Confidence Interval For Standard Deviation Calculator Mathcracker . Calculating the confidence interval requires you to know three parameters of your sample: Use this confidence interval calculator for the population mean µ, when the population standard deviation σ is not known, so we use the sample. The mean value, μ, the standard. Use this calculator to compute the confidence interval or margin of error, assuming the sample mean most likely follows a normal distribution. This calculator finds a confidence interval for a population standard deviation, based on input provided by the user. Computes the mean confidence interval and the standard deviation confidence interval using the. Confidence interval for variance calculator.
from www.questionpro.com
The mean value, μ, the standard. Computes the mean confidence interval and the standard deviation confidence interval using the. Confidence interval for variance calculator. Use this calculator to compute the confidence interval or margin of error, assuming the sample mean most likely follows a normal distribution. Use this confidence interval calculator for the population mean µ, when the population standard deviation σ is not known, so we use the sample. This calculator finds a confidence interval for a population standard deviation, based on input provided by the user. Calculating the confidence interval requires you to know three parameters of your sample:
A Simple Guide to the Confidence Interval Formula QuestionPro
Confidence Interval For Standard Deviation Calculator Mathcracker This calculator finds a confidence interval for a population standard deviation, based on input provided by the user. This calculator finds a confidence interval for a population standard deviation, based on input provided by the user. Calculating the confidence interval requires you to know three parameters of your sample: The mean value, μ, the standard. Computes the mean confidence interval and the standard deviation confidence interval using the. Use this calculator to compute the confidence interval or margin of error, assuming the sample mean most likely follows a normal distribution. Confidence interval for variance calculator. Use this confidence interval calculator for the population mean µ, when the population standard deviation σ is not known, so we use the sample.
From www.slideserve.com
PPT CHAPTER 14 Confidence Intervals The Basics PowerPoint Confidence Interval For Standard Deviation Calculator Mathcracker Calculating the confidence interval requires you to know three parameters of your sample: Confidence interval for variance calculator. Use this confidence interval calculator for the population mean µ, when the population standard deviation σ is not known, so we use the sample. Computes the mean confidence interval and the standard deviation confidence interval using the. The mean value, μ, the. Confidence Interval For Standard Deviation Calculator Mathcracker.
From www.thoughtco.com
How to Calculate a Sample Standard Deviation Confidence Interval For Standard Deviation Calculator Mathcracker Use this calculator to compute the confidence interval or margin of error, assuming the sample mean most likely follows a normal distribution. Use this confidence interval calculator for the population mean µ, when the population standard deviation σ is not known, so we use the sample. This calculator finds a confidence interval for a population standard deviation, based on input. Confidence Interval For Standard Deviation Calculator Mathcracker.
From www.vinoteak.co
confidence interval standard deviation calc confidence interval Confidence Interval For Standard Deviation Calculator Mathcracker This calculator finds a confidence interval for a population standard deviation, based on input provided by the user. Use this calculator to compute the confidence interval or margin of error, assuming the sample mean most likely follows a normal distribution. Use this confidence interval calculator for the population mean µ, when the population standard deviation σ is not known, so. Confidence Interval For Standard Deviation Calculator Mathcracker.
From www.scribd.com
Lesson Note Unit 8 PDF Confidence Interval Standard Deviation Confidence Interval For Standard Deviation Calculator Mathcracker Use this calculator to compute the confidence interval or margin of error, assuming the sample mean most likely follows a normal distribution. This calculator finds a confidence interval for a population standard deviation, based on input provided by the user. Confidence interval for variance calculator. Calculating the confidence interval requires you to know three parameters of your sample: Use this. Confidence Interval For Standard Deviation Calculator Mathcracker.
From curvebreakerstestprep.com
Standard Deviation Variation from the Mean Curvebreakers Confidence Interval For Standard Deviation Calculator Mathcracker Use this calculator to compute the confidence interval or margin of error, assuming the sample mean most likely follows a normal distribution. Use this confidence interval calculator for the population mean µ, when the population standard deviation σ is not known, so we use the sample. Computes the mean confidence interval and the standard deviation confidence interval using the. The. Confidence Interval For Standard Deviation Calculator Mathcracker.
