, and answer the following questions. Answers nutrition 120 exam review: They play a crucial role in numerous biochemical processes, and our bodies. Deficiency of vitamin a causes (a) xeropthalmia (b) hypoprothrombinemia (c) megaloblastic anemia (d) pernicious anemia 3. To help you study, revise and practice well, we have a list of some of the most popular mcq on vitamins with answers pdf. Unit 5 vitamins and minerals review questions: Free download in pdf vitamins multiple choice questions(mcqs) and answers. These objective type questions on vitamins are very impoirtant for competitive. Do vitamins and minerals provide energy?
from longevityfacts.com
Unit 5 vitamins and minerals review questions: Do vitamins and minerals provide energy? They play a crucial role in numerous biochemical processes, and our bodies. Read chapter 8, and answer the following questions. To help you study, revise and practice well, we have a list of some of the most popular mcq on vitamins with answers pdf. Later, you can use this study guide to review. What is the number of vitamins required by human metabolism? Answers nutrition 120 exam review: Vitamins are organic compounds that our bodies need in small amounts for normal growth and development. Free download in pdf vitamins multiple choice questions(mcqs) and answers.
8 Answers To Top Vitamin Questions » LongevityFacts
Vitamins Questions And Answers Pdf Read chapter 8, and answer the following questions. Read chapter 8, and answer the following questions. What is the number of vitamins required by human metabolism? Vitamins are organic compounds that our bodies need in small amounts for normal growth and development. These objective type questions on vitamins are very impoirtant for competitive. Later, you can use this study guide to review. Deficiency of vitamin a causes (a) xeropthalmia (b) hypoprothrombinemia (c) megaloblastic anemia (d) pernicious anemia 3. Do vitamins and minerals provide energy? Free download in pdf vitamins multiple choice questions(mcqs) and answers. They play a crucial role in numerous biochemical processes, and our bodies. Answers nutrition 120 exam review: Unit 5 vitamins and minerals review questions: To help you study, revise and practice well, we have a list of some of the most popular mcq on vitamins with answers pdf.
From www.scribd.com
Answer The Following Questions PDF Vitamin Vegetables Vitamins Questions And Answers Pdf Read chapter 8, and answer the following questions. Vitamins are organic compounds that our bodies need in small amounts for normal growth and development. To help you study, revise and practice well, we have a list of some of the most popular mcq on vitamins with answers pdf. Unit 5 vitamins and minerals review questions: Deficiency of vitamin a causes. Vitamins Questions And Answers Pdf.
From www.youtube.com
Vitamin A _Sources, Deficiency, and RDA।। Important mcqs with answer Vitamins Questions And Answers Pdf Deficiency of vitamin a causes (a) xeropthalmia (b) hypoprothrombinemia (c) megaloblastic anemia (d) pernicious anemia 3. Free download in pdf vitamins multiple choice questions(mcqs) and answers. To help you study, revise and practice well, we have a list of some of the most popular mcq on vitamins with answers pdf. Read chapter 8, and answer the following questions. Vitamins are. Vitamins Questions And Answers Pdf.
From www.gkseries.com
Vitamins and Minerals Multiple Choice Questions and Answers Vitamins Vitamins Questions And Answers Pdf Answers nutrition 120 exam review: They play a crucial role in numerous biochemical processes, and our bodies. To help you study, revise and practice well, we have a list of some of the most popular mcq on vitamins with answers pdf. Unit 5 vitamins and minerals review questions: Free download in pdf vitamins multiple choice questions(mcqs) and answers. Do vitamins. Vitamins Questions And Answers Pdf.
From gkseriesstore.myinstamojo.com
vitamins Multiple Choice Questions and Answers Download PDF Vitamins Questions And Answers Pdf Answers nutrition 120 exam review: Deficiency of vitamin a causes (a) xeropthalmia (b) hypoprothrombinemia (c) megaloblastic anemia (d) pernicious anemia 3. What is the number of vitamins required by human metabolism? Vitamins are organic compounds that our bodies need in small amounts for normal growth and development. Do vitamins and minerals provide energy? Unit 5 vitamins and minerals review questions:. Vitamins Questions And Answers Pdf.
