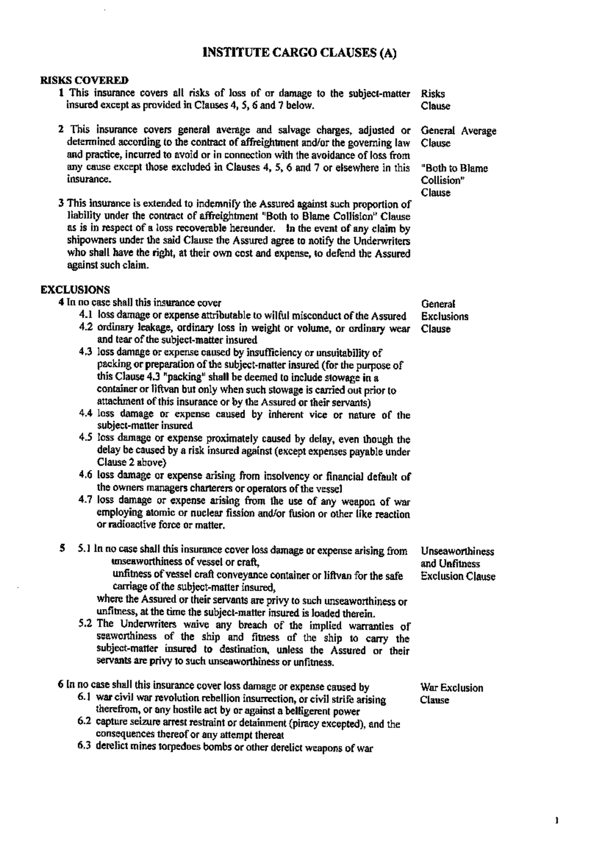
Institute Cargo Clauses Summary . Institute cargo clauses (a) is the cargo insurance policy type which is. Institute cargo clauses (c) is the cargo insurance policy type which is requested by the incoterms 2010 rules. There are three different types of institute cargo clauses in marine insurance: This post will explain what each clause. Three main sets of institute cargo clauses: Institute cargo clauses (a) institute cargo clauses (b) institute cargo clauses (c) other institute. Institute cargo clauses (a) risks covered. Institute cargo clauses comparison this is a quick reference guide to the differences between the three sets of institute cargo clauses cl382/cl383/cl384 1.1.09. There are mainly three institute cargo clauses in marine insurance: Each clause specifies the extent of coverage. This page provides information on the joint cargo committee (jcc) project to update the institute cargo clauses.
from dokumen.tips
Institute cargo clauses (a) risks covered. This post will explain what each clause. Institute cargo clauses comparison this is a quick reference guide to the differences between the three sets of institute cargo clauses cl382/cl383/cl384 1.1.09. Three main sets of institute cargo clauses: Institute cargo clauses (a) institute cargo clauses (b) institute cargo clauses (c) other institute. There are three different types of institute cargo clauses in marine insurance: Each clause specifies the extent of coverage. There are mainly three institute cargo clauses in marine insurance: Institute cargo clauses (a) is the cargo insurance policy type which is. This page provides information on the joint cargo committee (jcc) project to update the institute cargo clauses.
(PDF) Institute Cargo Clauses (Air) DOKUMEN.TIPS
Institute Cargo Clauses Summary This page provides information on the joint cargo committee (jcc) project to update the institute cargo clauses. Institute cargo clauses (a) is the cargo insurance policy type which is. Institute cargo clauses (a) institute cargo clauses (b) institute cargo clauses (c) other institute. Three main sets of institute cargo clauses: This page provides information on the joint cargo committee (jcc) project to update the institute cargo clauses. Each clause specifies the extent of coverage. Institute cargo clauses (c) is the cargo insurance policy type which is requested by the incoterms 2010 rules. Institute cargo clauses comparison this is a quick reference guide to the differences between the three sets of institute cargo clauses cl382/cl383/cl384 1.1.09. There are three different types of institute cargo clauses in marine insurance: There are mainly three institute cargo clauses in marine insurance: This post will explain what each clause. Institute cargo clauses (a) risks covered.
From www.scribd.com
Institute Cargo Clauses (B) Summary PDF Insurance Water Transport Institute Cargo Clauses Summary Institute cargo clauses (a) is the cargo insurance policy type which is. Each clause specifies the extent of coverage. There are mainly three institute cargo clauses in marine insurance: Three main sets of institute cargo clauses: This page provides information on the joint cargo committee (jcc) project to update the institute cargo clauses. There are three different types of institute. Institute Cargo Clauses Summary.
