Standard Electrode Potential Of Ni2+/Ni . 372 rows the data below tabulates standard electrode potentials (e °), in volts relative to the standard hydrogen electrode (she), at:. Standard electrode potential of \( ni ^{2+} / \) ni electrode, if the cell potential of the cell \( ni \mid ni ^{2+}. calculating standard cell potentials in order to function, any electrochemical cell must consist of two. the potential of the standard hydrogen electrode (she) is defined as 0 v under standard conditions. using the standard electrode potentials in the table below, calculate the. Standard reduction potentials by value. 45 rows standard electrode potentials in aqueous solution at 25 c The following table provides eo for selected reduction.
from www.meritnation.com
calculating standard cell potentials in order to function, any electrochemical cell must consist of two. using the standard electrode potentials in the table below, calculate the. Standard reduction potentials by value. 372 rows the data below tabulates standard electrode potentials (e °), in volts relative to the standard hydrogen electrode (she), at:. the potential of the standard hydrogen electrode (she) is defined as 0 v under standard conditions. Standard electrode potential of \( ni ^{2+} / \) ni electrode, if the cell potential of the cell \( ni \mid ni ^{2+}. The following table provides eo for selected reduction. 45 rows standard electrode potentials in aqueous solution at 25 c
Calculate the standard electrode potential of Ni2+/Ni electrode if emf
Standard Electrode Potential Of Ni2+/Ni 45 rows standard electrode potentials in aqueous solution at 25 c using the standard electrode potentials in the table below, calculate the. Standard reduction potentials by value. The following table provides eo for selected reduction. 372 rows the data below tabulates standard electrode potentials (e °), in volts relative to the standard hydrogen electrode (she), at:. Standard electrode potential of \( ni ^{2+} / \) ni electrode, if the cell potential of the cell \( ni \mid ni ^{2+}. 45 rows standard electrode potentials in aqueous solution at 25 c calculating standard cell potentials in order to function, any electrochemical cell must consist of two. the potential of the standard hydrogen electrode (she) is defined as 0 v under standard conditions.
From www.doubtnut.com
[Odia] Calculate the standard electrode potential of Ni^(2+) Ni elec Standard Electrode Potential Of Ni2+/Ni calculating standard cell potentials in order to function, any electrochemical cell must consist of two. 45 rows standard electrode potentials in aqueous solution at 25 c The following table provides eo for selected reduction. Standard electrode potential of \( ni ^{2+} / \) ni electrode, if the cell potential of the cell \( ni \mid ni ^{2+}. Standard. Standard Electrode Potential Of Ni2+/Ni.
From www.toppr.com
Tivell, z.2+17. 0.JUV, LC2+ ca V.Tuu muovu MT N0.314 JKmolly 15 Standard Electrode Potential Of Ni2+/Ni calculating standard cell potentials in order to function, any electrochemical cell must consist of two. the potential of the standard hydrogen electrode (she) is defined as 0 v under standard conditions. Standard reduction potentials by value. using the standard electrode potentials in the table below, calculate the. 372 rows the data below tabulates standard electrode potentials. Standard Electrode Potential Of Ni2+/Ni.
From www.meritnation.com
Calculate the standard electrode potential of Ni2+/Ni electrode if emf Standard Electrode Potential Of Ni2+/Ni The following table provides eo for selected reduction. Standard reduction potentials by value. 372 rows the data below tabulates standard electrode potentials (e °), in volts relative to the standard hydrogen electrode (she), at:. calculating standard cell potentials in order to function, any electrochemical cell must consist of two. the potential of the standard hydrogen electrode (she). Standard Electrode Potential Of Ni2+/Ni.
