What Is The Formula For Calculating A Vehicle's Stopping Distance . stopping distance formula is given by, where, d = stopping distance (m) v = velocity (m/s) μ = friction coefficient. So the distance it takes for your vehicle to come to a. The stopping distance = reaction distance + braking distance. stopping distance formula. Learn the formula for calculating a. Input speed and other parameters. what is a stopping distance calculator calculator? the stopping distance calculator is a free tool that calculates a vehicle's stopping distance. Our stopping distance calculator will tell you how long a. what is stopping distance? A tool to estimate the distance a vehicle needs to stop safely. accurately determine vehicle stopping distance using our free online tool.
from thetruckhow.com
So the distance it takes for your vehicle to come to a. accurately determine vehicle stopping distance using our free online tool. Our stopping distance calculator will tell you how long a. the stopping distance calculator is a free tool that calculates a vehicle's stopping distance. what is stopping distance? what is a stopping distance calculator calculator? Input speed and other parameters. Learn the formula for calculating a. stopping distance formula is given by, where, d = stopping distance (m) v = velocity (m/s) μ = friction coefficient. A tool to estimate the distance a vehicle needs to stop safely.
Semi Truck Stopping Distance Calculator • The Truck How
What Is The Formula For Calculating A Vehicle's Stopping Distance accurately determine vehicle stopping distance using our free online tool. Our stopping distance calculator will tell you how long a. the stopping distance calculator is a free tool that calculates a vehicle's stopping distance. The stopping distance = reaction distance + braking distance. A tool to estimate the distance a vehicle needs to stop safely. Learn the formula for calculating a. stopping distance formula. accurately determine vehicle stopping distance using our free online tool. Input speed and other parameters. what is a stopping distance calculator calculator? stopping distance formula is given by, where, d = stopping distance (m) v = velocity (m/s) μ = friction coefficient. what is stopping distance? So the distance it takes for your vehicle to come to a.
From www.youtube.com
GCSE Physics Revision "Vehicle Stopping Distance" YouTube What Is The Formula For Calculating A Vehicle's Stopping Distance accurately determine vehicle stopping distance using our free online tool. So the distance it takes for your vehicle to come to a. The stopping distance = reaction distance + braking distance. stopping distance formula. the stopping distance calculator is a free tool that calculates a vehicle's stopping distance. Input speed and other parameters. stopping distance formula. What Is The Formula For Calculating A Vehicle's Stopping Distance.
From www.youtube.com
How to Calculate Reaction Distance, Braking Distance and Stopping What Is The Formula For Calculating A Vehicle's Stopping Distance the stopping distance calculator is a free tool that calculates a vehicle's stopping distance. A tool to estimate the distance a vehicle needs to stop safely. The stopping distance = reaction distance + braking distance. what is a stopping distance calculator calculator? Learn the formula for calculating a. Our stopping distance calculator will tell you how long a.. What Is The Formula For Calculating A Vehicle's Stopping Distance.
From www.youtube.com
Calculating the Braking Force of a Car YouTube What Is The Formula For Calculating A Vehicle's Stopping Distance accurately determine vehicle stopping distance using our free online tool. the stopping distance calculator is a free tool that calculates a vehicle's stopping distance. The stopping distance = reaction distance + braking distance. what is a stopping distance calculator calculator? what is stopping distance? So the distance it takes for your vehicle to come to a.. What Is The Formula For Calculating A Vehicle's Stopping Distance.
From www.qld.gov.au
Stopping distances speed and braking Transport and motoring What Is The Formula For Calculating A Vehicle's Stopping Distance Our stopping distance calculator will tell you how long a. Input speed and other parameters. what is a stopping distance calculator calculator? what is stopping distance? the stopping distance calculator is a free tool that calculates a vehicle's stopping distance. stopping distance formula. So the distance it takes for your vehicle to come to a. . What Is The Formula For Calculating A Vehicle's Stopping Distance.
