What Does Business Studies Paper 2 Consist Of . Prepare to answer a 12 mark question. (b) explain why the following three factors are important to bethany when choosing a business partner: Paper 2 question guides | get top grades in cambridge business exams at igcse & a level. Paper 2 has less focus on assessing knowledge and has a higher allocation of marks for analysis and evaluation. Cambridge igcse business studies (0450) the cambridge igcse business studies syllabus develops learners' understanding of. Instead of four small “mini” case studies, you will receive a separate booklet with a longer case study about one fictional business. Start with the word “introduction” as a heading. With 12 mark questions application is absolutely crucial. For each method you want to make your point,. The 12 marker is always 3 different methods/ options the business has and a recommendation. The essay consists of three parts: • knowledge of new technology •. Cambridge igcse business studies is accepted by universities and employers as proof of an understanding of business concepts and.
from kitaabnow.com
Start with the word “introduction” as a heading. (b) explain why the following three factors are important to bethany when choosing a business partner: The 12 marker is always 3 different methods/ options the business has and a recommendation. Paper 2 question guides | get top grades in cambridge business exams at igcse & a level. The essay consists of three parts: Cambridge igcse business studies is accepted by universities and employers as proof of an understanding of business concepts and. • knowledge of new technology •. With 12 mark questions application is absolutely crucial. For each method you want to make your point,. Cambridge igcse business studies (0450) the cambridge igcse business studies syllabus develops learners' understanding of.
O Level Business Studies Paper 2 (Unsolved Yearly S13S23) KitaabNow
What Does Business Studies Paper 2 Consist Of Prepare to answer a 12 mark question. Prepare to answer a 12 mark question. Instead of four small “mini” case studies, you will receive a separate booklet with a longer case study about one fictional business. • knowledge of new technology •. Paper 2 has less focus on assessing knowledge and has a higher allocation of marks for analysis and evaluation. Cambridge igcse business studies is accepted by universities and employers as proof of an understanding of business concepts and. Cambridge igcse business studies (0450) the cambridge igcse business studies syllabus develops learners' understanding of. With 12 mark questions application is absolutely crucial. For each method you want to make your point,. The 12 marker is always 3 different methods/ options the business has and a recommendation. The essay consists of three parts: (b) explain why the following three factors are important to bethany when choosing a business partner: Paper 2 question guides | get top grades in cambridge business exams at igcse & a level. Start with the word “introduction” as a heading.
From www.studypool.com
SOLUTION cambridge o level business studies paper 2 notes Studypool What Does Business Studies Paper 2 Consist Of • knowledge of new technology •. The 12 marker is always 3 different methods/ options the business has and a recommendation. Prepare to answer a 12 mark question. Instead of four small “mini” case studies, you will receive a separate booklet with a longer case study about one fictional business. Paper 2 question guides | get top grades in cambridge. What Does Business Studies Paper 2 Consist Of.
From www.kenyaplex.com
Form 4 Business Studies Paper 2 End of Term 1 Examination 2022 1233 What Does Business Studies Paper 2 Consist Of Cambridge igcse business studies is accepted by universities and employers as proof of an understanding of business concepts and. (b) explain why the following three factors are important to bethany when choosing a business partner: The essay consists of three parts: Cambridge igcse business studies (0450) the cambridge igcse business studies syllabus develops learners' understanding of. For each method you. What Does Business Studies Paper 2 Consist Of.
From caiebusiness.com
IGCSE paper 2 Cambridge Business Essentials What Does Business Studies Paper 2 Consist Of Paper 2 has less focus on assessing knowledge and has a higher allocation of marks for analysis and evaluation. (b) explain why the following three factors are important to bethany when choosing a business partner: Paper 2 question guides | get top grades in cambridge business exams at igcse & a level. Start with the word “introduction” as a heading.. What Does Business Studies Paper 2 Consist Of.