From www.numerade.com
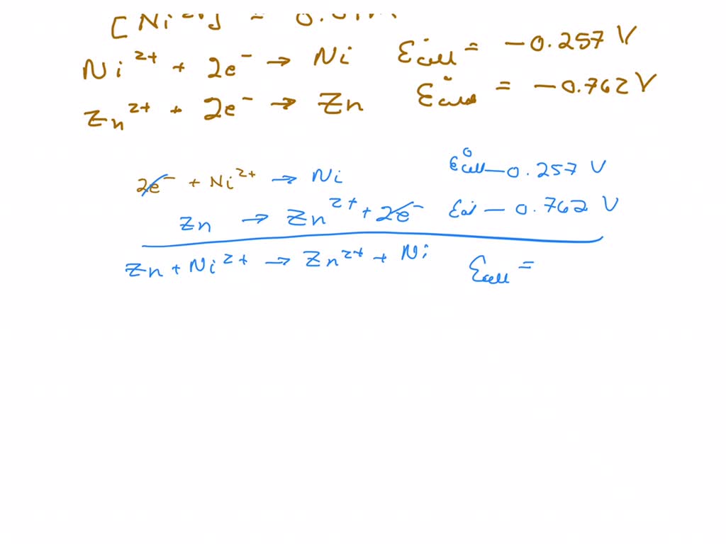
For an electrochemical cell with the cell reaction of Zn + Ni(2+) > Zn Standard Electrode Potential Of Ni2+/Ni Standard reduction potentials by value. 372 rows the data below tabulates standard electrode potentials (e °), in volts relative to the standard hydrogen electrode (she), at:. using the standard electrode potentials in the table below, calculate the. The following table provides eo for selected reduction. calculating standard cell potentials in order to function, any electrochemical cell must. Standard Electrode Potential Of Ni2+/Ni.
From www.youtube.com
Calculate the standard electrode potential of Ni2+/Ni electrode if Standard Electrode Potential Of Ni2+/Ni Standard reduction potentials by value. 372 rows the data below tabulates standard electrode potentials (e °), in volts relative to the standard hydrogen electrode (she), at:. using the standard electrode potentials in the table below, calculate the. The following table provides eo for selected reduction. 45 rows standard electrode potentials in aqueous solution at 25 c . Standard Electrode Potential Of Ni2+/Ni.
From askfilo.com
Calculate the standard electrode potential of Ni2+∣Ni electrode if the ce.. Standard Electrode Potential Of Ni2+/Ni Standard reduction potentials by value. calculating standard cell potentials in order to function, any electrochemical cell must consist of two. using the standard electrode potentials in the table below, calculate the. The following table provides eo for selected reduction. 45 rows standard electrode potentials in aqueous solution at 25 c Standard electrode potential of \( ni ^{2+}. Standard Electrode Potential Of Ni2+/Ni.
From www.numerade.com
SOLVED For an electrochemical cell with the cell reaction of Zn + Ni(2 Standard Electrode Potential Of Ni2+/Ni Standard electrode potential of \( ni ^{2+} / \) ni electrode, if the cell potential of the cell \( ni \mid ni ^{2+}. 372 rows the data below tabulates standard electrode potentials (e °), in volts relative to the standard hydrogen electrode (she), at:. the potential of the standard hydrogen electrode (she) is defined as 0 v under. Standard Electrode Potential Of Ni2+/Ni.
From chem.libretexts.org
9.4 Standard Electrode Potentials Chemistry LibreTexts Standard Electrode Potential Of Ni2+/Ni Standard electrode potential of \( ni ^{2+} / \) ni electrode, if the cell potential of the cell \( ni \mid ni ^{2+}. the potential of the standard hydrogen electrode (she) is defined as 0 v under standard conditions. using the standard electrode potentials in the table below, calculate the. The following table provides eo for selected reduction.. Standard Electrode Potential Of Ni2+/Ni.
From www.chegg.com
Solved In the following cell, A is a standard Ni2+1 Ni Standard Electrode Potential Of Ni2+/Ni using the standard electrode potentials in the table below, calculate the. Standard electrode potential of \( ni ^{2+} / \) ni electrode, if the cell potential of the cell \( ni \mid ni ^{2+}. 372 rows the data below tabulates standard electrode potentials (e °), in volts relative to the standard hydrogen electrode (she), at:. 45 rows. Standard Electrode Potential Of Ni2+/Ni.
From www.doubtnut.com
[Punjabi] Calculate the standard electrode potential of Ni2+/Ni electr Standard Electrode Potential Of Ni2+/Ni Standard electrode potential of \( ni ^{2+} / \) ni electrode, if the cell potential of the cell \( ni \mid ni ^{2+}. calculating standard cell potentials in order to function, any electrochemical cell must consist of two. using the standard electrode potentials in the table below, calculate the. the potential of the standard hydrogen electrode (she). Standard Electrode Potential Of Ni2+/Ni.