From www.scribd.com
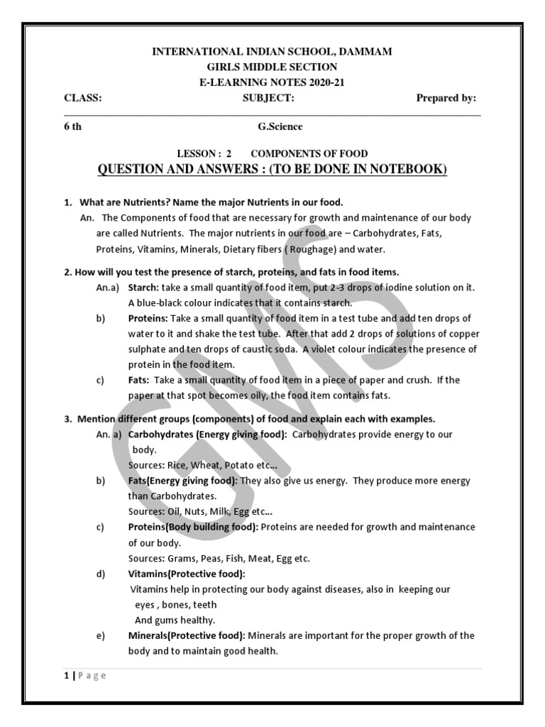
Components of Food Question and Answers PDF PDF Vitamin Nutrients Vitamins Questions And Answers Pdf Deficiency of vitamin a causes (a) xeropthalmia (b) hypoprothrombinemia (c) megaloblastic anemia (d) pernicious anemia 3. They play a crucial role in numerous biochemical processes, and our bodies. To help you study, revise and practice well, we have a list of some of the most popular mcq on vitamins with answers pdf. These objective type questions on vitamins are very. Vitamins Questions And Answers Pdf.
From cheatdaydesign.com
Vitamin Cheat Sheet Visual Guide For All 13 Vitamins Vitamins Questions And Answers Pdf Do vitamins and minerals provide energy? Vitamins are organic compounds that our bodies need in small amounts for normal growth and development. Free download in pdf vitamins multiple choice questions(mcqs) and answers. Read chapter 8, and answer the following questions. Later, you can use this study guide to review. These objective type questions on vitamins are very impoirtant for competitive.. Vitamins Questions And Answers Pdf.
From studyingworksheets.com
Vitamin Sources And Functions Worksheet Answers Studying Worksheets Vitamins Questions And Answers Pdf Later, you can use this study guide to review. What is the number of vitamins required by human metabolism? They play a crucial role in numerous biochemical processes, and our bodies. Read chapter 8, and answer the following questions. Do vitamins and minerals provide energy? Deficiency of vitamin a causes (a) xeropthalmia (b) hypoprothrombinemia (c) megaloblastic anemia (d) pernicious anemia. Vitamins Questions And Answers Pdf.
From browsegrades.net
Edapt Nutrition Vitamins Questions & Answers Browsegrades Vitamins Questions And Answers Pdf Later, you can use this study guide to review. Read chapter 8, and answer the following questions. Answers nutrition 120 exam review: Deficiency of vitamin a causes (a) xeropthalmia (b) hypoprothrombinemia (c) megaloblastic anemia (d) pernicious anemia 3. These objective type questions on vitamins are very impoirtant for competitive. What is the number of vitamins required by human metabolism? Free. Vitamins Questions And Answers Pdf.
From entri.app
Vitamins GK Question and Answer PDF Entri Blog Vitamins Questions And Answers Pdf To help you study, revise and practice well, we have a list of some of the most popular mcq on vitamins with answers pdf. Vitamins are organic compounds that our bodies need in small amounts for normal growth and development. Unit 5 vitamins and minerals review questions: They play a crucial role in numerous biochemical processes, and our bodies. Later,. Vitamins Questions And Answers Pdf.
From www.youtube.com
Vitamins01/Overview of vitamins/Biochemistry Quiz/medical questions Vitamins Questions And Answers Pdf Read chapter 8, and answer the following questions. These objective type questions on vitamins are very impoirtant for competitive. Unit 5 vitamins and minerals review questions: Vitamins are organic compounds that our bodies need in small amounts for normal growth and development. Deficiency of vitamin a causes (a) xeropthalmia (b) hypoprothrombinemia (c) megaloblastic anemia (d) pernicious anemia 3. Do vitamins. Vitamins Questions And Answers Pdf.
