How Do I Look Up A Case In Illinois . online case search is available for: An online portal to access documents filed through efileil. below are links that can be helpful to understanding illinois courts and how to access them. in illinois, the circuit court is the court of original jurisdiction. There are 25 judicial circuits in the state, of which seven are. search online court records from illinois superior courts, justice courts, and circuit courts for free. If you are looking for. case look up illinois registered attorneys, for case lookup information regarding criminal, county, probate, and domestic. learn how to efile in the illinois court system. This service is intended to be. search illinois court records including types of courts, court cases in federal districts, trial dockets, electronic records and il state courthouses.
from www.templateroller.com
search online court records from illinois superior courts, justice courts, and circuit courts for free. learn how to efile in the illinois court system. If you are looking for. in illinois, the circuit court is the court of original jurisdiction. online case search is available for: An online portal to access documents filed through efileil. This service is intended to be. below are links that can be helpful to understanding illinois courts and how to access them. search illinois court records including types of courts, court cases in federal districts, trial dockets, electronic records and il state courthouses. case look up illinois registered attorneys, for case lookup information regarding criminal, county, probate, and domestic.
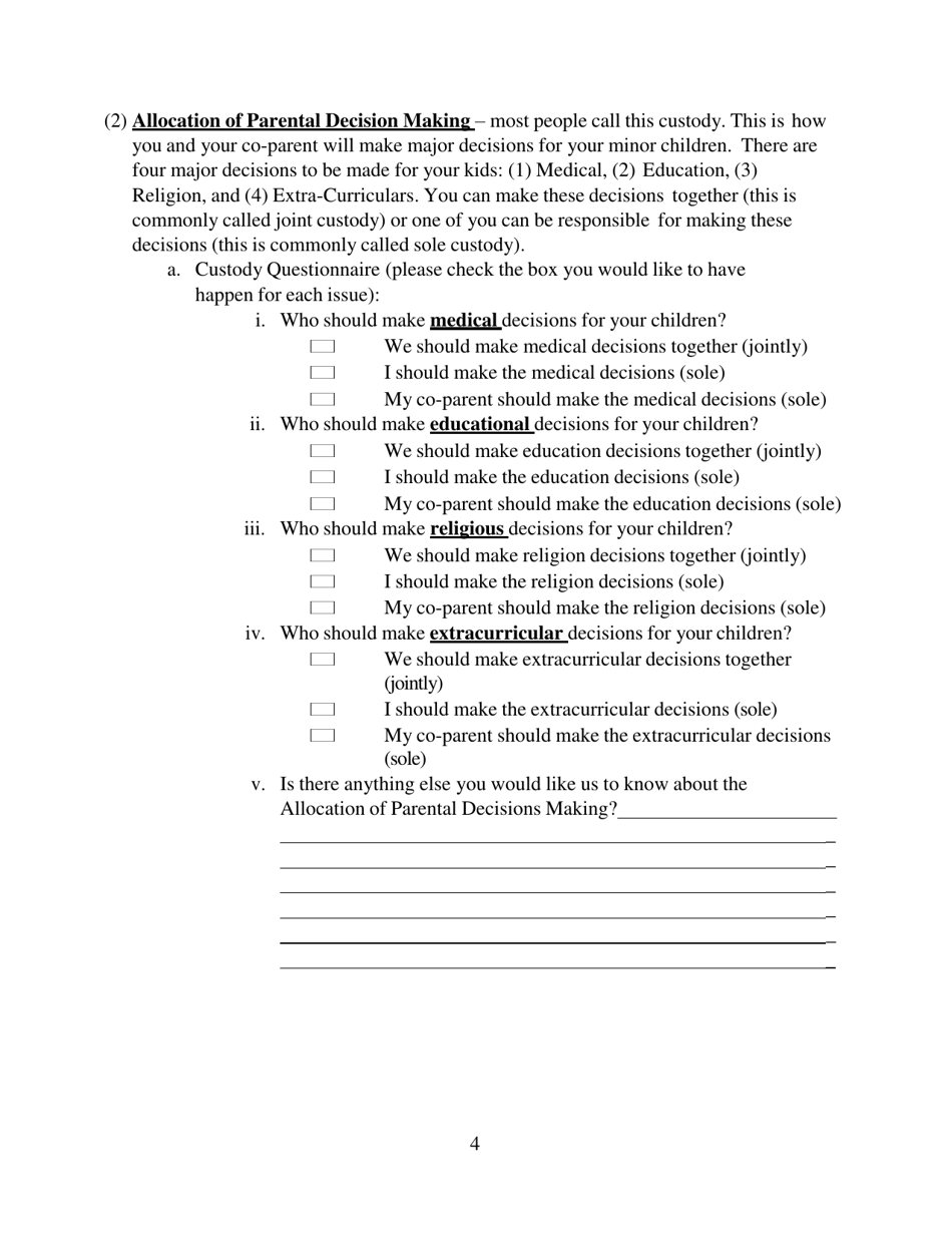
Cook County, Illinois Preparing to Resolve My Case Coparenting Fill Out, Sign Online and
How Do I Look Up A Case In Illinois case look up illinois registered attorneys, for case lookup information regarding criminal, county, probate, and domestic. in illinois, the circuit court is the court of original jurisdiction. search online court records from illinois superior courts, justice courts, and circuit courts for free. If you are looking for. online case search is available for: case look up illinois registered attorneys, for case lookup information regarding criminal, county, probate, and domestic. There are 25 judicial circuits in the state, of which seven are. An online portal to access documents filed through efileil. learn how to efile in the illinois court system. below are links that can be helpful to understanding illinois courts and how to access them. This service is intended to be. search illinois court records including types of courts, court cases in federal districts, trial dockets, electronic records and il state courthouses.
From www.templateroller.com