From www.scribd.com
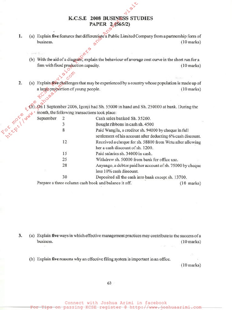
KCSE 2008 Business Studies PAPER 2 PDF What Does Business Studies Paper 2 Consist Of The 12 marker is always 3 different methods/ options the business has and a recommendation. Cambridge igcse business studies (0450) the cambridge igcse business studies syllabus develops learners' understanding of. Paper 2 question guides | get top grades in cambridge business exams at igcse & a level. Cambridge igcse business studies is accepted by universities and employers as proof of. What Does Business Studies Paper 2 Consist Of.
From muthurwa.com
KCSE Business Studies Paper 2, 2018 with Marking Scheme What Does Business Studies Paper 2 Consist Of Prepare to answer a 12 mark question. (b) explain why the following three factors are important to bethany when choosing a business partner: Cambridge igcse business studies is accepted by universities and employers as proof of an understanding of business concepts and. The essay consists of three parts: Instead of four small “mini” case studies, you will receive a separate. What Does Business Studies Paper 2 Consist Of.
From www.mungalbazar.com
A Level Business Studies Paper 2 Solved Past Papers By Abdul Qadir What Does Business Studies Paper 2 Consist Of Instead of four small “mini” case studies, you will receive a separate booklet with a longer case study about one fictional business. • knowledge of new technology •. Paper 2 question guides | get top grades in cambridge business exams at igcse & a level. Start with the word “introduction” as a heading. With 12 mark questions application is absolutely. What Does Business Studies Paper 2 Consist Of.
From www.youtube.com
KCSE 2022 BUSINESS STUDY PAPER 2 KNEC marking scheme YouTube What Does Business Studies Paper 2 Consist Of Paper 2 question guides | get top grades in cambridge business exams at igcse & a level. Instead of four small “mini” case studies, you will receive a separate booklet with a longer case study about one fictional business. Start with the word “introduction” as a heading. Cambridge igcse business studies (0450) the cambridge igcse business studies syllabus develops learners'. What Does Business Studies Paper 2 Consist Of.
From www.teacharesources.com
Grade 10 Business Studies November Paper 2 (Eng and Afr) with Memo What Does Business Studies Paper 2 Consist Of Cambridge igcse business studies is accepted by universities and employers as proof of an understanding of business concepts and. Paper 2 question guides | get top grades in cambridge business exams at igcse & a level. Start with the word “introduction” as a heading. Instead of four small “mini” case studies, you will receive a separate booklet with a longer. What Does Business Studies Paper 2 Consist Of.
From www.scribd.com
Business Studies Paper 2 PDF Investing Stocks What Does Business Studies Paper 2 Consist Of With 12 mark questions application is absolutely crucial. For each method you want to make your point,. • knowledge of new technology •. The 12 marker is always 3 different methods/ options the business has and a recommendation. Paper 2 has less focus on assessing knowledge and has a higher allocation of marks for analysis and evaluation. (b) explain why. What Does Business Studies Paper 2 Consist Of.
From www.youtube.com
9609 AS Business Paper 2 Survival Guide Cambridge International Exams What Does Business Studies Paper 2 Consist Of Cambridge igcse business studies is accepted by universities and employers as proof of an understanding of business concepts and. Prepare to answer a 12 mark question. With 12 mark questions application is absolutely crucial. Paper 2 question guides | get top grades in cambridge business exams at igcse & a level. Instead of four small “mini” case studies, you will. What Does Business Studies Paper 2 Consist Of.
From www.studocu.com
2020 Business Studies Paper 2 Question BANK BUSINESS STUDIES GRADE 12 What Does Business Studies Paper 2 Consist Of Paper 2 has less focus on assessing knowledge and has a higher allocation of marks for analysis and evaluation. With 12 mark questions application is absolutely crucial. The essay consists of three parts: Prepare to answer a 12 mark question. The 12 marker is always 3 different methods/ options the business has and a recommendation. Cambridge igcse business studies (0450). What Does Business Studies Paper 2 Consist Of.