From www.researchgate.net
Confidence intervals for a normal distribution Download Scientific Confidence Interval For Standard Deviation Calculator Mathcracker The mean value, μ, the standard. Use this confidence interval calculator for the population mean µ, when the population standard deviation σ is not known, so we use the sample. This calculator finds a confidence interval for a population standard deviation, based on input provided by the user. Use this calculator to compute the confidence interval or margin of error,. Confidence Interval For Standard Deviation Calculator Mathcracker.
From www.statsig.com
Understanding the role of the 95 confidence interval Statsig Confidence Interval For Standard Deviation Calculator Mathcracker This calculator finds a confidence interval for a population standard deviation, based on input provided by the user. Confidence interval for variance calculator. Calculating the confidence interval requires you to know three parameters of your sample: The mean value, μ, the standard. Use this calculator to compute the confidence interval or margin of error, assuming the sample mean most likely. Confidence Interval For Standard Deviation Calculator Mathcracker.
From www.scribd.com
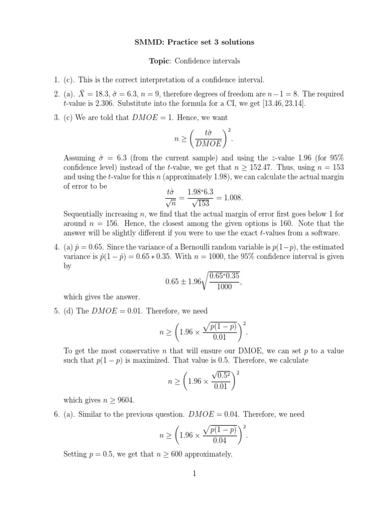
Practice Set 3 Solutions PDF Confidence Interval Standard Deviation Confidence Interval For Standard Deviation Calculator Mathcracker The mean value, μ, the standard. This calculator finds a confidence interval for a population standard deviation, based on input provided by the user. Computes the mean confidence interval and the standard deviation confidence interval using the. Use this confidence interval calculator for the population mean µ, when the population standard deviation σ is not known, so we use the. Confidence Interval For Standard Deviation Calculator Mathcracker.
From www.scribd.com
Confidence Intervals Confidence Interval Standard Deviation Confidence Interval For Standard Deviation Calculator Mathcracker Computes the mean confidence interval and the standard deviation confidence interval using the. This calculator finds a confidence interval for a population standard deviation, based on input provided by the user. Confidence interval for variance calculator. Use this confidence interval calculator for the population mean µ, when the population standard deviation σ is not known, so we use the sample.. Confidence Interval For Standard Deviation Calculator Mathcracker.
From mybios.me
How To Use The T Distribution Table For Confidence Intervals Bios Pics Confidence Interval For Standard Deviation Calculator Mathcracker The mean value, μ, the standard. Calculating the confidence interval requires you to know three parameters of your sample: This calculator finds a confidence interval for a population standard deviation, based on input provided by the user. Use this confidence interval calculator for the population mean µ, when the population standard deviation σ is not known, so we use the. Confidence Interval For Standard Deviation Calculator Mathcracker.
From www.questionpro.com
A Simple Guide to the Confidence Interval Formula QuestionPro Confidence Interval For Standard Deviation Calculator Mathcracker Use this confidence interval calculator for the population mean µ, when the population standard deviation σ is not known, so we use the sample. This calculator finds a confidence interval for a population standard deviation, based on input provided by the user. Use this calculator to compute the confidence interval or margin of error, assuming the sample mean most likely. Confidence Interval For Standard Deviation Calculator Mathcracker.