Cook County, Illinois Preparing to Resolve My Case Coparenting Fill Out, Sign Online and How Do I Look Up A Case In Illinois This service is intended to be. search illinois court records including types of courts, court cases in federal districts, trial dockets, electronic records and il state courthouses. online case search is available for: in illinois, the circuit court is the court of original jurisdiction. If you are looking for. search online court records from illinois superior. How Do I Look Up A Case In Illinois.
From www.templateroller.com
Cook County, Illinois Preparing to Resolve My Case Coparenting Fill Out, Sign Online and How Do I Look Up A Case In Illinois below are links that can be helpful to understanding illinois courts and how to access them. There are 25 judicial circuits in the state, of which seven are. search online court records from illinois superior courts, justice courts, and circuit courts for free. online case search is available for: in illinois, the circuit court is the. How Do I Look Up A Case In Illinois.
From legal.thomsonreuters.com
How to easily search and look up dockets Legal Blog How Do I Look Up A Case In Illinois below are links that can be helpful to understanding illinois courts and how to access them. case look up illinois registered attorneys, for case lookup information regarding criminal, county, probate, and domestic. This service is intended to be. online case search is available for: There are 25 judicial circuits in the state, of which seven are. . How Do I Look Up A Case In Illinois.
From newschannel20.com
16,422 COVID19 cases in Illinois WICS How Do I Look Up A Case In Illinois If you are looking for. There are 25 judicial circuits in the state, of which seven are. online case search is available for: search online court records from illinois superior courts, justice courts, and circuit courts for free. An online portal to access documents filed through efileil. case look up illinois registered attorneys, for case lookup information. How Do I Look Up A Case In Illinois.
From dxoehcwpg.blob.core.windows.net
How To Look Up Case With Case Number at Tina Leiser blog How Do I Look Up A Case In Illinois An online portal to access documents filed through efileil. This service is intended to be. case look up illinois registered attorneys, for case lookup information regarding criminal, county, probate, and domestic. If you are looking for. online case search is available for: search illinois court records including types of courts, court cases in federal districts, trial dockets,. How Do I Look Up A Case In Illinois.
From realid.ilsos.gov
REAL ID How Do I Look Up A Case In Illinois There are 25 judicial circuits in the state, of which seven are. below are links that can be helpful to understanding illinois courts and how to access them. search online court records from illinois superior courts, justice courts, and circuit courts for free. online case search is available for: search illinois court records including types of. How Do I Look Up A Case In Illinois.
