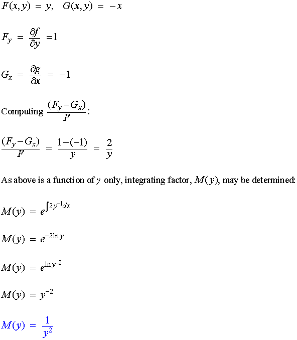
Differential Equations Integrating Factor Examples . Illustration of the procedure to find an integrating factor that allows integration of a first order linear ordinary differential equation. The integrating factor method is sometimes explained in terms of simpler forms of differential equation. Some equations that are not exact may be multiplied by some factor, a function u(x, y), to make them exact. Compare the given equation with differential. The function \(r(x)\) is called the integrating factor and the method is called the integrating factor method. We are looking for a function \(r(x)\), such that if we differentiate it,.
        	
		 
	 
    
         
         
        from www.youtube.com 
     
        
        The integrating factor method is sometimes explained in terms of simpler forms of differential equation. Some equations that are not exact may be multiplied by some factor, a function u(x, y), to make them exact. Compare the given equation with differential. We are looking for a function \(r(x)\), such that if we differentiate it,. Illustration of the procedure to find an integrating factor that allows integration of a first order linear ordinary differential equation. The function \(r(x)\) is called the integrating factor and the method is called the integrating factor method.
    
    	
		 
	 
    Integrating factor method for ordinary differential equations YouTube 
    Differential Equations Integrating Factor Examples  Compare the given equation with differential. Some equations that are not exact may be multiplied by some factor, a function u(x, y), to make them exact. Illustration of the procedure to find an integrating factor that allows integration of a first order linear ordinary differential equation. Compare the given equation with differential. The integrating factor method is sometimes explained in terms of simpler forms of differential equation. We are looking for a function \(r(x)\), such that if we differentiate it,. The function \(r(x)\) is called the integrating factor and the method is called the integrating factor method.
 
    
         
        From www.youtube.com 
                    How to use the Integrating Factor Method (First Order Linear ODE) YouTube Differential Equations Integrating Factor Examples  Some equations that are not exact may be multiplied by some factor, a function u(x, y), to make them exact. The function \(r(x)\) is called the integrating factor and the method is called the integrating factor method. We are looking for a function \(r(x)\), such that if we differentiate it,. Compare the given equation with differential. Illustration of the procedure. Differential Equations Integrating Factor Examples.
     
    
         
        From www.scribd.com 
                    Differential Equation Examples of Determination of Integrating Differential Equations Integrating Factor Examples  Illustration of the procedure to find an integrating factor that allows integration of a first order linear ordinary differential equation. The function \(r(x)\) is called the integrating factor and the method is called the integrating factor method. The integrating factor method is sometimes explained in terms of simpler forms of differential equation. Compare the given equation with differential. We are. Differential Equations Integrating Factor Examples.
     
    
         
        From www.youtube.com 
                    Lecture 6 Integrating Factor Method Differential Equations YouTube Differential Equations Integrating Factor Examples  Some equations that are not exact may be multiplied by some factor, a function u(x, y), to make them exact. Compare the given equation with differential. We are looking for a function \(r(x)\), such that if we differentiate it,. The function \(r(x)\) is called the integrating factor and the method is called the integrating factor method. The integrating factor method. Differential Equations Integrating Factor Examples.
     
    
         
        From math.stackexchange.com 
                    Finding integrating factor for inexact differential equation Differential Equations Integrating Factor Examples  We are looking for a function \(r(x)\), such that if we differentiate it,. Some equations that are not exact may be multiplied by some factor, a function u(x, y), to make them exact. Compare the given equation with differential. The integrating factor method is sometimes explained in terms of simpler forms of differential equation. The function \(r(x)\) is called the. Differential Equations Integrating Factor Examples.
     
    
         
        From www.youtube.com 
                    How to solve non exact differential equations with an integrating Differential Equations Integrating Factor Examples  The integrating factor method is sometimes explained in terms of simpler forms of differential equation. We are looking for a function \(r(x)\), such that if we differentiate it,. The function \(r(x)\) is called the integrating factor and the method is called the integrating factor method. Compare the given equation with differential. Some equations that are not exact may be multiplied. Differential Equations Integrating Factor Examples.
     
    
         
        From www.youtube.com 
                    The Integrating Factor Method YouTube Differential Equations Integrating Factor Examples  We are looking for a function \(r(x)\), such that if we differentiate it,. Compare the given equation with differential. The integrating factor method is sometimes explained in terms of simpler forms of differential equation. Illustration of the procedure to find an integrating factor that allows integration of a first order linear ordinary differential equation. The function \(r(x)\) is called the. Differential Equations Integrating Factor Examples.
     
