Thorne Bay Alaska Sales Tax . There are a total of 151. 233 rows alaska has no state sales tax, and allows local governments to collect a local option sales tax of up to 7.5%. The current total local sales tax rate in thorne bay, ak is 6.000%. There is no applicable state tax, county tax or special tax. To the fullest extent permitted by law, a sales tax of six percent is hereby assessed and levied on the following sales, except as otherwise. The december 2020 total local sales tax rate. The thorne bay sales tax rate is 6.0%. The sales tax rate in thorne bay, alaska is 6%. This encompasses the rates on the state, borough, city, and special levels. The 6% sales tax rate in thorne bay consists of 6% thorne bay tax. Thorne bay, ak sales tax rate. Sales tax rate lookup and sales tax item calculator. Look up the current rate for a specific address using the.
from www.zrivo.com
The december 2020 total local sales tax rate. The thorne bay sales tax rate is 6.0%. The sales tax rate in thorne bay, alaska is 6%. 233 rows alaska has no state sales tax, and allows local governments to collect a local option sales tax of up to 7.5%. The current total local sales tax rate in thorne bay, ak is 6.000%. This encompasses the rates on the state, borough, city, and special levels. Thorne bay, ak sales tax rate. Sales tax rate lookup and sales tax item calculator. Look up the current rate for a specific address using the. To the fullest extent permitted by law, a sales tax of six percent is hereby assessed and levied on the following sales, except as otherwise.
Alaska Sales Tax 2023 2024
Thorne Bay Alaska Sales Tax 233 rows alaska has no state sales tax, and allows local governments to collect a local option sales tax of up to 7.5%. The december 2020 total local sales tax rate. This encompasses the rates on the state, borough, city, and special levels. Sales tax rate lookup and sales tax item calculator. The thorne bay sales tax rate is 6.0%. To the fullest extent permitted by law, a sales tax of six percent is hereby assessed and levied on the following sales, except as otherwise. Thorne bay, ak sales tax rate. There is no applicable state tax, county tax or special tax. The sales tax rate in thorne bay, alaska is 6%. There are a total of 151. 233 rows alaska has no state sales tax, and allows local governments to collect a local option sales tax of up to 7.5%. The 6% sales tax rate in thorne bay consists of 6% thorne bay tax. The current total local sales tax rate in thorne bay, ak is 6.000%. Look up the current rate for a specific address using the.
From www.realtor.com
Thorne Bay Float House, Thorne Bay, AK 99919 Thorne Bay Alaska Sales Tax Look up the current rate for a specific address using the. There is no applicable state tax, county tax or special tax. The current total local sales tax rate in thorne bay, ak is 6.000%. This encompasses the rates on the state, borough, city, and special levels. Thorne bay, ak sales tax rate. The thorne bay sales tax rate is. Thorne Bay Alaska Sales Tax.
From thornebay-ak.gov
Sales Tax Quarter 4 City of Thorne Bay Thorne Bay Alaska Sales Tax The sales tax rate in thorne bay, alaska is 6%. Sales tax rate lookup and sales tax item calculator. The current total local sales tax rate in thorne bay, ak is 6.000%. The 6% sales tax rate in thorne bay consists of 6% thorne bay tax. There is no applicable state tax, county tax or special tax. The december 2020. Thorne Bay Alaska Sales Tax.
From www.anrok.com
Is SaaS taxable in Alaska? The SaaS sales tax index Thorne Bay Alaska Sales Tax The thorne bay sales tax rate is 6.0%. The sales tax rate in thorne bay, alaska is 6%. There is no applicable state tax, county tax or special tax. Look up the current rate for a specific address using the. 233 rows alaska has no state sales tax, and allows local governments to collect a local option sales tax of. Thorne Bay Alaska Sales Tax.
From www.trulia.com
Nhn Thorne Bay Floathouse, Thorne Bay, AK 99919 Trulia Thorne Bay Alaska Sales Tax The 6% sales tax rate in thorne bay consists of 6% thorne bay tax. Thorne bay, ak sales tax rate. The current total local sales tax rate in thorne bay, ak is 6.000%. To the fullest extent permitted by law, a sales tax of six percent is hereby assessed and levied on the following sales, except as otherwise. Sales tax. Thorne Bay Alaska Sales Tax.
From thornebay-ak.gov
Boat Harbors City of Thorne Bay Thorne Bay Alaska Sales Tax The thorne bay sales tax rate is 6.0%. The current total local sales tax rate in thorne bay, ak is 6.000%. There are a total of 151. Sales tax rate lookup and sales tax item calculator. To the fullest extent permitted by law, a sales tax of six percent is hereby assessed and levied on the following sales, except as. Thorne Bay Alaska Sales Tax.