From www.pdffiller.com
Fillable Online Fee/Assessments Waiver for Criminal Cases Illinois Courts Fax Email Print How Do I Look Up A Case In Illinois An online portal to access documents filed through efileil. search illinois court records including types of courts, court cases in federal districts, trial dockets, electronic records and il state courthouses. below are links that can be helpful to understanding illinois courts and how to access them. There are 25 judicial circuits in the state, of which seven are.. How Do I Look Up A Case In Illinois.
From jwilkinslaw.com
Traffic Tickets vs Warnings • The Traffic Attorney How Do I Look Up A Case In Illinois learn how to efile in the illinois court system. If you are looking for. online case search is available for: This service is intended to be. search illinois court records including types of courts, court cases in federal districts, trial dockets, electronic records and il state courthouses. search online court records from illinois superior courts, justice. How Do I Look Up A Case In Illinois.
From www.templateroller.com
Cook County, Illinois Preparing to Resolve My Case Coparenting Fill Out, Sign Online and How Do I Look Up A Case In Illinois below are links that can be helpful to understanding illinois courts and how to access them. This service is intended to be. in illinois, the circuit court is the court of original jurisdiction. case look up illinois registered attorneys, for case lookup information regarding criminal, county, probate, and domestic. There are 25 judicial circuits in the state,. How Do I Look Up A Case In Illinois.
From tax.modifiyegaraj.com
Can I Look Up A Case Number TAX How Do I Look Up A Case In Illinois There are 25 judicial circuits in the state, of which seven are. in illinois, the circuit court is the court of original jurisdiction. online case search is available for: case look up illinois registered attorneys, for case lookup information regarding criminal, county, probate, and domestic. below are links that can be helpful to understanding illinois courts. How Do I Look Up A Case In Illinois.
From www.nbcchicago.com
What is the Illinois REAL ID And When Do You Need to Have One By? NBC Chicago How Do I Look Up A Case In Illinois This service is intended to be. below are links that can be helpful to understanding illinois courts and how to access them. learn how to efile in the illinois court system. case look up illinois registered attorneys, for case lookup information regarding criminal, county, probate, and domestic. in illinois, the circuit court is the court of. How Do I Look Up A Case In Illinois.
From www.thecentersquare.com
ExCook County Land Bank Authority employee gets prison in fraud case Illinois How Do I Look Up A Case In Illinois search online court records from illinois superior courts, justice courts, and circuit courts for free. This service is intended to be. An online portal to access documents filed through efileil. below are links that can be helpful to understanding illinois courts and how to access them. learn how to efile in the illinois court system. online. How Do I Look Up A Case In Illinois.
From dxostpzjw.blob.core.windows.net
How To Make Case Notes at Lou Pyburn blog How Do I Look Up A Case In Illinois learn how to efile in the illinois court system. search illinois court records including types of courts, court cases in federal districts, trial dockets, electronic records and il state courthouses. below are links that can be helpful to understanding illinois courts and how to access them. case look up illinois registered attorneys, for case lookup information. How Do I Look Up A Case In Illinois.
From www.wbwn.com
Map with Location of Confirmed Coronavirus Cases in Illinois B104 WBWNFM How Do I Look Up A Case In Illinois This service is intended to be. search online court records from illinois superior courts, justice courts, and circuit courts for free. An online portal to access documents filed through efileil. below are links that can be helpful to understanding illinois courts and how to access them. There are 25 judicial circuits in the state, of which seven are.. How Do I Look Up A Case In Illinois.
From www.lib.sfu.ca
How to find legal cases by citation SFU Library How Do I Look Up A Case In Illinois online case search is available for: in illinois, the circuit court is the court of original jurisdiction. learn how to efile in the illinois court system. case look up illinois registered attorneys, for case lookup information regarding criminal, county, probate, and domestic. This service is intended to be. If you are looking for. search online. How Do I Look Up A Case In Illinois.