From wcedeportal.co.za
Gr 12 Business Studies Core Notes Paper 2 WCED ePortal What Does Business Studies Paper 2 Consist Of Paper 2 question guides | get top grades in cambridge business exams at igcse & a level. Cambridge igcse business studies (0450) the cambridge igcse business studies syllabus develops learners' understanding of. • knowledge of new technology •. For each method you want to make your point,. Start with the word “introduction” as a heading. Instead of four small “mini”. What Does Business Studies Paper 2 Consist Of.
From www.youtube.com
Business studies exam guide Paper 2 what to study for business What Does Business Studies Paper 2 Consist Of Instead of four small “mini” case studies, you will receive a separate booklet with a longer case study about one fictional business. Cambridge igcse business studies (0450) the cambridge igcse business studies syllabus develops learners' understanding of. The essay consists of three parts: • knowledge of new technology •. Start with the word “introduction” as a heading. (b) explain why. What Does Business Studies Paper 2 Consist Of.
From www.kenyaplex.com
Business Studies Paper 2 Form 3 End of Term 1 Examination 2020 610 What Does Business Studies Paper 2 Consist Of With 12 mark questions application is absolutely crucial. The 12 marker is always 3 different methods/ options the business has and a recommendation. • knowledge of new technology •. For each method you want to make your point,. Prepare to answer a 12 mark question. Cambridge igcse business studies is accepted by universities and employers as proof of an understanding. What Does Business Studies Paper 2 Consist Of.
From www.studocu.com
Business Studies Paper 2 Questions and Answers Form 3 End Term 3 2021 What Does Business Studies Paper 2 Consist Of • knowledge of new technology •. Prepare to answer a 12 mark question. Paper 2 question guides | get top grades in cambridge business exams at igcse & a level. Paper 2 has less focus on assessing knowledge and has a higher allocation of marks for analysis and evaluation. With 12 mark questions application is absolutely crucial. For each method. What Does Business Studies Paper 2 Consist Of.
From www.youtube.com
0450 Business Studies Paper 2 Exam Style Case Study YouTube What Does Business Studies Paper 2 Consist Of Cambridge igcse business studies is accepted by universities and employers as proof of an understanding of business concepts and. • knowledge of new technology •. (b) explain why the following three factors are important to bethany when choosing a business partner: With 12 mark questions application is absolutely crucial. The 12 marker is always 3 different methods/ options the business. What Does Business Studies Paper 2 Consist Of.
From www.studocu.com
2. Business Studies Paper 2 Revision Booklet IDEAL RELEASE VOLUME 1 What Does Business Studies Paper 2 Consist Of For each method you want to make your point,. • knowledge of new technology •. Cambridge igcse business studies (0450) the cambridge igcse business studies syllabus develops learners' understanding of. With 12 mark questions application is absolutely crucial. The essay consists of three parts: The 12 marker is always 3 different methods/ options the business has and a recommendation. Paper. What Does Business Studies Paper 2 Consist Of.
From www.youtube.com
PAPER 2, BUSINESS STUDIES GRADE 12, 2023 FINAL EXAMS [THUNDEREDUC] BY What Does Business Studies Paper 2 Consist Of Cambridge igcse business studies is accepted by universities and employers as proof of an understanding of business concepts and. With 12 mark questions application is absolutely crucial. Paper 2 question guides | get top grades in cambridge business exams at igcse & a level. (b) explain why the following three factors are important to bethany when choosing a business partner:. What Does Business Studies Paper 2 Consist Of.
From kitaabnow.com
IGCSE Business Studies Paper 2 (Unsolved Yearly S18S23) KitaabNow What Does Business Studies Paper 2 Consist Of (b) explain why the following three factors are important to bethany when choosing a business partner: The 12 marker is always 3 different methods/ options the business has and a recommendation. The essay consists of three parts: • knowledge of new technology •. With 12 mark questions application is absolutely crucial. Instead of four small “mini” case studies, you will. What Does Business Studies Paper 2 Consist Of.