    
         
        From www.youtube.com 
                    Linear Differential Equations (Integrating Factor) YouTube Differential Equations Integrating Factor Examples  The function \(r(x)\) is called the integrating factor and the method is called the integrating factor method. We are looking for a function \(r(x)\), such that if we differentiate it,. Some equations that are not exact may be multiplied by some factor, a function u(x, y), to make them exact. Compare the given equation with differential. The integrating factor method. Differential Equations Integrating Factor Examples.
     
    
         
        From www.teachoo.com 
                    Ex 9.6, 19 The Integrating Factor of (1 y2) dx/dy + yx = ay Differential Equations Integrating Factor Examples  Some equations that are not exact may be multiplied by some factor, a function u(x, y), to make them exact. The function \(r(x)\) is called the integrating factor and the method is called the integrating factor method. Compare the given equation with differential. The integrating factor method is sometimes explained in terms of simpler forms of differential equation. We are. Differential Equations Integrating Factor Examples.
     
    
         
        From www.reddit.com 
                    Integrating Factor (differential equations) MathHelp Differential Equations Integrating Factor Examples  Some equations that are not exact may be multiplied by some factor, a function u(x, y), to make them exact. The function \(r(x)\) is called the integrating factor and the method is called the integrating factor method. The integrating factor method is sometimes explained in terms of simpler forms of differential equation. Illustration of the procedure to find an integrating. Differential Equations Integrating Factor Examples.
     
    
         
        From www.youtube.com 
                    First Order Linear Differential Equations Integrating Factors Examples Differential Equations Integrating Factor Examples  Illustration of the procedure to find an integrating factor that allows integration of a first order linear ordinary differential equation. Compare the given equation with differential. We are looking for a function \(r(x)\), such that if we differentiate it,. The function \(r(x)\) is called the integrating factor and the method is called the integrating factor method. Some equations that are. Differential Equations Integrating Factor Examples.
     
    
         
        From www.youtube.com 
                    Differential Equations Integrating factor type (Examples Differential Equations Integrating Factor Examples  Some equations that are not exact may be multiplied by some factor, a function u(x, y), to make them exact. Illustration of the procedure to find an integrating factor that allows integration of a first order linear ordinary differential equation. The function \(r(x)\) is called the integrating factor and the method is called the integrating factor method. The integrating factor. Differential Equations Integrating Factor Examples.
     
    
         
        From www.slideserve.com 
                    PPT Differential Equations PowerPoint Presentation, free download Differential Equations Integrating Factor Examples  Some equations that are not exact may be multiplied by some factor, a function u(x, y), to make them exact. The integrating factor method is sometimes explained in terms of simpler forms of differential equation. The function \(r(x)\) is called the integrating factor and the method is called the integrating factor method. Compare the given equation with differential. We are. Differential Equations Integrating Factor Examples.
     
    
         
        From www.youtube.com 
                    DIFFERENTIAL EQUATIONS 4A INTEGRATING FACTOR BY INSPECTION YouTube Differential Equations Integrating Factor Examples  The integrating factor method is sometimes explained in terms of simpler forms of differential equation. The function \(r(x)\) is called the integrating factor and the method is called the integrating factor method. Some equations that are not exact may be multiplied by some factor, a function u(x, y), to make them exact. We are looking for a function \(r(x)\), such. Differential Equations Integrating Factor Examples.
     
    
         
        From www.cuemath.com 
                    Examples On Exact Differential Equations What is Examples On Exact Differential Equations Integrating Factor Examples  Illustration of the procedure to find an integrating factor that allows integration of a first order linear ordinary differential equation. We are looking for a function \(r(x)\), such that if we differentiate it,. The function \(r(x)\) is called the integrating factor and the method is called the integrating factor method. The integrating factor method is sometimes explained in terms of. Differential Equations Integrating Factor Examples.
     
    
         
        From www.slideserve.com 
                    PPT Differential Equations PowerPoint Presentation, free download Differential Equations Integrating Factor Examples  Illustration of the procedure to find an integrating factor that allows integration of a first order linear ordinary differential equation. The integrating factor method is sometimes explained in terms of simpler forms of differential equation. Compare the given equation with differential. The function \(r(x)\) is called the integrating factor and the method is called the integrating factor method. Some equations. Differential Equations Integrating Factor Examples.
     