From www.highwaycodeuk.co.uk
Braking The Driver and the Environment Speed limits Stopping Distances What Is The Formula For Calculating A Vehicle's Stopping Distance accurately determine vehicle stopping distance using our free online tool. The stopping distance = reaction distance + braking distance. what is a stopping distance calculator calculator? Our stopping distance calculator will tell you how long a. stopping distance formula. Learn the formula for calculating a. what is stopping distance? Input speed and other parameters. So the. What Is The Formula For Calculating A Vehicle's Stopping Distance.
From byjus.com
The minimum stopping distance of a car when it ismoving with 50 km/h is What Is The Formula For Calculating A Vehicle's Stopping Distance the stopping distance calculator is a free tool that calculates a vehicle's stopping distance. stopping distance formula. Our stopping distance calculator will tell you how long a. stopping distance formula is given by, where, d = stopping distance (m) v = velocity (m/s) μ = friction coefficient. A tool to estimate the distance a vehicle needs to. What Is The Formula For Calculating A Vehicle's Stopping Distance.
From www.youtube.com
How to Solve for Braking distance 🚦 (and reaction time) YouTube What Is The Formula For Calculating A Vehicle's Stopping Distance The stopping distance = reaction distance + braking distance. stopping distance formula. Learn the formula for calculating a. Input speed and other parameters. what is a stopping distance calculator calculator? A tool to estimate the distance a vehicle needs to stop safely. Our stopping distance calculator will tell you how long a. what is stopping distance? . What Is The Formula For Calculating A Vehicle's Stopping Distance.
From answerbun.com
Calculating stopping distance of a car on an inclined plane with What Is The Formula For Calculating A Vehicle's Stopping Distance stopping distance formula. Learn the formula for calculating a. Input speed and other parameters. what is stopping distance? stopping distance formula is given by, where, d = stopping distance (m) v = velocity (m/s) μ = friction coefficient. the stopping distance calculator is a free tool that calculates a vehicle's stopping distance. Our stopping distance calculator. What Is The Formula For Calculating A Vehicle's Stopping Distance.
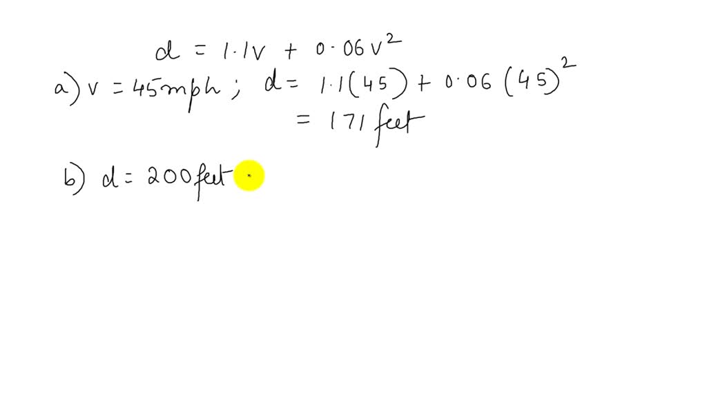
From www.bartleby.com
Answered . Stopping Distance For a certain model… bartleby What Is The Formula For Calculating A Vehicle's Stopping Distance Input speed and other parameters. what is stopping distance? Learn the formula for calculating a. A tool to estimate the distance a vehicle needs to stop safely. Our stopping distance calculator will tell you how long a. accurately determine vehicle stopping distance using our free online tool. the stopping distance calculator is a free tool that calculates. What Is The Formula For Calculating A Vehicle's Stopping Distance.
From brainly.in
Derive an expression for stopping distance of a vehicle in terms of What Is The Formula For Calculating A Vehicle's Stopping Distance So the distance it takes for your vehicle to come to a. A tool to estimate the distance a vehicle needs to stop safely. Learn the formula for calculating a. accurately determine vehicle stopping distance using our free online tool. Input speed and other parameters. stopping distance formula is given by, where, d = stopping distance (m) v. What Is The Formula For Calculating A Vehicle's Stopping Distance.
From solvedlib.com
Stopping Distance An accepted relationship between st… SolvedLib What Is The Formula For Calculating A Vehicle's Stopping Distance Learn the formula for calculating a. what is a stopping distance calculator calculator? So the distance it takes for your vehicle to come to a. stopping distance formula. accurately determine vehicle stopping distance using our free online tool. what is stopping distance? stopping distance formula is given by, where, d = stopping distance (m) v. What Is The Formula For Calculating A Vehicle's Stopping Distance.
