An Opportunity Cost Is Mcq . It takes you half an hour to do a math assignment and two hours to do a. Opportunity cost is equal to implicit. the opportunity cost of a good is: A) the time lost in finding it: emelia has been invited to a sleep over at chloe’s house for this saturday. Emelia has tickets to see her favorite band in concert that same night. Opportunity cost is the total cost of all alternatives. opportunity cost is the amount of money spent on a particular choice. B) the quantity of other goods sacrificed to get another unit of that. (a) opportunity costs are always positive. Which of the following statements about opportunity cost is true? what is opportunity cost? (b) resources are not equally well suited to the production of all goods and services. economics multiple choice questions on the topic of scarcity, choice and opportunity cost for gcse and o level.
from www.scribd.com
(a) opportunity costs are always positive. B) the quantity of other goods sacrificed to get another unit of that. Emelia has tickets to see her favorite band in concert that same night. (b) resources are not equally well suited to the production of all goods and services. economics multiple choice questions on the topic of scarcity, choice and opportunity cost for gcse and o level. A) the time lost in finding it: what is opportunity cost? Opportunity cost is equal to implicit. Opportunity cost is the total cost of all alternatives. It takes you half an hour to do a math assignment and two hours to do a.
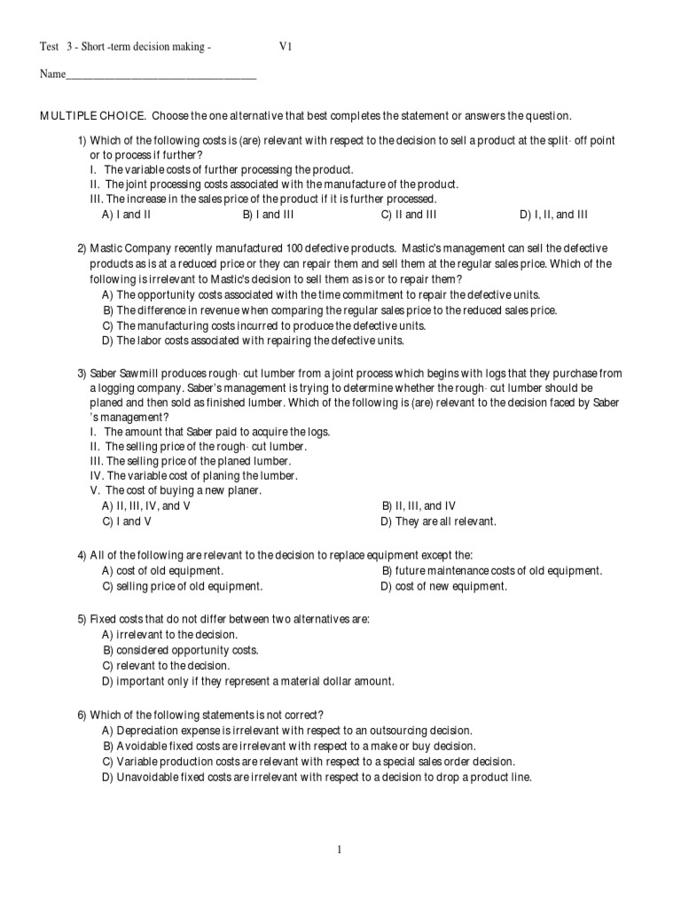
MCQs Relevant Information For Decision Making PDF Cost
An Opportunity Cost Is Mcq opportunity cost is the amount of money spent on a particular choice. Opportunity cost is equal to implicit. A) the time lost in finding it: what is opportunity cost? Which of the following statements about opportunity cost is true? B) the quantity of other goods sacrificed to get another unit of that. It takes you half an hour to do a math assignment and two hours to do a. opportunity cost is the amount of money spent on a particular choice. emelia has been invited to a sleep over at chloe’s house for this saturday. (a) opportunity costs are always positive. the opportunity cost of a good is: (b) resources are not equally well suited to the production of all goods and services. economics multiple choice questions on the topic of scarcity, choice and opportunity cost for gcse and o level. Opportunity cost is the total cost of all alternatives. Emelia has tickets to see her favorite band in concert that same night.
From www.youtube.com
Opportunity Cost MCQs YouTube An Opportunity Cost Is Mcq what is opportunity cost? It takes you half an hour to do a math assignment and two hours to do a. opportunity cost is the amount of money spent on a particular choice. Which of the following statements about opportunity cost is true? Emelia has tickets to see her favorite band in concert that same night. Opportunity cost. An Opportunity Cost Is Mcq.
From www.youtube.com
Chapter 1 Opportunity cost, PPC and basic concepts (Video 1) Topic An Opportunity Cost Is Mcq economics multiple choice questions on the topic of scarcity, choice and opportunity cost for gcse and o level. A) the time lost in finding it: emelia has been invited to a sleep over at chloe’s house for this saturday. the opportunity cost of a good is: (b) resources are not equally well suited to the production of. An Opportunity Cost Is Mcq.