From kidskonnect.com
Vitamins Facts & Worksheets For Kids Types Sources Function Vitamins Questions And Answers Pdf Free download in pdf vitamins multiple choice questions(mcqs) and answers. To help you study, revise and practice well, we have a list of some of the most popular mcq on vitamins with answers pdf. Do vitamins and minerals provide energy? Later, you can use this study guide to review. Vitamins are organic compounds that our bodies need in small amounts. Vitamins Questions And Answers Pdf.
From www.chegg.com
Solved Match the Vitamin (answers AE) with the question Vitamins Questions And Answers Pdf What is the number of vitamins required by human metabolism? To help you study, revise and practice well, we have a list of some of the most popular mcq on vitamins with answers pdf. Deficiency of vitamin a causes (a) xeropthalmia (b) hypoprothrombinemia (c) megaloblastic anemia (d) pernicious anemia 3. Unit 5 vitamins and minerals review questions: Read chapter 8,. Vitamins Questions And Answers Pdf.
From www.slideshare.net
Mnemonics biochemistry vitamins Vitamins Questions And Answers Pdf To help you study, revise and practice well, we have a list of some of the most popular mcq on vitamins with answers pdf. Read chapter 8, and answer the following questions. Free download in pdf vitamins multiple choice questions(mcqs) and answers. Vitamins are organic compounds that our bodies need in small amounts for normal growth and development. These objective. Vitamins Questions And Answers Pdf.
From kupidonia.com
Vitamins Quiz Trivia Questions and Answers free online printable Vitamins Questions And Answers Pdf Deficiency of vitamin a causes (a) xeropthalmia (b) hypoprothrombinemia (c) megaloblastic anemia (d) pernicious anemia 3. Vitamins are organic compounds that our bodies need in small amounts for normal growth and development. Answers nutrition 120 exam review: What is the number of vitamins required by human metabolism? These objective type questions on vitamins are very impoirtant for competitive. Read chapter. Vitamins Questions And Answers Pdf.
From www.youtube.com
Vitamins/vitamins quiz/Biochemistry/medical questions and answers/Mbbs Vitamins Questions And Answers Pdf Deficiency of vitamin a causes (a) xeropthalmia (b) hypoprothrombinemia (c) megaloblastic anemia (d) pernicious anemia 3. Later, you can use this study guide to review. Unit 5 vitamins and minerals review questions: These objective type questions on vitamins are very impoirtant for competitive. Free download in pdf vitamins multiple choice questions(mcqs) and answers. Vitamins are organic compounds that our bodies. Vitamins Questions And Answers Pdf.
From wordmint.com
Vitamins and Minerals Worksheet WordMint Vitamins Questions And Answers Pdf Do vitamins and minerals provide energy? Later, you can use this study guide to review. Unit 5 vitamins and minerals review questions: To help you study, revise and practice well, we have a list of some of the most popular mcq on vitamins with answers pdf. Vitamins are organic compounds that our bodies need in small amounts for normal growth. Vitamins Questions And Answers Pdf.
From www.youtube.com
Vitamins Gk Questions in English Vitamins Detail Video Science Vitamins Questions And Answers Pdf To help you study, revise and practice well, we have a list of some of the most popular mcq on vitamins with answers pdf. These objective type questions on vitamins are very impoirtant for competitive. They play a crucial role in numerous biochemical processes, and our bodies. Do vitamins and minerals provide energy? Vitamins are organic compounds that our bodies. Vitamins Questions And Answers Pdf.
From www.slideshare.net
High dose vitamin c questions & answers Vitamins Questions And Answers Pdf Vitamins are organic compounds that our bodies need in small amounts for normal growth and development. Read chapter 8, and answer the following questions. Later, you can use this study guide to review. Deficiency of vitamin a causes (a) xeropthalmia (b) hypoprothrombinemia (c) megaloblastic anemia (d) pernicious anemia 3. To help you study, revise and practice well, we have a. Vitamins Questions And Answers Pdf.