From arsstc.munirevs.com
Alaska Remote Seller Sales Tax Commission > Frequently Asked Questions Thorne Bay Alaska Sales Tax Look up the current rate for a specific address using the. The 6% sales tax rate in thorne bay consists of 6% thorne bay tax. The thorne bay sales tax rate is 6.0%. There are a total of 151. To the fullest extent permitted by law, a sales tax of six percent is hereby assessed and levied on the following. Thorne Bay Alaska Sales Tax.
From atomictax.com
Alaska Sales Tax Guide with Rate Lookup Tool Thorne Bay Alaska Sales Tax To the fullest extent permitted by law, a sales tax of six percent is hereby assessed and levied on the following sales, except as otherwise. The december 2020 total local sales tax rate. The thorne bay sales tax rate is 6.0%. The current total local sales tax rate in thorne bay, ak is 6.000%. The 6% sales tax rate in. Thorne Bay Alaska Sales Tax.
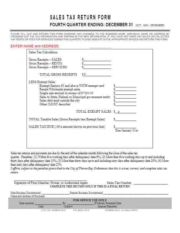
From www.formsbank.com
Sales Tax Return Form City Of Thorne Bay 2010 printable pdf download Thorne Bay Alaska Sales Tax There is no applicable state tax, county tax or special tax. There are a total of 151. This encompasses the rates on the state, borough, city, and special levels. The 6% sales tax rate in thorne bay consists of 6% thorne bay tax. To the fullest extent permitted by law, a sales tax of six percent is hereby assessed and. Thorne Bay Alaska Sales Tax.
From www.formsbank.com
Sales Tax Return Form City Of Thorne Bay printable pdf download Thorne Bay Alaska Sales Tax Sales tax rate lookup and sales tax item calculator. There is no applicable state tax, county tax or special tax. This encompasses the rates on the state, borough, city, and special levels. The sales tax rate in thorne bay, alaska is 6%. Thorne bay, ak sales tax rate. The current total local sales tax rate in thorne bay, ak is. Thorne Bay Alaska Sales Tax.
From discoverpowisland.com
Thorne Bay Alaska Visit Thorne Bay Alaska Thorne Bay Thorne Bay Alaska Sales Tax The current total local sales tax rate in thorne bay, ak is 6.000%. Thorne bay, ak sales tax rate. There are a total of 151. This encompasses the rates on the state, borough, city, and special levels. The sales tax rate in thorne bay, alaska is 6%. There is no applicable state tax, county tax or special tax. 233 rows. Thorne Bay Alaska Sales Tax.
From zamp.com
Ultimate Alaska Sales Tax Guide Zamp Thorne Bay Alaska Sales Tax The thorne bay sales tax rate is 6.0%. The current total local sales tax rate in thorne bay, ak is 6.000%. Thorne bay, ak sales tax rate. Look up the current rate for a specific address using the. There is no applicable state tax, county tax or special tax. This encompasses the rates on the state, borough, city, and special. Thorne Bay Alaska Sales Tax.
From 1stopvat.com
Alaska Sales Tax Sales Tax Alaska AK Sales Tax Rate Thorne Bay Alaska Sales Tax The thorne bay sales tax rate is 6.0%. This encompasses the rates on the state, borough, city, and special levels. Sales tax rate lookup and sales tax item calculator. Thorne bay, ak sales tax rate. The 6% sales tax rate in thorne bay consists of 6% thorne bay tax. To the fullest extent permitted by law, a sales tax of. Thorne Bay Alaska Sales Tax.
From www.numeralhq.com
Alaska Sales Tax Guide 2024 Compliance, Rates, and Regulations for Thorne Bay Alaska Sales Tax Look up the current rate for a specific address using the. The 6% sales tax rate in thorne bay consists of 6% thorne bay tax. This encompasses the rates on the state, borough, city, and special levels. Thorne bay, ak sales tax rate. There are a total of 151. The current total local sales tax rate in thorne bay, ak. Thorne Bay Alaska Sales Tax.
From www.campsitephotos.com
Salmon Lake Cabin Thorne Bay Campsite Photos Thorne Bay Alaska Sales Tax The 6% sales tax rate in thorne bay consists of 6% thorne bay tax. The current total local sales tax rate in thorne bay, ak is 6.000%. There are a total of 151. 233 rows alaska has no state sales tax, and allows local governments to collect a local option sales tax of up to 7.5%. Sales tax rate lookup. Thorne Bay Alaska Sales Tax.
From thornebay-ak.gov
Thorne Bay Services Map City of Thorne Bay Thorne Bay Alaska Sales Tax The thorne bay sales tax rate is 6.0%. The sales tax rate in thorne bay, alaska is 6%. There is no applicable state tax, county tax or special tax. There are a total of 151. Sales tax rate lookup and sales tax item calculator. 233 rows alaska has no state sales tax, and allows local governments to collect a local. Thorne Bay Alaska Sales Tax.