From www.scribd.com
Institute Cargo Clauses (A) (For Use Only With MAR Policy Form) PDF Insurance Private Law Institute Cargo Clauses Summary This post will explain what each clause. Institute cargo clauses comparison this is a quick reference guide to the differences between the three sets of institute cargo clauses cl382/cl383/cl384 1.1.09. There are mainly three institute cargo clauses in marine insurance: Institute cargo clauses (a) institute cargo clauses (b) institute cargo clauses (c) other institute. Institute cargo clauses (a) is the. Institute Cargo Clauses Summary.
From www.scribd.com
Institute Cargo Clauses 2009 PDF PDF Insurance Nuclear Weapons Institute Cargo Clauses Summary Institute cargo clauses (a) institute cargo clauses (b) institute cargo clauses (c) other institute. Institute cargo clauses (a) is the cargo insurance policy type which is. Institute cargo clauses (c) is the cargo insurance policy type which is requested by the incoterms 2010 rules. Each clause specifies the extent of coverage. This page provides information on the joint cargo committee. Institute Cargo Clauses Summary.
From www.studocu.com
Institute cargo clauses c 2009 1/1/ INSTITUTE CARGO CLAUSES (C) RISKS COVERED Risks This Institute Cargo Clauses Summary Institute cargo clauses (a) risks covered. Institute cargo clauses (c) is the cargo insurance policy type which is requested by the incoterms 2010 rules. Each clause specifies the extent of coverage. Institute cargo clauses (a) is the cargo insurance policy type which is. This post will explain what each clause. Institute cargo clauses comparison this is a quick reference guide. Institute Cargo Clauses Summary.
From es.scribd.com
Institute Cargo Clauses C PDF Institute Cargo Clauses Summary Institute cargo clauses (a) institute cargo clauses (b) institute cargo clauses (c) other institute. Three main sets of institute cargo clauses: This post will explain what each clause. Institute cargo clauses (a) risks covered. Institute cargo clauses (a) is the cargo insurance policy type which is. Institute cargo clauses (c) is the cargo insurance policy type which is requested by. Institute Cargo Clauses Summary.
From www.youtube.com
Institute Cargo Clauses and Insurance Treaties. The Old and The New. YouTube Institute Cargo Clauses Summary Three main sets of institute cargo clauses: Institute cargo clauses (a) is the cargo insurance policy type which is. There are mainly three institute cargo clauses in marine insurance: This post will explain what each clause. Institute cargo clauses comparison this is a quick reference guide to the differences between the three sets of institute cargo clauses cl382/cl383/cl384 1.1.09. This. Institute Cargo Clauses Summary.
From www.abebooks.com
The Cargo Insurance Contract and the Institute Cargo Clauses (Training Notes for Brokers Institute Cargo Clauses Summary Institute cargo clauses (a) risks covered. Institute cargo clauses (a) is the cargo insurance policy type which is. This post will explain what each clause. This page provides information on the joint cargo committee (jcc) project to update the institute cargo clauses. There are three different types of institute cargo clauses in marine insurance: Institute cargo clauses (c) is the. Institute Cargo Clauses Summary.
From www.scribd.com
Institute Cargo Clauses PDF Insurance Industries Institute Cargo Clauses Summary This post will explain what each clause. There are three different types of institute cargo clauses in marine insurance: Institute cargo clauses (a) risks covered. Institute cargo clauses comparison this is a quick reference guide to the differences between the three sets of institute cargo clauses cl382/cl383/cl384 1.1.09. Each clause specifies the extent of coverage. Institute cargo clauses (c) is. Institute Cargo Clauses Summary.
From www.scribd.com
Institute Cargo Clauses A PDF Insurance Civil Law (Legal System) Institute Cargo Clauses Summary Three main sets of institute cargo clauses: This post will explain what each clause. Institute cargo clauses (a) risks covered. Institute cargo clauses comparison this is a quick reference guide to the differences between the three sets of institute cargo clauses cl382/cl383/cl384 1.1.09. Institute cargo clauses (a) institute cargo clauses (b) institute cargo clauses (c) other institute. There are mainly. Institute Cargo Clauses Summary.