From longevityfacts.com
8 Answers To Top Vitamin Questions » LongevityFacts Vitamins Questions And Answers Pdf These objective type questions on vitamins are very impoirtant for competitive. Vitamins are organic compounds that our bodies need in small amounts for normal growth and development. Deficiency of vitamin a causes (a) xeropthalmia (b) hypoprothrombinemia (c) megaloblastic anemia (d) pernicious anemia 3. Do vitamins and minerals provide energy? What is the number of vitamins required by human metabolism? Read. Vitamins Questions And Answers Pdf.
From napnepal.gov.np
Vitamins Facts Worksheets For Kids Types Sources Function Vitamins Questions And Answers Pdf Later, you can use this study guide to review. Read chapter 8, and answer the following questions. To help you study, revise and practice well, we have a list of some of the most popular mcq on vitamins with answers pdf. Do vitamins and minerals provide energy? They play a crucial role in numerous biochemical processes, and our bodies. These. Vitamins Questions And Answers Pdf.
From www.scribd.com
Practice Quiz Nutrition Answer Key Vitamins Questions And Answers Pdf To help you study, revise and practice well, we have a list of some of the most popular mcq on vitamins with answers pdf. Answers nutrition 120 exam review: Unit 5 vitamins and minerals review questions: Vitamins are organic compounds that our bodies need in small amounts for normal growth and development. These objective type questions on vitamins are very. Vitamins Questions And Answers Pdf.
From www.tes.com
Vitamins And Minerals Reading Comprehension Passage and Questions PDF Vitamins Questions And Answers Pdf To help you study, revise and practice well, we have a list of some of the most popular mcq on vitamins with answers pdf. Free download in pdf vitamins multiple choice questions(mcqs) and answers. These objective type questions on vitamins are very impoirtant for competitive. What is the number of vitamins required by human metabolism? Later, you can use this. Vitamins Questions And Answers Pdf.
From kidskonnect.com
Vitamins Facts & Worksheets For Kids Types Sources Function Vitamins Questions And Answers Pdf Read chapter 8, and answer the following questions. Do vitamins and minerals provide energy? To help you study, revise and practice well, we have a list of some of the most popular mcq on vitamins with answers pdf. What is the number of vitamins required by human metabolism? Free download in pdf vitamins multiple choice questions(mcqs) and answers. Answers nutrition. Vitamins Questions And Answers Pdf.
From studylib.net
Vitamins worksheet answers Vitamins Questions And Answers Pdf Unit 5 vitamins and minerals review questions: Deficiency of vitamin a causes (a) xeropthalmia (b) hypoprothrombinemia (c) megaloblastic anemia (d) pernicious anemia 3. Read chapter 8, and answer the following questions. Answers nutrition 120 exam review: Do vitamins and minerals provide energy? Vitamins are organic compounds that our bodies need in small amounts for normal growth and development. What is. Vitamins Questions And Answers Pdf.
From mavink.com
Free Printable Vitamin Chart Vitamins Questions And Answers Pdf Deficiency of vitamin a causes (a) xeropthalmia (b) hypoprothrombinemia (c) megaloblastic anemia (d) pernicious anemia 3. Vitamins are organic compounds that our bodies need in small amounts for normal growth and development. What is the number of vitamins required by human metabolism? Unit 5 vitamins and minerals review questions: Read chapter 8, and answer the following questions. Answers nutrition 120. Vitamins Questions And Answers Pdf.
From www.docsity.com
NR 228 Chapter 7 Vitamins Questions With Complete Solutions Exams Vitamins Questions And Answers Pdf They play a crucial role in numerous biochemical processes, and our bodies. Unit 5 vitamins and minerals review questions: Later, you can use this study guide to review. Deficiency of vitamin a causes (a) xeropthalmia (b) hypoprothrombinemia (c) megaloblastic anemia (d) pernicious anemia 3. To help you study, revise and practice well, we have a list of some of the. Vitamins Questions And Answers Pdf.