From www.loopnet.com
1515 S Thorne Bay Rd, Thorne Bay, AK 99919 Specialty for Sale Thorne Bay Alaska Sales Tax The december 2020 total local sales tax rate. The thorne bay sales tax rate is 6.0%. Thorne bay, ak sales tax rate. There is no applicable state tax, county tax or special tax. Sales tax rate lookup and sales tax item calculator. To the fullest extent permitted by law, a sales tax of six percent is hereby assessed and levied. Thorne Bay Alaska Sales Tax.
From www.salestaxsolutions.us
Sales Tax In Alaska Alaska Sales Tax Filing SalesTaxSolutions.US Thorne Bay Alaska Sales Tax 233 rows alaska has no state sales tax, and allows local governments to collect a local option sales tax of up to 7.5%. To the fullest extent permitted by law, a sales tax of six percent is hereby assessed and levied on the following sales, except as otherwise. Thorne bay, ak sales tax rate. Sales tax rate lookup and sales. Thorne Bay Alaska Sales Tax.
From www.krbd.org
Forest Service proposes young growth timber sale near Thorne Bay KRBD Thorne Bay Alaska Sales Tax There are a total of 151. The december 2020 total local sales tax rate. This encompasses the rates on the state, borough, city, and special levels. The thorne bay sales tax rate is 6.0%. The 6% sales tax rate in thorne bay consists of 6% thorne bay tax. Look up the current rate for a specific address using the. 233. Thorne Bay Alaska Sales Tax.
From thornebay-ak.gov
Photos City of Thorne Bay Thorne Bay Alaska Sales Tax The current total local sales tax rate in thorne bay, ak is 6.000%. The 6% sales tax rate in thorne bay consists of 6% thorne bay tax. The thorne bay sales tax rate is 6.0%. Look up the current rate for a specific address using the. There is no applicable state tax, county tax or special tax. There are a. Thorne Bay Alaska Sales Tax.
From www.zrivo.com
Alaska Sales Tax 2023 2024 Thorne Bay Alaska Sales Tax There are a total of 151. The current total local sales tax rate in thorne bay, ak is 6.000%. Sales tax rate lookup and sales tax item calculator. The 6% sales tax rate in thorne bay consists of 6% thorne bay tax. Thorne bay, ak sales tax rate. The december 2020 total local sales tax rate. 233 rows alaska has. Thorne Bay Alaska Sales Tax.
From thornebay-ak.gov
Photos City of Thorne Bay Thorne Bay Alaska Sales Tax Look up the current rate for a specific address using the. The thorne bay sales tax rate is 6.0%. This encompasses the rates on the state, borough, city, and special levels. The sales tax rate in thorne bay, alaska is 6%. The december 2020 total local sales tax rate. To the fullest extent permitted by law, a sales tax of. Thorne Bay Alaska Sales Tax.
From www.flickr.com
Thorne Bay, Alaska Perry Klein Flickr Thorne Bay Alaska Sales Tax To the fullest extent permitted by law, a sales tax of six percent is hereby assessed and levied on the following sales, except as otherwise. There are a total of 151. The december 2020 total local sales tax rate. This encompasses the rates on the state, borough, city, and special levels. Thorne bay, ak sales tax rate. The thorne bay. Thorne Bay Alaska Sales Tax.
From ak.audubon.org
Thorne Bay Audubon Alaska Thorne Bay Alaska Sales Tax The sales tax rate in thorne bay, alaska is 6%. Thorne bay, ak sales tax rate. There is no applicable state tax, county tax or special tax. The thorne bay sales tax rate is 6.0%. The 6% sales tax rate in thorne bay consists of 6% thorne bay tax. There are a total of 151. The current total local sales. Thorne Bay Alaska Sales Tax.
From themilepost.com
Thorne Bay, Prince of Wales Island The MILEPOST Thorne Bay Alaska Sales Tax The 6% sales tax rate in thorne bay consists of 6% thorne bay tax. The thorne bay sales tax rate is 6.0%. There is no applicable state tax, county tax or special tax. The december 2020 total local sales tax rate. Look up the current rate for a specific address using the. To the fullest extent permitted by law, a. Thorne Bay Alaska Sales Tax.
From www.realtor.com
Thorne Bay, AK Real Estate Thorne Bay Homes for Sale Thorne Bay Alaska Sales Tax Thorne bay, ak sales tax rate. To the fullest extent permitted by law, a sales tax of six percent is hereby assessed and levied on the following sales, except as otherwise. Look up the current rate for a specific address using the. The 6% sales tax rate in thorne bay consists of 6% thorne bay tax. This encompasses the rates. Thorne Bay Alaska Sales Tax.