From muthurwa.com
KNEC KCSE 2019 Business Studies Paper 2 Past Paper What Does Business Studies Paper 2 Consist Of With 12 mark questions application is absolutely crucial. Paper 2 has less focus on assessing knowledge and has a higher allocation of marks for analysis and evaluation. Cambridge igcse business studies is accepted by universities and employers as proof of an understanding of business concepts and. Instead of four small “mini” case studies, you will receive a separate booklet with. What Does Business Studies Paper 2 Consist Of.
From www.youtube.com
2022 BUSINESS STUDIES PAPER 2, GRADE 12 FINAL EXAM YouTube What Does Business Studies Paper 2 Consist Of The 12 marker is always 3 different methods/ options the business has and a recommendation. Paper 2 has less focus on assessing knowledge and has a higher allocation of marks for analysis and evaluation. • knowledge of new technology •. (b) explain why the following three factors are important to bethany when choosing a business partner: Cambridge igcse business studies. What Does Business Studies Paper 2 Consist Of.
From www.scribd.com
KCSE 2006 Business Studies PAPER 2 PDF What Does Business Studies Paper 2 Consist Of The 12 marker is always 3 different methods/ options the business has and a recommendation. • knowledge of new technology •. Paper 2 question guides | get top grades in cambridge business exams at igcse & a level. With 12 mark questions application is absolutely crucial. Start with the word “introduction” as a heading. (b) explain why the following three. What Does Business Studies Paper 2 Consist Of.
From www.scribd.com
2020KCSEBusinessStudiesPaper2 PDF What Does Business Studies Paper 2 Consist Of Paper 2 question guides | get top grades in cambridge business exams at igcse & a level. Cambridge igcse business studies is accepted by universities and employers as proof of an understanding of business concepts and. • knowledge of new technology •. Start with the word “introduction” as a heading. For each method you want to make your point,. With. What Does Business Studies Paper 2 Consist Of.
From www.youtube.com
2023 FINAL EXAMS BUSINESS STUDIES PAPER 2 GRADE 12 FINAL REVISION What Does Business Studies Paper 2 Consist Of The 12 marker is always 3 different methods/ options the business has and a recommendation. The essay consists of three parts: Paper 2 question guides | get top grades in cambridge business exams at igcse & a level. Instead of four small “mini” case studies, you will receive a separate booklet with a longer case study about one fictional business.. What Does Business Studies Paper 2 Consist Of.
From www.youtube.com
10 NOVEMBER 2023 14001530 BUSINESS STUDIES PAPER 2 GRADE 12 YouTube What Does Business Studies Paper 2 Consist Of Cambridge igcse business studies (0450) the cambridge igcse business studies syllabus develops learners' understanding of. Paper 2 has less focus on assessing knowledge and has a higher allocation of marks for analysis and evaluation. The essay consists of three parts: The 12 marker is always 3 different methods/ options the business has and a recommendation. Prepare to answer a 12. What Does Business Studies Paper 2 Consist Of.
From www.kenyaplex.com
Form 4 Business Studies Paper 2 End Term 1 Examination 2023 1521 What Does Business Studies Paper 2 Consist Of • knowledge of new technology •. Cambridge igcse business studies is accepted by universities and employers as proof of an understanding of business concepts and. For each method you want to make your point,. Start with the word “introduction” as a heading. Prepare to answer a 12 mark question. Paper 2 has less focus on assessing knowledge and has a. What Does Business Studies Paper 2 Consist Of.
From www.youtube.com
BUSINESS STUDIES PAPER 2 GRADE 12 FINAL REVISION 2023 FINAL EXAMS What Does Business Studies Paper 2 Consist Of With 12 mark questions application is absolutely crucial. For each method you want to make your point,. Paper 2 question guides | get top grades in cambridge business exams at igcse & a level. Instead of four small “mini” case studies, you will receive a separate booklet with a longer case study about one fictional business. Start with the word. What Does Business Studies Paper 2 Consist Of.