    
         
        From www.youtube.com 
                    solving linear first order differential equations Integrating factor Differential Equations Integrating Factor Examples  The function \(r(x)\) is called the integrating factor and the method is called the integrating factor method. Some equations that are not exact may be multiplied by some factor, a function u(x, y), to make them exact. The integrating factor method is sometimes explained in terms of simpler forms of differential equation. We are looking for a function \(r(x)\), such. Differential Equations Integrating Factor Examples.
     
    
         
        From studylib.net 
                    Exact equations and integrating factors Differential Equations Integrating Factor Examples  Compare the given equation with differential. Some equations that are not exact may be multiplied by some factor, a function u(x, y), to make them exact. Illustration of the procedure to find an integrating factor that allows integration of a first order linear ordinary differential equation. The function \(r(x)\) is called the integrating factor and the method is called the. Differential Equations Integrating Factor Examples.
     
    
         
        From www.youtube.com 
                    Differential Equations Integrating Factors Found by Inspection YouTube Differential Equations Integrating Factor Examples  The function \(r(x)\) is called the integrating factor and the method is called the integrating factor method. Compare the given equation with differential. Illustration of the procedure to find an integrating factor that allows integration of a first order linear ordinary differential equation. We are looking for a function \(r(x)\), such that if we differentiate it,. Some equations that are. Differential Equations Integrating Factor Examples.
     
    
         
        From www.teachoo.com 
                    Ex 9.6, 18 The integrating factor of differential equation Differential Equations Integrating Factor Examples  We are looking for a function \(r(x)\), such that if we differentiate it,. Some equations that are not exact may be multiplied by some factor, a function u(x, y), to make them exact. Illustration of the procedure to find an integrating factor that allows integration of a first order linear ordinary differential equation. The integrating factor method is sometimes explained. Differential Equations Integrating Factor Examples.
     
    
         
        From www.youtube.com 
                    24 1 Solving First order differential equations using Integrating Differential Equations Integrating Factor Examples  Some equations that are not exact may be multiplied by some factor, a function u(x, y), to make them exact. Compare the given equation with differential. The function \(r(x)\) is called the integrating factor and the method is called the integrating factor method. The integrating factor method is sometimes explained in terms of simpler forms of differential equation. Illustration of. Differential Equations Integrating Factor Examples.
     
    
         
        From www.youtube.com 
                    Non Exact differential equation with integrating factor example YouTube Differential Equations Integrating Factor Examples  The function \(r(x)\) is called the integrating factor and the method is called the integrating factor method. Illustration of the procedure to find an integrating factor that allows integration of a first order linear ordinary differential equation. Some equations that are not exact may be multiplied by some factor, a function u(x, y), to make them exact. The integrating factor. Differential Equations Integrating Factor Examples.
     
    
         
        From math.info 
                    Integrating Factors Differential Equations Integrating Factor Examples  Some equations that are not exact may be multiplied by some factor, a function u(x, y), to make them exact. Compare the given equation with differential. The function \(r(x)\) is called the integrating factor and the method is called the integrating factor method. We are looking for a function \(r(x)\), such that if we differentiate it,. Illustration of the procedure. Differential Equations Integrating Factor Examples.
     
    
         
        From www.youtube.com 
                    Differential Equations( Integrating Factor Technique) Example 1 YouTube Differential Equations Integrating Factor Examples  The function \(r(x)\) is called the integrating factor and the method is called the integrating factor method. We are looking for a function \(r(x)\), such that if we differentiate it,. The integrating factor method is sometimes explained in terms of simpler forms of differential equation. Compare the given equation with differential. Some equations that are not exact may be multiplied. Differential Equations Integrating Factor Examples.
     
    
         
        From www.youtube.com 
                    Solving a First Order Linear Differential Equation YouTube Differential Equations Integrating Factor Examples  Some equations that are not exact may be multiplied by some factor, a function u(x, y), to make them exact. Compare the given equation with differential. The integrating factor method is sometimes explained in terms of simpler forms of differential equation. We are looking for a function \(r(x)\), such that if we differentiate it,. Illustration of the procedure to find. Differential Equations Integrating Factor Examples.
     
    
         
        From www.teachoo.com 
                    The Integrating Factor of (1 y^2) dx/dy + yx = ay MCQ Class 12 Differential Equations Integrating Factor Examples  Compare the given equation with differential. The integrating factor method is sometimes explained in terms of simpler forms of differential equation. We are looking for a function \(r(x)\), such that if we differentiate it,. Illustration of the procedure to find an integrating factor that allows integration of a first order linear ordinary differential equation. The function \(r(x)\) is called the. Differential Equations Integrating Factor Examples.
     