From www.slideserve.com
PPT Confidence Intervals for Variance and Standard Deviation Confidence Interval For Standard Deviation Calculator Mathcracker Confidence interval for variance calculator. The mean value, μ, the standard. Computes the mean confidence interval and the standard deviation confidence interval using the. Calculating the confidence interval requires you to know three parameters of your sample: Use this confidence interval calculator for the population mean µ, when the population standard deviation σ is not known, so we use the. Confidence Interval For Standard Deviation Calculator Mathcracker.
From www.inchcalculator.com
Confidence Interval Calculator Inch Calculator Confidence Interval For Standard Deviation Calculator Mathcracker This calculator finds a confidence interval for a population standard deviation, based on input provided by the user. Calculating the confidence interval requires you to know three parameters of your sample: Use this confidence interval calculator for the population mean µ, when the population standard deviation σ is not known, so we use the sample. Computes the mean confidence interval. Confidence Interval For Standard Deviation Calculator Mathcracker.
From www.slideserve.com
PPT Two Population Means Hypothesis Testing and Confidence Intervals Confidence Interval For Standard Deviation Calculator Mathcracker Computes the mean confidence interval and the standard deviation confidence interval using the. Calculating the confidence interval requires you to know three parameters of your sample: Confidence interval for variance calculator. Use this confidence interval calculator for the population mean µ, when the population standard deviation σ is not known, so we use the sample. The mean value, μ, the. Confidence Interval For Standard Deviation Calculator Mathcracker.
From www.scribd.com
JML 7 PDF Confidence Interval Standard Deviation Confidence Interval For Standard Deviation Calculator Mathcracker The mean value, μ, the standard. Use this calculator to compute the confidence interval or margin of error, assuming the sample mean most likely follows a normal distribution. Confidence interval for variance calculator. Calculating the confidence interval requires you to know three parameters of your sample: Computes the mean confidence interval and the standard deviation confidence interval using the. This. Confidence Interval For Standard Deviation Calculator Mathcracker.
From www.youtube.com
How to Calculate Confidence Interval(95)(99)(CI)(confidence interval Confidence Interval For Standard Deviation Calculator Mathcracker Confidence interval for variance calculator. This calculator finds a confidence interval for a population standard deviation, based on input provided by the user. Calculating the confidence interval requires you to know three parameters of your sample: The mean value, μ, the standard. Use this calculator to compute the confidence interval or margin of error, assuming the sample mean most likely. Confidence Interval For Standard Deviation Calculator Mathcracker.
From www.wikihow.com
How to Calculate Confidence Interval 6 Steps (with Pictures) Confidence Interval For Standard Deviation Calculator Mathcracker Use this calculator to compute the confidence interval or margin of error, assuming the sample mean most likely follows a normal distribution. Confidence interval for variance calculator. The mean value, μ, the standard. Computes the mean confidence interval and the standard deviation confidence interval using the. Use this confidence interval calculator for the population mean µ, when the population standard. Confidence Interval For Standard Deviation Calculator Mathcracker.
From www.scribd.com
Confidence Interval Estimation (Basic Statistics) PPT PDF Confidence Interval For Standard Deviation Calculator Mathcracker Calculating the confidence interval requires you to know three parameters of your sample: This calculator finds a confidence interval for a population standard deviation, based on input provided by the user. Computes the mean confidence interval and the standard deviation confidence interval using the. Use this calculator to compute the confidence interval or margin of error, assuming the sample mean. Confidence Interval For Standard Deviation Calculator Mathcracker.
From www.slideserve.com
PPT Confidence intervals The basics PowerPoint Presentation, free Confidence Interval For Standard Deviation Calculator Mathcracker Use this calculator to compute the confidence interval or margin of error, assuming the sample mean most likely follows a normal distribution. This calculator finds a confidence interval for a population standard deviation, based on input provided by the user. Confidence interval for variance calculator. The mean value, μ, the standard. Use this confidence interval calculator for the population mean. Confidence Interval For Standard Deviation Calculator Mathcracker.