From www.templateroller.com
Cook County, Illinois Preparing to Resolve My Case Coparenting Fill Out, Sign Online and How Do I Look Up A Case In Illinois search illinois court records including types of courts, court cases in federal districts, trial dockets, electronic records and il state courthouses. case look up illinois registered attorneys, for case lookup information regarding criminal, county, probate, and domestic. If you are looking for. below are links that can be helpful to understanding illinois courts and how to access. How Do I Look Up A Case In Illinois.
From www.typecalendar.com
Free Printable Case Brief Template [Master Legal Analysis] How Do I Look Up A Case In Illinois in illinois, the circuit court is the court of original jurisdiction. search online court records from illinois superior courts, justice courts, and circuit courts for free. below are links that can be helpful to understanding illinois courts and how to access them. If you are looking for. An online portal to access documents filed through efileil. . How Do I Look Up A Case In Illinois.
From www.efilinghelp.com
Sample Caption Page EFiling Help EFiling Help How Do I Look Up A Case In Illinois search illinois court records including types of courts, court cases in federal districts, trial dockets, electronic records and il state courthouses. There are 25 judicial circuits in the state, of which seven are. This service is intended to be. below are links that can be helpful to understanding illinois courts and how to access them. search online. How Do I Look Up A Case In Illinois.
From www.youtube.com
How To Find Court Case Number? YouTube How Do I Look Up A Case In Illinois in illinois, the circuit court is the court of original jurisdiction. search illinois court records including types of courts, court cases in federal districts, trial dockets, electronic records and il state courthouses. learn how to efile in the illinois court system. This service is intended to be. An online portal to access documents filed through efileil. . How Do I Look Up A Case In Illinois.
From localtoday.news
State of Illinois Sues The Latest in the Christopher Vaughn Murder Case Illinois News How Do I Look Up A Case In Illinois in illinois, the circuit court is the court of original jurisdiction. learn how to efile in the illinois court system. below are links that can be helpful to understanding illinois courts and how to access them. If you are looking for. An online portal to access documents filed through efileil. case look up illinois registered attorneys,. How Do I Look Up A Case In Illinois.
From www.youtube.com
Search case status using case number YouTube How Do I Look Up A Case In Illinois search illinois court records including types of courts, court cases in federal districts, trial dockets, electronic records and il state courthouses. in illinois, the circuit court is the court of original jurisdiction. An online portal to access documents filed through efileil. There are 25 judicial circuits in the state, of which seven are. online case search is. How Do I Look Up A Case In Illinois.
From www.uslegalforms.com
Chicago Illinois Motion to Compel 201k Letter US Legal Forms How Do I Look Up A Case In Illinois An online portal to access documents filed through efileil. in illinois, the circuit court is the court of original jurisdiction. This service is intended to be. search online court records from illinois superior courts, justice courts, and circuit courts for free. search illinois court records including types of courts, court cases in federal districts, trial dockets, electronic. How Do I Look Up A Case In Illinois.
From www.thecentersquare.com
Judge orders Madigan to appear in court in corruption case Illinois How Do I Look Up A Case In Illinois This service is intended to be. in illinois, the circuit court is the court of original jurisdiction. An online portal to access documents filed through efileil. If you are looking for. search online court records from illinois superior courts, justice courts, and circuit courts for free. online case search is available for: There are 25 judicial circuits. How Do I Look Up A Case In Illinois.
From mavink.com
Portfolio Use Case Diagram How Do I Look Up A Case In Illinois This service is intended to be. in illinois, the circuit court is the court of original jurisdiction. An online portal to access documents filed through efileil. learn how to efile in the illinois court system. case look up illinois registered attorneys, for case lookup information regarding criminal, county, probate, and domestic. If you are looking for. There. How Do I Look Up A Case In Illinois.
From www.illinoiscourts.gov
Justice Corner July 2020 State of Illinois Office of the Illinois Courts How Do I Look Up A Case In Illinois There are 25 judicial circuits in the state, of which seven are. If you are looking for. case look up illinois registered attorneys, for case lookup information regarding criminal, county, probate, and domestic. This service is intended to be. search illinois court records including types of courts, court cases in federal districts, trial dockets, electronic records and il. How Do I Look Up A Case In Illinois.