From www.studocu.com
InstituteCargoClauses2009 Comparison SV 2 1 INSTITUTE CARGO CLAUSES 2009 Comparison of the Institute Cargo Clauses Summary There are mainly three institute cargo clauses in marine insurance: Institute cargo clauses (a) institute cargo clauses (b) institute cargo clauses (c) other institute. Each clause specifies the extent of coverage. Institute cargo clauses comparison this is a quick reference guide to the differences between the three sets of institute cargo clauses cl382/cl383/cl384 1.1.09. Three main sets of institute cargo. Institute Cargo Clauses Summary.
From www.studocu.com
Institute cargo clauses b 1982 1/1/82 (FOR USE ONLY WITH THE NEW MARINE POLICY FORM) INSTITUTE Institute Cargo Clauses Summary This post will explain what each clause. Institute cargo clauses comparison this is a quick reference guide to the differences between the three sets of institute cargo clauses cl382/cl383/cl384 1.1.09. There are mainly three institute cargo clauses in marine insurance: This page provides information on the joint cargo committee (jcc) project to update the institute cargo clauses. Three main sets. Institute Cargo Clauses Summary.
From www.scribd.com
Institute Cargo Clauses (A) summary PDF Insurance Indemnity Institute Cargo Clauses Summary Institute cargo clauses (a) risks covered. Institute cargo clauses (a) is the cargo insurance policy type which is. There are mainly three institute cargo clauses in marine insurance: Three main sets of institute cargo clauses: Institute cargo clauses (a) institute cargo clauses (b) institute cargo clauses (c) other institute. This page provides information on the joint cargo committee (jcc) project. Institute Cargo Clauses Summary.
From www.studocu.com
Institute cargo clause a 1982 1/1/82 (FOR USE ONLY WITH THE NEW MARINE POLICY FORM) INSTITUTE Institute Cargo Clauses Summary This post will explain what each clause. Institute cargo clauses (c) is the cargo insurance policy type which is requested by the incoterms 2010 rules. Institute cargo clauses comparison this is a quick reference guide to the differences between the three sets of institute cargo clauses cl382/cl383/cl384 1.1.09. Three main sets of institute cargo clauses: Institute cargo clauses (a) institute. Institute Cargo Clauses Summary.
From www.studocu.com
Institute cargo clauses a 2009 1/1/ INSTITUTE CARGO CLAUSES (A) RISKS COVERED Risks 1. This Institute Cargo Clauses Summary Institute cargo clauses (a) institute cargo clauses (b) institute cargo clauses (c) other institute. There are three different types of institute cargo clauses in marine insurance: Institute cargo clauses (a) is the cargo insurance policy type which is. This page provides information on the joint cargo committee (jcc) project to update the institute cargo clauses. Institute cargo clauses (a) risks. Institute Cargo Clauses Summary.
From dokumen.tips
(PDF) Institute Cargo Clauses (Air) DOKUMEN.TIPS Institute Cargo Clauses Summary This page provides information on the joint cargo committee (jcc) project to update the institute cargo clauses. There are three different types of institute cargo clauses in marine insurance: Institute cargo clauses (c) is the cargo insurance policy type which is requested by the incoterms 2010 rules. Institute cargo clauses (a) risks covered. This post will explain what each clause.. Institute Cargo Clauses Summary.
From www.linkedin.com
Menna A. on LinkedIn Summary of Institute Cargo Clauses Coverage Institute Cargo Clauses Summary Institute cargo clauses (a) institute cargo clauses (b) institute cargo clauses (c) other institute. Institute cargo clauses comparison this is a quick reference guide to the differences between the three sets of institute cargo clauses cl382/cl383/cl384 1.1.09. There are mainly three institute cargo clauses in marine insurance: There are three different types of institute cargo clauses in marine insurance: Institute. Institute Cargo Clauses Summary.
From www.yumpu.com
INSTITUTE CARGO CLAUSES (C) Offshore Risk Management Institute Cargo Clauses Summary There are mainly three institute cargo clauses in marine insurance: Institute cargo clauses (c) is the cargo insurance policy type which is requested by the incoterms 2010 rules. Institute cargo clauses comparison this is a quick reference guide to the differences between the three sets of institute cargo clauses cl382/cl383/cl384 1.1.09. There are three different types of institute cargo clauses. Institute Cargo Clauses Summary.
From www.scribd.com
Institute Cargo Clauses A PDF Institute Cargo Clauses Summary Institute cargo clauses (c) is the cargo insurance policy type which is requested by the incoterms 2010 rules. This post will explain what each clause. This page provides information on the joint cargo committee (jcc) project to update the institute cargo clauses. Three main sets of institute cargo clauses: Each clause specifies the extent of coverage. There are mainly three. Institute Cargo Clauses Summary.