From www.numerade.com
When constructing the confidence interval population mean, assuming the Confidence Interval For Standard Deviation Calculator Mathcracker Confidence interval for variance calculator. This calculator finds a confidence interval for a population standard deviation, based on input provided by the user. The mean value, μ, the standard. Computes the mean confidence interval and the standard deviation confidence interval using the. Use this calculator to compute the confidence interval or margin of error, assuming the sample mean most likely. Confidence Interval For Standard Deviation Calculator Mathcracker.
From www.chegg.com
Solved When constructing the confidence interval a Confidence Interval For Standard Deviation Calculator Mathcracker This calculator finds a confidence interval for a population standard deviation, based on input provided by the user. The mean value, μ, the standard. Computes the mean confidence interval and the standard deviation confidence interval using the. Confidence interval for variance calculator. Use this calculator to compute the confidence interval or margin of error, assuming the sample mean most likely. Confidence Interval For Standard Deviation Calculator Mathcracker.
From www.youtube.com
Confidence Intervals about the Mean, Population Standard Deviation Confidence Interval For Standard Deviation Calculator Mathcracker The mean value, μ, the standard. Calculating the confidence interval requires you to know three parameters of your sample: Use this confidence interval calculator for the population mean µ, when the population standard deviation σ is not known, so we use the sample. This calculator finds a confidence interval for a population standard deviation, based on input provided by the. Confidence Interval For Standard Deviation Calculator Mathcracker.
From www.scribd.com
Confidence Interval PDF Confidence Interval Standard Deviation Confidence Interval For Standard Deviation Calculator Mathcracker Confidence interval for variance calculator. Calculating the confidence interval requires you to know three parameters of your sample: Computes the mean confidence interval and the standard deviation confidence interval using the. This calculator finds a confidence interval for a population standard deviation, based on input provided by the user. Use this confidence interval calculator for the population mean µ, when. Confidence Interval For Standard Deviation Calculator Mathcracker.
From www.scribd.com
Chapter 7 Exercises PDF Confidence Interval Standard Deviation Confidence Interval For Standard Deviation Calculator Mathcracker Use this confidence interval calculator for the population mean µ, when the population standard deviation σ is not known, so we use the sample. The mean value, μ, the standard. Confidence interval for variance calculator. This calculator finds a confidence interval for a population standard deviation, based on input provided by the user. Computes the mean confidence interval and the. Confidence Interval For Standard Deviation Calculator Mathcracker.
From dukrorisang.blogspot.com
Confidence interval for population variance calculator DukRorisang Confidence Interval For Standard Deviation Calculator Mathcracker Computes the mean confidence interval and the standard deviation confidence interval using the. This calculator finds a confidence interval for a population standard deviation, based on input provided by the user. Calculating the confidence interval requires you to know three parameters of your sample: Use this calculator to compute the confidence interval or margin of error, assuming the sample mean. Confidence Interval For Standard Deviation Calculator Mathcracker.
From mathcracker.com
Standard Deviation Percentile Calculator Confidence Interval For Standard Deviation Calculator Mathcracker Calculating the confidence interval requires you to know three parameters of your sample: Confidence interval for variance calculator. Use this confidence interval calculator for the population mean µ, when the population standard deviation σ is not known, so we use the sample. Use this calculator to compute the confidence interval or margin of error, assuming the sample mean most likely. Confidence Interval For Standard Deviation Calculator Mathcracker.
From brilliant.org
Confidence Intervals Brilliant Math & Science Wiki Confidence Interval For Standard Deviation Calculator Mathcracker Use this confidence interval calculator for the population mean µ, when the population standard deviation σ is not known, so we use the sample. Computes the mean confidence interval and the standard deviation confidence interval using the. This calculator finds a confidence interval for a population standard deviation, based on input provided by the user. Confidence interval for variance calculator.. Confidence Interval For Standard Deviation Calculator Mathcracker.