From www.thetechedvocate.org
Calculating Opportunity Cost A Comprehensive Guide The Tech Edvocate An Opportunity Cost Is Mcq economics multiple choice questions on the topic of scarcity, choice and opportunity cost for gcse and o level. A) the time lost in finding it: what is opportunity cost? Opportunity cost is the total cost of all alternatives. the opportunity cost of a good is: (a) opportunity costs are always positive. It takes you half an. An Opportunity Cost Is Mcq.
From dokumen.tips
(PDF) AP Microeconomics MultipleChoice DOKUMEN.TIPS An Opportunity Cost Is Mcq what is opportunity cost? B) the quantity of other goods sacrificed to get another unit of that. (a) opportunity costs are always positive. A) the time lost in finding it: Opportunity cost is equal to implicit. It takes you half an hour to do a math assignment and two hours to do a. opportunity cost is the. An Opportunity Cost Is Mcq.
From theboomoney.com
5 Examples of calculate opportunity cost in Business Decisions An Opportunity Cost Is Mcq the opportunity cost of a good is: (b) resources are not equally well suited to the production of all goods and services. opportunity cost is the amount of money spent on a particular choice. Emelia has tickets to see her favorite band in concert that same night. economics multiple choice questions on the topic of scarcity, choice. An Opportunity Cost Is Mcq.
From koperasi.hartanahgroup.com
Apa Itu Opportunity Cost? Ini Pengertian, Fungsi dan Contohnya! An Opportunity Cost Is Mcq Which of the following statements about opportunity cost is true? Emelia has tickets to see her favorite band in concert that same night. what is opportunity cost? economics multiple choice questions on the topic of scarcity, choice and opportunity cost for gcse and o level. Opportunity cost is the total cost of all alternatives. (a) opportunity costs. An Opportunity Cost Is Mcq.
From study.com
Quiz & Worksheet Calculating Opportunity Cost An Opportunity Cost Is Mcq what is opportunity cost? It takes you half an hour to do a math assignment and two hours to do a. Opportunity cost is the total cost of all alternatives. (a) opportunity costs are always positive. Opportunity cost is equal to implicit. emelia has been invited to a sleep over at chloe’s house for this saturday. (b). An Opportunity Cost Is Mcq.
From commerceaspirant.com
Opportunity Cost in Economics, Marginal Opportunity Cost Class 11 Notes An Opportunity Cost Is Mcq the opportunity cost of a good is: A) the time lost in finding it: economics multiple choice questions on the topic of scarcity, choice and opportunity cost for gcse and o level. (b) resources are not equally well suited to the production of all goods and services. Opportunity cost is the total cost of all alternatives. emelia. An Opportunity Cost Is Mcq.
From quizizz.com
50+ opportunity cost worksheets on Quizizz Free & Printable An Opportunity Cost Is Mcq (a) opportunity costs are always positive. what is opportunity cost? opportunity cost is the amount of money spent on a particular choice. Opportunity cost is equal to implicit. emelia has been invited to a sleep over at chloe’s house for this saturday. Opportunity cost is the total cost of all alternatives. Emelia has tickets to see. An Opportunity Cost Is Mcq.
From economics.stackexchange.com
microeconomics Trade and Opportunity Cost Economics Stack Exchange An Opportunity Cost Is Mcq the opportunity cost of a good is: A) the time lost in finding it: (b) resources are not equally well suited to the production of all goods and services. Opportunity cost is equal to implicit. (a) opportunity costs are always positive. emelia has been invited to a sleep over at chloe’s house for this saturday. Opportunity cost. An Opportunity Cost Is Mcq.
From www.scribd.com
Unit 10 MCQs Questions Download Free PDF Marginal Cost An Opportunity Cost Is Mcq emelia has been invited to a sleep over at chloe’s house for this saturday. Emelia has tickets to see her favorite band in concert that same night. A) the time lost in finding it: B) the quantity of other goods sacrificed to get another unit of that. (b) resources are not equally well suited to the production of all. An Opportunity Cost Is Mcq.
From www.cumul.io
Opportunity Cost in Software Development What It Is and How It Works An Opportunity Cost Is Mcq Emelia has tickets to see her favorite band in concert that same night. B) the quantity of other goods sacrificed to get another unit of that. emelia has been invited to a sleep over at chloe’s house for this saturday. Opportunity cost is the total cost of all alternatives. what is opportunity cost? Which of the following statements. An Opportunity Cost Is Mcq.
From dkgoelsolutions.com
MCQ Questions Class 12 Economics Production and Costs with Answer An Opportunity Cost Is Mcq (b) resources are not equally well suited to the production of all goods and services. the opportunity cost of a good is: Opportunity cost is equal to implicit. It takes you half an hour to do a math assignment and two hours to do a. (a) opportunity costs are always positive. Emelia has tickets to see her favorite. An Opportunity Cost Is Mcq.