From www.studocu.com
Institute cargo clauses c 1982 1/1/82 (FOR USE ONLY WITH THE NEW MARINE POLICY FORM) INSTITUTE Institute Cargo Clauses Summary Institute cargo clauses (a) is the cargo insurance policy type which is. Institute cargo clauses comparison this is a quick reference guide to the differences between the three sets of institute cargo clauses cl382/cl383/cl384 1.1.09. Three main sets of institute cargo clauses: Institute cargo clauses (c) is the cargo insurance policy type which is requested by the incoterms 2010 rules.. Institute Cargo Clauses Summary.
From www.studocu.com
InstituteCargoClauses2009 Comparison SV INSTITUTE CARGO CLAUSES 2009 Comparison of the 1982 Institute Cargo Clauses Summary Institute cargo clauses (a) institute cargo clauses (b) institute cargo clauses (c) other institute. Three main sets of institute cargo clauses: This post will explain what each clause. There are mainly three institute cargo clauses in marine insurance: Institute cargo clauses comparison this is a quick reference guide to the differences between the three sets of institute cargo clauses cl382/cl383/cl384. Institute Cargo Clauses Summary.
From forwarder-university.com
Institute Cargo Clauses and Insurance Treaties | 【フォワーダー大学 】国際物流学科 タイキャンパス Institute Cargo Clauses Summary Each clause specifies the extent of coverage. There are mainly three institute cargo clauses in marine insurance: This post will explain what each clause. Institute cargo clauses (a) institute cargo clauses (b) institute cargo clauses (c) other institute. Institute cargo clauses (a) is the cargo insurance policy type which is. There are three different types of institute cargo clauses in. Institute Cargo Clauses Summary.
From www.slideserve.com
PPT Cargo Transport Insurance PowerPoint Presentation, free download ID5729232 Institute Cargo Clauses Summary Institute cargo clauses (a) institute cargo clauses (b) institute cargo clauses (c) other institute. Institute cargo clauses (a) risks covered. Institute cargo clauses (c) is the cargo insurance policy type which is requested by the incoterms 2010 rules. Each clause specifies the extent of coverage. There are mainly three institute cargo clauses in marine insurance: Institute cargo clauses comparison this. Institute Cargo Clauses Summary.
From www.qian.co.in
Institute Cargo Clauses In A Marine Insurance Policy Institute Cargo Clauses Summary There are mainly three institute cargo clauses in marine insurance: Institute cargo clauses (a) is the cargo insurance policy type which is. Institute cargo clauses comparison this is a quick reference guide to the differences between the three sets of institute cargo clauses cl382/cl383/cl384 1.1.09. This page provides information on the joint cargo committee (jcc) project to update the institute. Institute Cargo Clauses Summary.
From www.slideserve.com
PPT Marine Cargo Insurance PowerPoint Presentation, free download ID1137808 Institute Cargo Clauses Summary Institute cargo clauses (a) risks covered. This post will explain what each clause. There are three different types of institute cargo clauses in marine insurance: Three main sets of institute cargo clauses: Each clause specifies the extent of coverage. This page provides information on the joint cargo committee (jcc) project to update the institute cargo clauses. There are mainly three. Institute Cargo Clauses Summary.
From www.studocu.com
Institute strikes clauses cargo 1982 1/1/82 (FOR USE ONLY WITH THE NEW MARINE POLICY FORM Institute Cargo Clauses Summary There are three different types of institute cargo clauses in marine insurance: There are mainly three institute cargo clauses in marine insurance: This page provides information on the joint cargo committee (jcc) project to update the institute cargo clauses. Institute cargo clauses (a) institute cargo clauses (b) institute cargo clauses (c) other institute. Each clause specifies the extent of coverage.. Institute Cargo Clauses Summary.
From www.scribd.com
Institute Cargo Clauses A PDF Insurance Civil Law (Legal System) Institute Cargo Clauses Summary Institute cargo clauses (a) institute cargo clauses (b) institute cargo clauses (c) other institute. There are mainly three institute cargo clauses in marine insurance: Institute cargo clauses comparison this is a quick reference guide to the differences between the three sets of institute cargo clauses cl382/cl383/cl384 1.1.09. Institute cargo clauses (a) risks covered. There are three different types of institute. Institute Cargo Clauses Summary.