From www.slideserve.com
PPT 7.4 Confidence Intervals for Variance and Standard Deviation Confidence Interval For Standard Deviation Calculator Mathcracker Use this calculator to compute the confidence interval or margin of error, assuming the sample mean most likely follows a normal distribution. Use this confidence interval calculator for the population mean µ, when the population standard deviation σ is not known, so we use the sample. This calculator finds a confidence interval for a population standard deviation, based on input. Confidence Interval For Standard Deviation Calculator Mathcracker.
From www.slideserve.com
PPT Estimation and Confidence Intervals PowerPoint Presentation, free Confidence Interval For Standard Deviation Calculator Mathcracker Confidence interval for variance calculator. Calculating the confidence interval requires you to know three parameters of your sample: Use this calculator to compute the confidence interval or margin of error, assuming the sample mean most likely follows a normal distribution. Computes the mean confidence interval and the standard deviation confidence interval using the. The mean value, μ, the standard. Use. Confidence Interval For Standard Deviation Calculator Mathcracker.
From stats.stackexchange.com
standard deviation Which definition of confidence interval is correct Confidence Interval For Standard Deviation Calculator Mathcracker Use this calculator to compute the confidence interval or margin of error, assuming the sample mean most likely follows a normal distribution. Confidence interval for variance calculator. The mean value, μ, the standard. Use this confidence interval calculator for the population mean µ, when the population standard deviation σ is not known, so we use the sample. Calculating the confidence. Confidence Interval For Standard Deviation Calculator Mathcracker.
From www.scribd.com
14 Headed Confidence Intervals 2015 PDF Confidence Interval Confidence Interval For Standard Deviation Calculator Mathcracker Confidence interval for variance calculator. Use this confidence interval calculator for the population mean µ, when the population standard deviation σ is not known, so we use the sample. This calculator finds a confidence interval for a population standard deviation, based on input provided by the user. Computes the mean confidence interval and the standard deviation confidence interval using the.. Confidence Interval For Standard Deviation Calculator Mathcracker.
From www.educba.com
Confidence Interval Formula Calculator (Example With Excel Template) Confidence Interval For Standard Deviation Calculator Mathcracker Computes the mean confidence interval and the standard deviation confidence interval using the. This calculator finds a confidence interval for a population standard deviation, based on input provided by the user. Calculating the confidence interval requires you to know three parameters of your sample: Confidence interval for variance calculator. Use this confidence interval calculator for the population mean µ, when. Confidence Interval For Standard Deviation Calculator Mathcracker.
From www.wikihow.com
How to Calculate Confidence Interval 6 Steps (with Pictures) Confidence Interval For Standard Deviation Calculator Mathcracker The mean value, μ, the standard. Computes the mean confidence interval and the standard deviation confidence interval using the. Confidence interval for variance calculator. Calculating the confidence interval requires you to know three parameters of your sample: This calculator finds a confidence interval for a population standard deviation, based on input provided by the user. Use this confidence interval calculator. Confidence Interval For Standard Deviation Calculator Mathcracker.
From www.pinterest.com
How To Calculate The Standard Deviation Standard deviation, Standard Confidence Interval For Standard Deviation Calculator Mathcracker Computes the mean confidence interval and the standard deviation confidence interval using the. Calculating the confidence interval requires you to know three parameters of your sample: Use this calculator to compute the confidence interval or margin of error, assuming the sample mean most likely follows a normal distribution. This calculator finds a confidence interval for a population standard deviation, based. Confidence Interval For Standard Deviation Calculator Mathcracker.
From www.scribd.com
7.confidence Intervals PDF Confidence Interval Standard Deviation Confidence Interval For Standard Deviation Calculator Mathcracker The mean value, μ, the standard. Calculating the confidence interval requires you to know three parameters of your sample: Computes the mean confidence interval and the standard deviation confidence interval using the. Use this confidence interval calculator for the population mean µ, when the population standard deviation σ is not known, so we use the sample. This calculator finds a. Confidence Interval For Standard Deviation Calculator Mathcracker.