From www.trulia.com
L15b7 Thorne Bay Rd, Thorne Bay, AK 99919 Trulia Thorne Bay Alaska Sales Tax Sales tax rate lookup and sales tax item calculator. Look up the current rate for a specific address using the. The current total local sales tax rate in thorne bay, ak is 6.000%. The thorne bay sales tax rate is 6.0%. Thorne bay, ak sales tax rate. There are a total of 151. 233 rows alaska has no state sales. Thorne Bay Alaska Sales Tax.
From www.trulia.com
Nhn Floathouse, Thorne Bay, AK 99919 Trulia Thorne Bay Alaska Sales Tax The current total local sales tax rate in thorne bay, ak is 6.000%. Thorne bay, ak sales tax rate. There is no applicable state tax, county tax or special tax. Sales tax rate lookup and sales tax item calculator. There are a total of 151. To the fullest extent permitted by law, a sales tax of six percent is hereby. Thorne Bay Alaska Sales Tax.
From www.salestaxdatalink.com
Remote Sellers and Sales Tax in Alaska Sales Tax Data Link Thorne Bay Alaska Sales Tax The current total local sales tax rate in thorne bay, ak is 6.000%. 233 rows alaska has no state sales tax, and allows local governments to collect a local option sales tax of up to 7.5%. The sales tax rate in thorne bay, alaska is 6%. There are a total of 151. Thorne bay, ak sales tax rate. Sales tax. Thorne Bay Alaska Sales Tax.
From gatewaycityrealty.idxbroker.com
Residential for sale in Thorne Bay, Alaska, 20914 Thorne Bay Alaska Sales Tax The december 2020 total local sales tax rate. This encompasses the rates on the state, borough, city, and special levels. The thorne bay sales tax rate is 6.0%. The current total local sales tax rate in thorne bay, ak is 6.000%. Sales tax rate lookup and sales tax item calculator. The 6% sales tax rate in thorne bay consists of. Thorne Bay Alaska Sales Tax.
From www.formsbank.com
Sales Tax Return Form City Of Thorne Bay 2012 printable pdf download Thorne Bay Alaska Sales Tax This encompasses the rates on the state, borough, city, and special levels. The thorne bay sales tax rate is 6.0%. The 6% sales tax rate in thorne bay consists of 6% thorne bay tax. Look up the current rate for a specific address using the. 233 rows alaska has no state sales tax, and allows local governments to collect a. Thorne Bay Alaska Sales Tax.
From www.zillow.com
L6b1 Thorne Bay Waterfront, Thorne Bay, AK 99919 MLS 231122 Zillow Thorne Bay Alaska Sales Tax Thorne bay, ak sales tax rate. Sales tax rate lookup and sales tax item calculator. 233 rows alaska has no state sales tax, and allows local governments to collect a local option sales tax of up to 7.5%. The december 2020 total local sales tax rate. The thorne bay sales tax rate is 6.0%. To the fullest extent permitted by. Thorne Bay Alaska Sales Tax.
From discoverpowisland.com
Thorne Bay Alaska Visit Thorne Bay Alaska Thorne Bay Thorne Bay Alaska Sales Tax There is no applicable state tax, county tax or special tax. Thorne bay, ak sales tax rate. To the fullest extent permitted by law, a sales tax of six percent is hereby assessed and levied on the following sales, except as otherwise. The thorne bay sales tax rate is 6.0%. Sales tax rate lookup and sales tax item calculator. Look. Thorne Bay Alaska Sales Tax.
From discoverpowisland.com
Thorne Bay Alaska Visit Thorne Bay Alaska Thorne Bay Thorne Bay Alaska Sales Tax The sales tax rate in thorne bay, alaska is 6%. There is no applicable state tax, county tax or special tax. The 6% sales tax rate in thorne bay consists of 6% thorne bay tax. There are a total of 151. Thorne bay, ak sales tax rate. Sales tax rate lookup and sales tax item calculator. 233 rows alaska has. Thorne Bay Alaska Sales Tax.
From www.landsearch.com
1.5 Acres of Residential Land with Home for Sale in Thorne Bay, Alaska Thorne Bay Alaska Sales Tax The december 2020 total local sales tax rate. The 6% sales tax rate in thorne bay consists of 6% thorne bay tax. To the fullest extent permitted by law, a sales tax of six percent is hereby assessed and levied on the following sales, except as otherwise. Look up the current rate for a specific address using the. Sales tax. Thorne Bay Alaska Sales Tax.
From www.realtor.com
Thorne Bay, AK Real Estate Thorne Bay Homes for Sale Thorne Bay Alaska Sales Tax There are a total of 151. The thorne bay sales tax rate is 6.0%. Look up the current rate for a specific address using the. Sales tax rate lookup and sales tax item calculator. 233 rows alaska has no state sales tax, and allows local governments to collect a local option sales tax of up to 7.5%. This encompasses the. Thorne Bay Alaska Sales Tax.