From www.studocu.com
III pp sth III. Institute Cargo Clauses (ICC) Institute Cargo Clauses are a component of Institute Cargo Clauses Summary There are three different types of institute cargo clauses in marine insurance: Institute cargo clauses (a) is the cargo insurance policy type which is. Institute cargo clauses (c) is the cargo insurance policy type which is requested by the incoterms 2010 rules. Institute cargo clauses comparison this is a quick reference guide to the differences between the three sets of. Institute Cargo Clauses Summary.
From www.studocu.com
Institute Cargo Clauses Many clauses are similar to the provisions of MIA. ICCA (A) is an Institute Cargo Clauses Summary Institute cargo clauses (c) is the cargo insurance policy type which is requested by the incoterms 2010 rules. Institute cargo clauses comparison this is a quick reference guide to the differences between the three sets of institute cargo clauses cl382/cl383/cl384 1.1.09. Institute cargo clauses (a) institute cargo clauses (b) institute cargo clauses (c) other institute. Each clause specifies the extent. Institute Cargo Clauses Summary.
From www.slideserve.com
PPT Chapter6 PowerPoint Presentation, free download ID6250649 Institute Cargo Clauses Summary Institute cargo clauses (a) institute cargo clauses (b) institute cargo clauses (c) other institute. Institute cargo clauses (a) risks covered. This post will explain what each clause. This page provides information on the joint cargo committee (jcc) project to update the institute cargo clauses. Institute cargo clauses comparison this is a quick reference guide to the differences between the three. Institute Cargo Clauses Summary.
From www.scribd.com
Institute Cargo Clauses (A) 1182 CL 252 PDF Insurance Private Law Institute Cargo Clauses Summary Institute cargo clauses (c) is the cargo insurance policy type which is requested by the incoterms 2010 rules. Institute cargo clauses (a) risks covered. Institute cargo clauses (a) is the cargo insurance policy type which is. Institute cargo clauses (a) institute cargo clauses (b) institute cargo clauses (c) other institute. Three main sets of institute cargo clauses: There are mainly. Institute Cargo Clauses Summary.
From forwarder-university.com
Institute Cargo Clauses and Insurance Treaties | 【フォワーダー大学 】国際物流学科 タイキャンパス Institute Cargo Clauses Summary There are mainly three institute cargo clauses in marine insurance: Institute cargo clauses (c) is the cargo insurance policy type which is requested by the incoterms 2010 rules. Three main sets of institute cargo clauses: This post will explain what each clause. This page provides information on the joint cargo committee (jcc) project to update the institute cargo clauses. There. Institute Cargo Clauses Summary.
From www.studocu.com
Institute Cargo Clauses A Studocu Institute Cargo Clauses Summary Each clause specifies the extent of coverage. There are mainly three institute cargo clauses in marine insurance: This post will explain what each clause. Institute cargo clauses (a) is the cargo insurance policy type which is. Institute cargo clauses (a) risks covered. There are three different types of institute cargo clauses in marine insurance: Three main sets of institute cargo. Institute Cargo Clauses Summary.
From www.scribd.com
Institute Cargo Clauses (B) PDF Insurance Private Law Institute Cargo Clauses Summary This page provides information on the joint cargo committee (jcc) project to update the institute cargo clauses. This post will explain what each clause. Institute cargo clauses comparison this is a quick reference guide to the differences between the three sets of institute cargo clauses cl382/cl383/cl384 1.1.09. Three main sets of institute cargo clauses: There are mainly three institute cargo. Institute Cargo Clauses Summary.
From es.scribd.com
05 Institute Cargo Clause (Air) PDF Institute Cargo Clauses Summary Three main sets of institute cargo clauses: There are mainly three institute cargo clauses in marine insurance: Each clause specifies the extent of coverage. This page provides information on the joint cargo committee (jcc) project to update the institute cargo clauses. Institute cargo clauses (a) risks covered. Institute cargo clauses (a) is the cargo insurance policy type which is. Institute. Institute Cargo Clauses Summary.
From www.scribd.com
Institute Cargo Clauses (B) A Summary of Coverage, Exclusions, and Duration Provisions for Institute Cargo Clauses Summary This page provides information on the joint cargo committee (jcc) project to update the institute cargo clauses. Three main sets of institute cargo clauses: This post will explain what each clause. Institute cargo clauses (c) is the cargo insurance policy type which is requested by the incoterms 2010 rules. There are mainly three institute cargo clauses in marine insurance: Institute. Institute Cargo Clauses Summary.