From studylib.net
Vehicle Stopping Distance Key What Is The Formula For Calculating A Vehicle's Stopping Distance A tool to estimate the distance a vehicle needs to stop safely. The stopping distance = reaction distance + braking distance. stopping distance formula. the stopping distance calculator is a free tool that calculates a vehicle's stopping distance. So the distance it takes for your vehicle to come to a. accurately determine vehicle stopping distance using our. What Is The Formula For Calculating A Vehicle's Stopping Distance.
From schematicfixfrancisco.z21.web.core.windows.net
Texas Speed Stopping Distance Car Length Diagram What Is The Formula For Calculating A Vehicle's Stopping Distance the stopping distance calculator is a free tool that calculates a vehicle's stopping distance. Input speed and other parameters. Our stopping distance calculator will tell you how long a. So the distance it takes for your vehicle to come to a. what is a stopping distance calculator calculator? stopping distance formula is given by, where, d =. What Is The Formula For Calculating A Vehicle's Stopping Distance.
From engineeringdiscoveries.com
Stopping Sight Distance, Overview And Calculation Engineering Discoveries What Is The Formula For Calculating A Vehicle's Stopping Distance the stopping distance calculator is a free tool that calculates a vehicle's stopping distance. A tool to estimate the distance a vehicle needs to stop safely. stopping distance formula is given by, where, d = stopping distance (m) v = velocity (m/s) μ = friction coefficient. accurately determine vehicle stopping distance using our free online tool. Learn. What Is The Formula For Calculating A Vehicle's Stopping Distance.
From rightwaydriving.com.au
Calculating stopping distances made easy! Rightway Driving School What Is The Formula For Calculating A Vehicle's Stopping Distance stopping distance formula. Our stopping distance calculator will tell you how long a. Input speed and other parameters. what is stopping distance? the stopping distance calculator is a free tool that calculates a vehicle's stopping distance. accurately determine vehicle stopping distance using our free online tool. stopping distance formula is given by, where, d =. What Is The Formula For Calculating A Vehicle's Stopping Distance.
From thetruckhow.com
Semi Truck Stopping Distance Calculator • The Truck How What Is The Formula For Calculating A Vehicle's Stopping Distance Input speed and other parameters. The stopping distance = reaction distance + braking distance. Our stopping distance calculator will tell you how long a. the stopping distance calculator is a free tool that calculates a vehicle's stopping distance. So the distance it takes for your vehicle to come to a. Learn the formula for calculating a. A tool to. What Is The Formula For Calculating A Vehicle's Stopping Distance.
From www.smartdriversnetwork.co.uk
SPEED AND SAFETY MARGINS Smart Drivers Network What Is The Formula For Calculating A Vehicle's Stopping Distance The stopping distance = reaction distance + braking distance. Learn the formula for calculating a. stopping distance formula. Our stopping distance calculator will tell you how long a. what is a stopping distance calculator calculator? So the distance it takes for your vehicle to come to a. Input speed and other parameters. stopping distance formula is given. What Is The Formula For Calculating A Vehicle's Stopping Distance.
From www.youtube.com
Stopping Distances A Level Physics Walkthrough YouTube What Is The Formula For Calculating A Vehicle's Stopping Distance accurately determine vehicle stopping distance using our free online tool. the stopping distance calculator is a free tool that calculates a vehicle's stopping distance. So the distance it takes for your vehicle to come to a. Our stopping distance calculator will tell you how long a. The stopping distance = reaction distance + braking distance. stopping distance. What Is The Formula For Calculating A Vehicle's Stopping Distance.
From engineeringdiscoveries.com
Stopping Sight Distance, Overview And Calculation Engineering Discoveries What Is The Formula For Calculating A Vehicle's Stopping Distance Our stopping distance calculator will tell you how long a. Input speed and other parameters. The stopping distance = reaction distance + braking distance. stopping distance formula. accurately determine vehicle stopping distance using our free online tool. A tool to estimate the distance a vehicle needs to stop safely. what is stopping distance? stopping distance formula. What Is The Formula For Calculating A Vehicle's Stopping Distance.