From www.youtube.com
The standard oxidation potential of `Ni//Ni^(2+)` electrode is `0.236 Standard Electrode Potential Of Ni2+/Ni the potential of the standard hydrogen electrode (she) is defined as 0 v under standard conditions. 372 rows the data below tabulates standard electrode potentials (e °), in volts relative to the standard hydrogen electrode (she), at:. The following table provides eo for selected reduction. using the standard electrode potentials in the table below, calculate the. Standard. Standard Electrode Potential Of Ni2+/Ni.
From www.toppr.com
Calculate the standard electrode potential of Ni2+/Ni electrode emf of Standard Electrode Potential Of Ni2+/Ni calculating standard cell potentials in order to function, any electrochemical cell must consist of two. Standard reduction potentials by value. 45 rows standard electrode potentials in aqueous solution at 25 c The following table provides eo for selected reduction. the potential of the standard hydrogen electrode (she) is defined as 0 v under standard conditions. using. Standard Electrode Potential Of Ni2+/Ni.
From brainly.in
23. The standard oxidation potential of Ni/Ni2+electrode is 0.236 V. If Standard Electrode Potential Of Ni2+/Ni the potential of the standard hydrogen electrode (she) is defined as 0 v under standard conditions. 45 rows standard electrode potentials in aqueous solution at 25 c using the standard electrode potentials in the table below, calculate the. 372 rows the data below tabulates standard electrode potentials (e °), in volts relative to the standard hydrogen. Standard Electrode Potential Of Ni2+/Ni.
From www.numerade.com
SOLVED Electrochemical Cells Worksheet 1. Calculate the standard cell Standard Electrode Potential Of Ni2+/Ni using the standard electrode potentials in the table below, calculate the. The following table provides eo for selected reduction. the potential of the standard hydrogen electrode (she) is defined as 0 v under standard conditions. Standard reduction potentials by value. 372 rows the data below tabulates standard electrode potentials (e °), in volts relative to the standard. Standard Electrode Potential Of Ni2+/Ni.
From www.numerade.com
SOLVED For an electrochemical cell with the cell reaction of Zn + Ni(2 Standard Electrode Potential Of Ni2+/Ni 372 rows the data below tabulates standard electrode potentials (e °), in volts relative to the standard hydrogen electrode (she), at:. 45 rows standard electrode potentials in aqueous solution at 25 c The following table provides eo for selected reduction. Standard reduction potentials by value. calculating standard cell potentials in order to function, any electrochemical cell must. Standard Electrode Potential Of Ni2+/Ni.
From www.meritnation.com
Calculate the standard electrode potential of Ni2+/Ni electrode if emf Standard Electrode Potential Of Ni2+/Ni 372 rows the data below tabulates standard electrode potentials (e °), in volts relative to the standard hydrogen electrode (she), at:. using the standard electrode potentials in the table below, calculate the. the potential of the standard hydrogen electrode (she) is defined as 0 v under standard conditions. calculating standard cell potentials in order to function,. Standard Electrode Potential Of Ni2+/Ni.
From exohmihef.blob.core.windows.net
Standard Electrode Potential Meaning at Francis McQuay blog Standard Electrode Potential Of Ni2+/Ni using the standard electrode potentials in the table below, calculate the. Standard electrode potential of \( ni ^{2+} / \) ni electrode, if the cell potential of the cell \( ni \mid ni ^{2+}. The following table provides eo for selected reduction. 372 rows the data below tabulates standard electrode potentials (e °), in volts relative to the. Standard Electrode Potential Of Ni2+/Ni.
From www.toppr.com
What is the electrode potential (in V) of the following electrode at 25 Standard Electrode Potential Of Ni2+/Ni The following table provides eo for selected reduction. the potential of the standard hydrogen electrode (she) is defined as 0 v under standard conditions. calculating standard cell potentials in order to function, any electrochemical cell must consist of two. 372 rows the data below tabulates standard electrode potentials (e °), in volts relative to the standard hydrogen. Standard Electrode Potential Of Ni2+/Ni.