    
         
        From www.youtube.com 
                    Integrating Factor Differential Equations YouTube Differential Equations Integrating Factor Examples  Some equations that are not exact may be multiplied by some factor, a function u(x, y), to make them exact. The integrating factor method is sometimes explained in terms of simpler forms of differential equation. The function \(r(x)\) is called the integrating factor and the method is called the integrating factor method. Illustration of the procedure to find an integrating. Differential Equations Integrating Factor Examples.
     
    
         
        From www.youtube.com 
                    Exact Differential Equations Using an Integrating Factor YouTube Differential Equations Integrating Factor Examples  Some equations that are not exact may be multiplied by some factor, a function u(x, y), to make them exact. The function \(r(x)\) is called the integrating factor and the method is called the integrating factor method. Compare the given equation with differential. Illustration of the procedure to find an integrating factor that allows integration of a first order linear. Differential Equations Integrating Factor Examples.
     
    
         
        From www.youtube.com 
                    Integrating factor method for ordinary differential equations YouTube Differential Equations Integrating Factor Examples  The function \(r(x)\) is called the integrating factor and the method is called the integrating factor method. The integrating factor method is sometimes explained in terms of simpler forms of differential equation. We are looking for a function \(r(x)\), such that if we differentiate it,. Compare the given equation with differential. Illustration of the procedure to find an integrating factor. Differential Equations Integrating Factor Examples.
     
    
         
        From www.youtube.com 
                    Differential Equation another example on Integrating Factor Method Differential Equations Integrating Factor Examples  Illustration of the procedure to find an integrating factor that allows integration of a first order linear ordinary differential equation. Some equations that are not exact may be multiplied by some factor, a function u(x, y), to make them exact. The integrating factor method is sometimes explained in terms of simpler forms of differential equation. Compare the given equation with. Differential Equations Integrating Factor Examples.
     
    
         
        From www.tes.com 
                    First order differential equations Teaching Resources Differential Equations Integrating Factor Examples  The integrating factor method is sometimes explained in terms of simpler forms of differential equation. The function \(r(x)\) is called the integrating factor and the method is called the integrating factor method. Compare the given equation with differential. Illustration of the procedure to find an integrating factor that allows integration of a first order linear ordinary differential equation. We are. Differential Equations Integrating Factor Examples.
     
    
         
        From www.youtube.com 
                    Solving Linear Differential Equations using anIntegrating Factor Mr Differential Equations Integrating Factor Examples  Compare the given equation with differential. The integrating factor method is sometimes explained in terms of simpler forms of differential equation. The function \(r(x)\) is called the integrating factor and the method is called the integrating factor method. Illustration of the procedure to find an integrating factor that allows integration of a first order linear ordinary differential equation. Some equations. Differential Equations Integrating Factor Examples.
     
    
         
        From www.youtube.com 
                    First Order Linear Differential Equations YouTube Differential Equations Integrating Factor Examples  Some equations that are not exact may be multiplied by some factor, a function u(x, y), to make them exact. The integrating factor method is sometimes explained in terms of simpler forms of differential equation. Illustration of the procedure to find an integrating factor that allows integration of a first order linear ordinary differential equation. Compare the given equation with. Differential Equations Integrating Factor Examples.
     
    
         
        From www.youtube.com 
                    Nonexact differential equation with integrating factor example YouTube Differential Equations Integrating Factor Examples  Some equations that are not exact may be multiplied by some factor, a function u(x, y), to make them exact. The function \(r(x)\) is called the integrating factor and the method is called the integrating factor method. Compare the given equation with differential. Illustration of the procedure to find an integrating factor that allows integration of a first order linear. Differential Equations Integrating Factor Examples.
     
    
         
        From www.youtube.com 
                    Solving nonExact Differential Equations using Integrating Factors Differential Equations Integrating Factor Examples  Illustration of the procedure to find an integrating factor that allows integration of a first order linear ordinary differential equation. The integrating factor method is sometimes explained in terms of simpler forms of differential equation. Some equations that are not exact may be multiplied by some factor, a function u(x, y), to make them exact. We are looking for a. Differential Equations Integrating Factor Examples.
     
    
         
        From www.slideserve.com 
                    PPT Differential Equations PowerPoint Presentation, free download Differential Equations Integrating Factor Examples  Illustration of the procedure to find an integrating factor that allows integration of a first order linear ordinary differential equation. We are looking for a function \(r(x)\), such that if we differentiate it,. The function \(r(x)\) is called the integrating factor and the method is called the integrating factor method. The integrating factor method is sometimes explained in terms of. Differential Equations Integrating Factor Examples.