From www.youtube.com
KCSE 2020 BUSINESS STUDY PAPER 2 KNEC marking scheme YouTube What Does Business Studies Paper 2 Consist Of Paper 2 question guides | get top grades in cambridge business exams at igcse & a level. Start with the word “introduction” as a heading. Cambridge igcse business studies is accepted by universities and employers as proof of an understanding of business concepts and. For each method you want to make your point,. Cambridge igcse business studies (0450) the cambridge. What Does Business Studies Paper 2 Consist Of.
From www.youtube.com
Business Studies Exam Guide Paper 2 YouTube What Does Business Studies Paper 2 Consist Of Paper 2 has less focus on assessing knowledge and has a higher allocation of marks for analysis and evaluation. Cambridge igcse business studies (0450) the cambridge igcse business studies syllabus develops learners' understanding of. • knowledge of new technology •. Paper 2 question guides | get top grades in cambridge business exams at igcse & a level. Instead of four. What Does Business Studies Paper 2 Consist Of.
From kitaabnow.com
O Level Business Studies Paper 2 (Unsolved Yearly S13S23) KitaabNow What Does Business Studies Paper 2 Consist Of Paper 2 question guides | get top grades in cambridge business exams at igcse & a level. Cambridge igcse business studies (0450) the cambridge igcse business studies syllabus develops learners' understanding of. Paper 2 has less focus on assessing knowledge and has a higher allocation of marks for analysis and evaluation. Start with the word “introduction” as a heading. The. What Does Business Studies Paper 2 Consist Of.
From studentsresource.net
IGCSE Business Studies 0450 Paper 2 Yearly 20192024 Ring Bind What Does Business Studies Paper 2 Consist Of With 12 mark questions application is absolutely crucial. The 12 marker is always 3 different methods/ options the business has and a recommendation. • knowledge of new technology •. Cambridge igcse business studies (0450) the cambridge igcse business studies syllabus develops learners' understanding of. Cambridge igcse business studies is accepted by universities and employers as proof of an understanding of. What Does Business Studies Paper 2 Consist Of.
From www.studocu.com
Business Studies Paper 2 Marking Scheme KCSE 2020 Teacher Business What Does Business Studies Paper 2 Consist Of The essay consists of three parts: Prepare to answer a 12 mark question. With 12 mark questions application is absolutely crucial. Instead of four small “mini” case studies, you will receive a separate booklet with a longer case study about one fictional business. Paper 2 has less focus on assessing knowledge and has a higher allocation of marks for analysis. What Does Business Studies Paper 2 Consist Of.
From kitaabnow.com
A Level Business Studies Paper 2 (Unsolved Yearly S13S23) KitaabNow What Does Business Studies Paper 2 Consist Of With 12 mark questions application is absolutely crucial. Prepare to answer a 12 mark question. Paper 2 has less focus on assessing knowledge and has a higher allocation of marks for analysis and evaluation. Start with the word “introduction” as a heading. Instead of four small “mini” case studies, you will receive a separate booklet with a longer case study. What Does Business Studies Paper 2 Consist Of.
From www.youtube.com
IGCSE Business Studies Paper 2 Essentials Updated Nov 2021 [Cambridge What Does Business Studies Paper 2 Consist Of The essay consists of three parts: Cambridge igcse business studies (0450) the cambridge igcse business studies syllabus develops learners' understanding of. The 12 marker is always 3 different methods/ options the business has and a recommendation. Cambridge igcse business studies is accepted by universities and employers as proof of an understanding of business concepts and. • knowledge of new technology. What Does Business Studies Paper 2 Consist Of.
From www.bstudies.co.za
Download Business Studies Paper 2 Core Notes & Topics│Gr12 What Does Business Studies Paper 2 Consist Of Start with the word “introduction” as a heading. The 12 marker is always 3 different methods/ options the business has and a recommendation. For each method you want to make your point,. • knowledge of new technology •. (b) explain why the following three factors are important to bethany when choosing a business partner: The essay consists of three parts:. What Does Business Studies Paper 2 Consist Of.