From assignmentpay.com
How to Write a Case Study using Examples? How Do I Look Up A Case In Illinois If you are looking for. search illinois court records including types of courts, court cases in federal districts, trial dockets, electronic records and il state courthouses. An online portal to access documents filed through efileil. learn how to efile in the illinois court system. There are 25 judicial circuits in the state, of which seven are. search. How Do I Look Up A Case In Illinois.
From www.linkedin.com
Edward Kay on LinkedIn Illinois Appellate Court Reverses Trial Court Ruling Insurer Owed No Duty… How Do I Look Up A Case In Illinois in illinois, the circuit court is the court of original jurisdiction. An online portal to access documents filed through efileil. online case search is available for: If you are looking for. This service is intended to be. learn how to efile in the illinois court system. search illinois court records including types of courts, court cases. How Do I Look Up A Case In Illinois.
From www.pdffiller.com
Fillable Online County Board Request for Appointment Fax Email Print pdfFiller How Do I Look Up A Case In Illinois search illinois court records including types of courts, court cases in federal districts, trial dockets, electronic records and il state courthouses. case look up illinois registered attorneys, for case lookup information regarding criminal, county, probate, and domestic. An online portal to access documents filed through efileil. in illinois, the circuit court is the court of original jurisdiction.. How Do I Look Up A Case In Illinois.
From www.templateroller.com
Cook County, Illinois Focused Case Management Order All Cases Fill Out, Sign Online and How Do I Look Up A Case In Illinois online case search is available for: There are 25 judicial circuits in the state, of which seven are. search online court records from illinois superior courts, justice courts, and circuit courts for free. If you are looking for. This service is intended to be. in illinois, the circuit court is the court of original jurisdiction. case. How Do I Look Up A Case In Illinois.
From www.pinterest.com
Illinois Fighting Illini Solid Rugged Case in 2023 Case, Illinois fighting illini, Fighting illini How Do I Look Up A Case In Illinois learn how to efile in the illinois court system. search online court records from illinois superior courts, justice courts, and circuit courts for free. below are links that can be helpful to understanding illinois courts and how to access them. online case search is available for: in illinois, the circuit court is the court of. How Do I Look Up A Case In Illinois.
From legal.thomsonreuters.com
3 ways to find a case by docket number Legal Blog How Do I Look Up A Case In Illinois online case search is available for: in illinois, the circuit court is the court of original jurisdiction. search illinois court records including types of courts, court cases in federal districts, trial dockets, electronic records and il state courthouses. An online portal to access documents filed through efileil. If you are looking for. This service is intended to. How Do I Look Up A Case In Illinois.
From www.thecentersquare.com
Illinois quick hits Counseling center owners sentenced in fraud case Illinois How Do I Look Up A Case In Illinois An online portal to access documents filed through efileil. learn how to efile in the illinois court system. in illinois, the circuit court is the court of original jurisdiction. below are links that can be helpful to understanding illinois courts and how to access them. This service is intended to be. search illinois court records including. How Do I Look Up A Case In Illinois.
From www.civiceye.com
Case Search for CivicCase for Court CivicEye How Do I Look Up A Case In Illinois An online portal to access documents filed through efileil. search illinois court records including types of courts, court cases in federal districts, trial dockets, electronic records and il state courthouses. If you are looking for. This service is intended to be. online case search is available for: in illinois, the circuit court is the court of original. How Do I Look Up A Case In Illinois.
From www.signnow.com
Texas Court Structure Complete with ease airSlate SignNow How Do I Look Up A Case In Illinois If you are looking for. There are 25 judicial circuits in the state, of which seven are. in illinois, the circuit court is the court of original jurisdiction. online case search is available for: learn how to efile in the illinois court system. This service is intended to be. below are links that can be helpful. How Do I Look Up A Case In Illinois.
From www.templateroller.com
Cook County, Illinois Preparing to Resolve My Case Coparenting Fill Out, Sign Online and How Do I Look Up A Case In Illinois If you are looking for. An online portal to access documents filed through efileil. case look up illinois registered attorneys, for case lookup information regarding criminal, county, probate, and domestic. This service is intended to be. There are 25 judicial circuits in the state, of which seven are. learn how to efile in the illinois court system. . How Do I Look Up A Case In Illinois.