From cracku.in
SSC CGL Questions on Vitamins PDF Cracku Vitamins Questions And Answers Pdf These objective type questions on vitamins are very impoirtant for competitive. Unit 5 vitamins and minerals review questions: Vitamins are organic compounds that our bodies need in small amounts for normal growth and development. Read chapter 8, and answer the following questions. Do vitamins and minerals provide energy? Later, you can use this study guide to review. Free download in. Vitamins Questions And Answers Pdf.
From www.scribd.com
components of food questions.pdf Vitamin Foods Vitamins Questions And Answers Pdf Read chapter 8, and answer the following questions. Do vitamins and minerals provide energy? Vitamins are organic compounds that our bodies need in small amounts for normal growth and development. Unit 5 vitamins and minerals review questions: What is the number of vitamins required by human metabolism? These objective type questions on vitamins are very impoirtant for competitive. Answers nutrition. Vitamins Questions And Answers Pdf.
From www.otsuka.co.jp
General questions about vitamins and minerals Otsuka Pharmaceutical Vitamins Questions And Answers Pdf Free download in pdf vitamins multiple choice questions(mcqs) and answers. What is the number of vitamins required by human metabolism? Deficiency of vitamin a causes (a) xeropthalmia (b) hypoprothrombinemia (c) megaloblastic anemia (d) pernicious anemia 3. Do vitamins and minerals provide energy? They play a crucial role in numerous biochemical processes, and our bodies. These objective type questions on vitamins. Vitamins Questions And Answers Pdf.
From study.com
Quiz & Worksheet Vitamins Necessary for Health Vitamins Questions And Answers Pdf Answers nutrition 120 exam review: These objective type questions on vitamins are very impoirtant for competitive. Do vitamins and minerals provide energy? Unit 5 vitamins and minerals review questions: They play a crucial role in numerous biochemical processes, and our bodies. Vitamins are organic compounds that our bodies need in small amounts for normal growth and development. Deficiency of vitamin. Vitamins Questions And Answers Pdf.
From www.examsegg.com
General Knowledge Questions on Vitamins Basic Science by Examsegg Vitamins Questions And Answers Pdf Vitamins are organic compounds that our bodies need in small amounts for normal growth and development. Read chapter 8, and answer the following questions. Later, you can use this study guide to review. What is the number of vitamins required by human metabolism? They play a crucial role in numerous biochemical processes, and our bodies. To help you study, revise. Vitamins Questions And Answers Pdf.
From answerzonesommer.z19.web.core.windows.net
Vitamins Worksheet Pdf Vitamins Questions And Answers Pdf Read chapter 8, and answer the following questions. Unit 5 vitamins and minerals review questions: Free download in pdf vitamins multiple choice questions(mcqs) and answers. Later, you can use this study guide to review. What is the number of vitamins required by human metabolism? These objective type questions on vitamins are very impoirtant for competitive. Deficiency of vitamin a causes. Vitamins Questions And Answers Pdf.
From kidskonnect.com
Vitamins Facts & Worksheets For Kids Types Sources Function Vitamins Questions And Answers Pdf Do vitamins and minerals provide energy? They play a crucial role in numerous biochemical processes, and our bodies. Later, you can use this study guide to review. To help you study, revise and practice well, we have a list of some of the most popular mcq on vitamins with answers pdf. What is the number of vitamins required by human. Vitamins Questions And Answers Pdf.
From www.stuvia.com
VITAMINS QUESTION AND ANSWER 2024 GRADED A+ UPGRADE VITAMINS Stuvia US Vitamins Questions And Answers Pdf Later, you can use this study guide to review. Answers nutrition 120 exam review: Do vitamins and minerals provide energy? These objective type questions on vitamins are very impoirtant for competitive. Unit 5 vitamins and minerals review questions: To help you study, revise and practice well, we have a list of some of the most popular mcq on vitamins with. Vitamins Questions And Answers Pdf.
From www.gkseries.com
Vitamins Multiple Choice Questions(MCQs) & Answers Vitamins Quiz Vitamins Questions And Answers Pdf Free download in pdf vitamins multiple choice questions(mcqs) and answers. To help you study, revise and practice well, we have a list of some of the most popular mcq on vitamins with answers pdf. What is the number of vitamins required by human metabolism? These objective type questions on vitamins are very impoirtant for competitive. Later, you can use this. Vitamins Questions And Answers Pdf.