From www.savemyexams.com
Stopping Distance AQA GCSE Physics Revision Notes 2018 What Is The Formula For Calculating A Vehicle's Stopping Distance The stopping distance = reaction distance + braking distance. So the distance it takes for your vehicle to come to a. what is a stopping distance calculator calculator? Input speed and other parameters. A tool to estimate the distance a vehicle needs to stop safely. Learn the formula for calculating a. Our stopping distance calculator will tell you how. What Is The Formula For Calculating A Vehicle's Stopping Distance.
From excel2excel123.blogspot.com
EXCEL TEMPLATES Stopping Distance Formula Calculator What Is The Formula For Calculating A Vehicle's Stopping Distance stopping distance formula. the stopping distance calculator is a free tool that calculates a vehicle's stopping distance. what is stopping distance? what is a stopping distance calculator calculator? Learn the formula for calculating a. The stopping distance = reaction distance + braking distance. So the distance it takes for your vehicle to come to a. A. What Is The Formula For Calculating A Vehicle's Stopping Distance.
From engineeringdiscoveries.com
Stopping Sight Distance, Overview And Calculation Engineering Discoveries What Is The Formula For Calculating A Vehicle's Stopping Distance accurately determine vehicle stopping distance using our free online tool. stopping distance formula. Input speed and other parameters. what is a stopping distance calculator calculator? Learn the formula for calculating a. the stopping distance calculator is a free tool that calculates a vehicle's stopping distance. So the distance it takes for your vehicle to come to. What Is The Formula For Calculating A Vehicle's Stopping Distance.
From altcalculator.com
Stopping Distance Calculator (AASHTO Standard) What Is The Formula For Calculating A Vehicle's Stopping Distance Learn the formula for calculating a. what is a stopping distance calculator calculator? accurately determine vehicle stopping distance using our free online tool. Our stopping distance calculator will tell you how long a. stopping distance formula. A tool to estimate the distance a vehicle needs to stop safely. The stopping distance = reaction distance + braking distance.. What Is The Formula For Calculating A Vehicle's Stopping Distance.
From www.slideserve.com
PPT Geometric Design & Vertical Alignment PowerPoint Presentation What Is The Formula For Calculating A Vehicle's Stopping Distance stopping distance formula is given by, where, d = stopping distance (m) v = velocity (m/s) μ = friction coefficient. accurately determine vehicle stopping distance using our free online tool. A tool to estimate the distance a vehicle needs to stop safely. So the distance it takes for your vehicle to come to a. the stopping distance. What Is The Formula For Calculating A Vehicle's Stopping Distance.
From psbrake.com
What Is Brake Distance And Stopping Distance? PSBrake What Is The Formula For Calculating A Vehicle's Stopping Distance what is stopping distance? stopping distance formula. A tool to estimate the distance a vehicle needs to stop safely. The stopping distance = reaction distance + braking distance. Learn the formula for calculating a. So the distance it takes for your vehicle to come to a. Input speed and other parameters. Our stopping distance calculator will tell you. What Is The Formula For Calculating A Vehicle's Stopping Distance.
From www.chegg.com
Solved 10. A car moving with velocity v has a stopping What Is The Formula For Calculating A Vehicle's Stopping Distance what is a stopping distance calculator calculator? A tool to estimate the distance a vehicle needs to stop safely. Learn the formula for calculating a. So the distance it takes for your vehicle to come to a. Input speed and other parameters. what is stopping distance? stopping distance formula. the stopping distance calculator is a free. What Is The Formula For Calculating A Vehicle's Stopping Distance.
From howcarspecs.blogspot.com
Braking Distance Definition How Car Specs What Is The Formula For Calculating A Vehicle's Stopping Distance stopping distance formula. accurately determine vehicle stopping distance using our free online tool. Our stopping distance calculator will tell you how long a. Learn the formula for calculating a. stopping distance formula is given by, where, d = stopping distance (m) v = velocity (m/s) μ = friction coefficient. A tool to estimate the distance a vehicle. What Is The Formula For Calculating A Vehicle's Stopping Distance.