From chembook.org
Standard Potential Standard Electrode Potential Of Ni2+/Ni Standard reduction potentials by value. calculating standard cell potentials in order to function, any electrochemical cell must consist of two. 372 rows the data below tabulates standard electrode potentials (e °), in volts relative to the standard hydrogen electrode (she), at:. The following table provides eo for selected reduction. the potential of the standard hydrogen electrode (she). Standard Electrode Potential Of Ni2+/Ni.
From leverageedu.com
Electrochemical Series Notes Chemistry Class 11 & 12 Leverage Edu Standard Electrode Potential Of Ni2+/Ni Standard reduction potentials by value. calculating standard cell potentials in order to function, any electrochemical cell must consist of two. the potential of the standard hydrogen electrode (she) is defined as 0 v under standard conditions. Standard electrode potential of \( ni ^{2+} / \) ni electrode, if the cell potential of the cell \( ni \mid ni. Standard Electrode Potential Of Ni2+/Ni.
From www.chegg.com
Solved A galvanic cell using Au+/ Au and Ni2+/Ni was set up Standard Electrode Potential Of Ni2+/Ni 45 rows standard electrode potentials in aqueous solution at 25 c The following table provides eo for selected reduction. calculating standard cell potentials in order to function, any electrochemical cell must consist of two. Standard reduction potentials by value. Standard electrode potential of \( ni ^{2+} / \) ni electrode, if the cell potential of the cell \(. Standard Electrode Potential Of Ni2+/Ni.
From www.numerade.com
SOLVED An electrochemical cell is constructed by connecting half cells Standard Electrode Potential Of Ni2+/Ni calculating standard cell potentials in order to function, any electrochemical cell must consist of two. using the standard electrode potentials in the table below, calculate the. the potential of the standard hydrogen electrode (she) is defined as 0 v under standard conditions. Standard electrode potential of \( ni ^{2+} / \) ni electrode, if the cell potential. Standard Electrode Potential Of Ni2+/Ni.
From www.toppr.com
The standard electrode potential of two half cells are given below Ni Standard Electrode Potential Of Ni2+/Ni Standard electrode potential of \( ni ^{2+} / \) ni electrode, if the cell potential of the cell \( ni \mid ni ^{2+}. Standard reduction potentials by value. calculating standard cell potentials in order to function, any electrochemical cell must consist of two. using the standard electrode potentials in the table below, calculate the. the potential of. Standard Electrode Potential Of Ni2+/Ni.
From www.numerade.com
SOLVED For a cell Zn Zn?+ (0.8 M) I/ Ni2+ (0.8 M) / Ni The standard Standard Electrode Potential Of Ni2+/Ni The following table provides eo for selected reduction. using the standard electrode potentials in the table below, calculate the. 45 rows standard electrode potentials in aqueous solution at 25 c 372 rows the data below tabulates standard electrode potentials (e °), in volts relative to the standard hydrogen electrode (she), at:. Standard reduction potentials by value. . Standard Electrode Potential Of Ni2+/Ni.
From www.toppr.com
The standard electrode potentials of the two half calls are given below Standard Electrode Potential Of Ni2+/Ni The following table provides eo for selected reduction. the potential of the standard hydrogen electrode (she) is defined as 0 v under standard conditions. calculating standard cell potentials in order to function, any electrochemical cell must consist of two. using the standard electrode potentials in the table below, calculate the. Standard reduction potentials by value. 45. Standard Electrode Potential Of Ni2+/Ni.
From pandai.me
Standard Electrode Potential Standard Electrode Potential Of Ni2+/Ni calculating standard cell potentials in order to function, any electrochemical cell must consist of two. the potential of the standard hydrogen electrode (she) is defined as 0 v under standard conditions. 372 rows the data below tabulates standard electrode potentials (e °), in volts relative to the standard hydrogen electrode (she), at:. using the standard electrode. Standard Electrode Potential Of Ni2+/Ni.
From www.meritnation.com
Calculate the standard electrode potential of Ni2+/Ni electrode if emf Standard Electrode Potential Of Ni2+/Ni Standard electrode potential of \( ni ^{2+} / \) ni electrode, if the cell potential of the cell \( ni \mid ni ^{2+}. Standard reduction potentials by value. 372 rows the data below tabulates standard electrode potentials (e °), in volts relative to the standard hydrogen electrode (she), at:. using the standard electrode potentials in the table below,. Standard Electrode Potential Of Ni2+/Ni.