From www.supermoney.com
What Is the Opportunity Cost of Capital? SuperMoney An Opportunity Cost Is Mcq opportunity cost is the amount of money spent on a particular choice. A) the time lost in finding it: economics multiple choice questions on the topic of scarcity, choice and opportunity cost for gcse and o level. Opportunity cost is equal to implicit. emelia has been invited to a sleep over at chloe’s house for this saturday.. An Opportunity Cost Is Mcq.
From slideplayer.com
What is Economics? Chapter ppt download An Opportunity Cost Is Mcq the opportunity cost of a good is: what is opportunity cost? Opportunity cost is the total cost of all alternatives. (a) opportunity costs are always positive. A) the time lost in finding it: emelia has been invited to a sleep over at chloe’s house for this saturday. Which of the following statements about opportunity cost is. An Opportunity Cost Is Mcq.
From www.youtube.com
Lecture 1 Opportunity Cost + PYQs + MCQs Final Economy By Trijya An Opportunity Cost Is Mcq Emelia has tickets to see her favorite band in concert that same night. Which of the following statements about opportunity cost is true? opportunity cost is the amount of money spent on a particular choice. the opportunity cost of a good is: economics multiple choice questions on the topic of scarcity, choice and opportunity cost for gcse. An Opportunity Cost Is Mcq.
From www.thetechedvocate.org
How to calculate opportunity cost from a ppf The Tech Edvocate An Opportunity Cost Is Mcq B) the quantity of other goods sacrificed to get another unit of that. (b) resources are not equally well suited to the production of all goods and services. It takes you half an hour to do a math assignment and two hours to do a. opportunity cost is the amount of money spent on a particular choice. Which of. An Opportunity Cost Is Mcq.
From www.youtube.com
MCQ Revision Question PPF and Increasing Opportunity Cost YouTube An Opportunity Cost Is Mcq (b) resources are not equally well suited to the production of all goods and services. Emelia has tickets to see her favorite band in concert that same night. Opportunity cost is equal to implicit. economics multiple choice questions on the topic of scarcity, choice and opportunity cost for gcse and o level. Opportunity cost is the total cost of. An Opportunity Cost Is Mcq.
From www.studocu.com
Ch. 1 Economics Opportunity Cost No difference between opportunity An Opportunity Cost Is Mcq It takes you half an hour to do a math assignment and two hours to do a. (a) opportunity costs are always positive. Opportunity cost is the total cost of all alternatives. what is opportunity cost? opportunity cost is the amount of money spent on a particular choice. Opportunity cost is equal to implicit. emelia has. An Opportunity Cost Is Mcq.
From econstudy.com
Opportunity Cost MCQs EconStudy 🎓 An Opportunity Cost Is Mcq Opportunity cost is the total cost of all alternatives. emelia has been invited to a sleep over at chloe’s house for this saturday. Which of the following statements about opportunity cost is true? economics multiple choice questions on the topic of scarcity, choice and opportunity cost for gcse and o level. Opportunity cost is equal to implicit. (b). An Opportunity Cost Is Mcq.
From www.studocu.com
Opportunity Costs Questions Opportunity Costs MCQ 1. When asked in an An Opportunity Cost Is Mcq B) the quantity of other goods sacrificed to get another unit of that. opportunity cost is the amount of money spent on a particular choice. Opportunity cost is equal to implicit. Which of the following statements about opportunity cost is true? Emelia has tickets to see her favorite band in concert that same night. (b) resources are not equally. An Opportunity Cost Is Mcq.
From www.youtube.com
What is opportunity cost I Term 1 I MCQ I Class 11 I By Smita Mam YouTube An Opportunity Cost Is Mcq It takes you half an hour to do a math assignment and two hours to do a. B) the quantity of other goods sacrificed to get another unit of that. (b) resources are not equally well suited to the production of all goods and services. emelia has been invited to a sleep over at chloe’s house for this saturday.. An Opportunity Cost Is Mcq.
From www.studocu.com
Opportunity Costs Answer Opportunity Costs MCQ 1. When asked in an An Opportunity Cost Is Mcq A) the time lost in finding it: Opportunity cost is equal to implicit. emelia has been invited to a sleep over at chloe’s house for this saturday. It takes you half an hour to do a math assignment and two hours to do a. B) the quantity of other goods sacrificed to get another unit of that. the. An Opportunity Cost Is Mcq.
From www.scribd.com
MCQs Download Free PDF Cost Opportunity Cost An Opportunity Cost Is Mcq B) the quantity of other goods sacrificed to get another unit of that. (b) resources are not equally well suited to the production of all goods and services. A) the time lost in finding it: the opportunity cost of a good is: emelia has been invited to a sleep over at chloe’s house for this saturday. (a). An Opportunity Cost Is Mcq.