From zutobi.com
Stopping Distance 101 Reaction, Braking Distance & Formula What Is The Formula For Calculating A Vehicle's Stopping Distance The stopping distance = reaction distance + braking distance. what is stopping distance? A tool to estimate the distance a vehicle needs to stop safely. the stopping distance calculator is a free tool that calculates a vehicle's stopping distance. Learn the formula for calculating a. stopping distance formula is given by, where, d = stopping distance (m). What Is The Formula For Calculating A Vehicle's Stopping Distance.
From engineeringdiscoveries.com
Stopping Sight Distance, Overview And Calculation Engineering Discoveries What Is The Formula For Calculating A Vehicle's Stopping Distance A tool to estimate the distance a vehicle needs to stop safely. what is stopping distance? Input speed and other parameters. what is a stopping distance calculator calculator? The stopping distance = reaction distance + braking distance. stopping distance formula. the stopping distance calculator is a free tool that calculates a vehicle's stopping distance. So the. What Is The Formula For Calculating A Vehicle's Stopping Distance.
From dualwheeljourney.com
How To Calculate Stopping Distance, Reaction Distance, and Braking What Is The Formula For Calculating A Vehicle's Stopping Distance stopping distance formula is given by, where, d = stopping distance (m) v = velocity (m/s) μ = friction coefficient. Learn the formula for calculating a. So the distance it takes for your vehicle to come to a. A tool to estimate the distance a vehicle needs to stop safely. stopping distance formula. what is stopping distance?. What Is The Formula For Calculating A Vehicle's Stopping Distance.
From www.youtube.com
What is the minimum stopping distance while braking ? YouTube What Is The Formula For Calculating A Vehicle's Stopping Distance stopping distance formula. what is a stopping distance calculator calculator? So the distance it takes for your vehicle to come to a. Learn the formula for calculating a. The stopping distance = reaction distance + braking distance. stopping distance formula is given by, where, d = stopping distance (m) v = velocity (m/s) μ = friction coefficient.. What Is The Formula For Calculating A Vehicle's Stopping Distance.
From excel2excel123.blogspot.com
EXCEL TEMPLATES Stopping Distance Formula Calculator What Is The Formula For Calculating A Vehicle's Stopping Distance stopping distance formula. the stopping distance calculator is a free tool that calculates a vehicle's stopping distance. Our stopping distance calculator will tell you how long a. accurately determine vehicle stopping distance using our free online tool. So the distance it takes for your vehicle to come to a. Learn the formula for calculating a. The stopping. What Is The Formula For Calculating A Vehicle's Stopping Distance.
From www.theaa.com
Know your stopping distances AA What Is The Formula For Calculating A Vehicle's Stopping Distance Learn the formula for calculating a. Input speed and other parameters. Our stopping distance calculator will tell you how long a. stopping distance formula is given by, where, d = stopping distance (m) v = velocity (m/s) μ = friction coefficient. The stopping distance = reaction distance + braking distance. So the distance it takes for your vehicle to. What Is The Formula For Calculating A Vehicle's Stopping Distance.
From www.rac.co.uk
Stopping distances made simple RAC Drive What Is The Formula For Calculating A Vehicle's Stopping Distance So the distance it takes for your vehicle to come to a. stopping distance formula is given by, where, d = stopping distance (m) v = velocity (m/s) μ = friction coefficient. A tool to estimate the distance a vehicle needs to stop safely. Learn the formula for calculating a. Our stopping distance calculator will tell you how long. What Is The Formula For Calculating A Vehicle's Stopping Distance.
From carlasdrivingschool.uk
Stopping distances carlasdrivingschool.uk What Is The Formula For Calculating A Vehicle's Stopping Distance accurately determine vehicle stopping distance using our free online tool. A tool to estimate the distance a vehicle needs to stop safely. So the distance it takes for your vehicle to come to a. what is a stopping distance calculator calculator? what is stopping distance? the stopping distance calculator is a free tool that calculates a. What Is The Formula For Calculating A Vehicle's Stopping Distance.