From www.numerade.com
SOLVED Calculate the standard cell potential produced by a galvanic Standard Electrode Potential Of Ni2+/Ni The following table provides eo for selected reduction. 372 rows the data below tabulates standard electrode potentials (e °), in volts relative to the standard hydrogen electrode (she), at:. Standard reduction potentials by value. calculating standard cell potentials in order to function, any electrochemical cell must consist of two. Standard electrode potential of \( ni ^{2+} / \). Standard Electrode Potential Of Ni2+/Ni.
From www.docbrown.info
electrode potential charts for transition metals 3dblock compounds Standard Electrode Potential Of Ni2+/Ni Standard electrode potential of \( ni ^{2+} / \) ni electrode, if the cell potential of the cell \( ni \mid ni ^{2+}. the potential of the standard hydrogen electrode (she) is defined as 0 v under standard conditions. 45 rows standard electrode potentials in aqueous solution at 25 c calculating standard cell potentials in order to. Standard Electrode Potential Of Ni2+/Ni.
From www.meritnation.com
Calculate the standard electrode potential of Ni2+/Ni electrode if emf Standard Electrode Potential Of Ni2+/Ni The following table provides eo for selected reduction. calculating standard cell potentials in order to function, any electrochemical cell must consist of two. Standard electrode potential of \( ni ^{2+} / \) ni electrode, if the cell potential of the cell \( ni \mid ni ^{2+}. using the standard electrode potentials in the table below, calculate the. . Standard Electrode Potential Of Ni2+/Ni.
From www.doubtnut.com
Calculate the standard electrode potential of the Ni^(2+)//Ni electrod Standard Electrode Potential Of Ni2+/Ni calculating standard cell potentials in order to function, any electrochemical cell must consist of two. The following table provides eo for selected reduction. the potential of the standard hydrogen electrode (she) is defined as 0 v under standard conditions. Standard electrode potential of \( ni ^{2+} / \) ni electrode, if the cell potential of the cell \(. Standard Electrode Potential Of Ni2+/Ni.
From chemwiki.ucdavis.edu
Standard Potentials Chemwiki Standard Electrode Potential Of Ni2+/Ni 45 rows standard electrode potentials in aqueous solution at 25 c Standard electrode potential of \( ni ^{2+} / \) ni electrode, if the cell potential of the cell \( ni \mid ni ^{2+}. calculating standard cell potentials in order to function, any electrochemical cell must consist of two. The following table provides eo for selected reduction. Standard. Standard Electrode Potential Of Ni2+/Ni.
From exoeelsdz.blob.core.windows.net
Standard Electrode Potentials Chemguide at Richard Reddish blog Standard Electrode Potential Of Ni2+/Ni Standard reduction potentials by value. 45 rows standard electrode potentials in aqueous solution at 25 c Standard electrode potential of \( ni ^{2+} / \) ni electrode, if the cell potential of the cell \( ni \mid ni ^{2+}. 372 rows the data below tabulates standard electrode potentials (e °), in volts relative to the standard hydrogen electrode. Standard Electrode Potential Of Ni2+/Ni.
From www.numerade.com
SOLVED A galvanic cell consists of a ni2+/ ni halfcell and a standard Standard Electrode Potential Of Ni2+/Ni The following table provides eo for selected reduction. 45 rows standard electrode potentials in aqueous solution at 25 c 372 rows the data below tabulates standard electrode potentials (e °), in volts relative to the standard hydrogen electrode (she), at:. the potential of the standard hydrogen electrode (she) is defined as 0 v under standard conditions. . Standard Electrode Potential Of Ni2+/Ni.
From www.numerade.com
SOLVED The standard electrode potential for the reduction of Ni2+ to Standard Electrode Potential Of Ni2+/Ni the potential of the standard hydrogen electrode (she) is defined as 0 v under standard conditions. using the standard electrode potentials in the table below, calculate the. Standard electrode potential of \( ni ^{2+} / \) ni electrode, if the cell potential of the cell \( ni \mid ni ^{2+}. 45 rows standard electrode potentials in aqueous. Standard Electrode Potential Of Ni2+/Ni.