From www.onlinestorekit.com
What is Opportunity Cost? Definition and Guide Online Store Kit An Opportunity Cost Is Mcq what is opportunity cost? A) the time lost in finding it: (b) resources are not equally well suited to the production of all goods and services. the opportunity cost of a good is: B) the quantity of other goods sacrificed to get another unit of that. economics multiple choice questions on the topic of scarcity, choice and. An Opportunity Cost Is Mcq.
From helpfulprofessor.com
10 Opportunity Cost Examples (2024) An Opportunity Cost Is Mcq (b) resources are not equally well suited to the production of all goods and services. Opportunity cost is the total cost of all alternatives. A) the time lost in finding it: economics multiple choice questions on the topic of scarcity, choice and opportunity cost for gcse and o level. It takes you half an hour to do a math. An Opportunity Cost Is Mcq.
From www.studocu.com
Unit 1 Opportunity Cost Unit 1 Assignment Opportunity Costs Name An Opportunity Cost Is Mcq (b) resources are not equally well suited to the production of all goods and services. (a) opportunity costs are always positive. opportunity cost is the amount of money spent on a particular choice. economics multiple choice questions on the topic of scarcity, choice and opportunity cost for gcse and o level. It takes you half an hour. An Opportunity Cost Is Mcq.
From www.chegg.com
Solved MULTIPLE CHOICE Which of the following is a cost that An Opportunity Cost Is Mcq emelia has been invited to a sleep over at chloe’s house for this saturday. the opportunity cost of a good is: economics multiple choice questions on the topic of scarcity, choice and opportunity cost for gcse and o level. Opportunity cost is equal to implicit. Opportunity cost is the total cost of all alternatives. A) the time. An Opportunity Cost Is Mcq.
From www.scribd.com
Apt MCQ Aqa As Eco U1 PDF Economics Opportunity Cost An Opportunity Cost Is Mcq opportunity cost is the amount of money spent on a particular choice. B) the quantity of other goods sacrificed to get another unit of that. the opportunity cost of a good is: Opportunity cost is equal to implicit. (a) opportunity costs are always positive. what is opportunity cost? emelia has been invited to a sleep. An Opportunity Cost Is Mcq.
From www.scribd.com
MCQ OC p11 14 PDF Opportunity Cost Economics An Opportunity Cost Is Mcq Emelia has tickets to see her favorite band in concert that same night. A) the time lost in finding it: B) the quantity of other goods sacrificed to get another unit of that. the opportunity cost of a good is: (b) resources are not equally well suited to the production of all goods and services. Opportunity cost is equal. An Opportunity Cost Is Mcq.
From www.youtube.com
Opportunity cost MCQs explained YouTube An Opportunity Cost Is Mcq the opportunity cost of a good is: (a) opportunity costs are always positive. (b) resources are not equally well suited to the production of all goods and services. opportunity cost is the amount of money spent on a particular choice. Opportunity cost is equal to implicit. It takes you half an hour to do a math assignment. An Opportunity Cost Is Mcq.
From www.quanswer.com
What is opportunity cost? Quanswer An Opportunity Cost Is Mcq emelia has been invited to a sleep over at chloe’s house for this saturday. economics multiple choice questions on the topic of scarcity, choice and opportunity cost for gcse and o level. what is opportunity cost? (a) opportunity costs are always positive. Which of the following statements about opportunity cost is true? B) the quantity of. An Opportunity Cost Is Mcq.
From www.scribd.com
3.make and Buy. MCQs. PDF Cost Opportunity Cost An Opportunity Cost Is Mcq Emelia has tickets to see her favorite band in concert that same night. B) the quantity of other goods sacrificed to get another unit of that. It takes you half an hour to do a math assignment and two hours to do a. A) the time lost in finding it: (b) resources are not equally well suited to the production. An Opportunity Cost Is Mcq.
From www.scribd.com
MCQs Relevant Information For Decision Making PDF Cost An Opportunity Cost Is Mcq Which of the following statements about opportunity cost is true? Opportunity cost is the total cost of all alternatives. B) the quantity of other goods sacrificed to get another unit of that. the opportunity cost of a good is: emelia has been invited to a sleep over at chloe’s house for this saturday. what is opportunity cost?. An Opportunity Cost Is Mcq.
From www.studocu.com
Chapter 7 MCQ Q1. An opportunity cost is the potential benefit given An Opportunity Cost Is Mcq B) the quantity of other goods sacrificed to get another unit of that. the opportunity cost of a good is: Emelia has tickets to see her favorite band in concert that same night. It takes you half an hour to do a math assignment and two hours to do a. Opportunity cost is equal to implicit. (b) resources are. An Opportunity Cost Is Mcq.