Excise Tax Augusta Maine . Enter the msrp digits, year, plate. Calculate the excise tax and registration fees for new or used vehicles in maine based on the msrp or purchase price. Learn how excise tax is calculated and paid for different types of vehicles and aircraft registered in maine. Telephone hours for the compliance. Mrs' facilities at 51 commerce drive in augusta are available to the public for purposes of accepting tax payments. The bureau of treasury and tax collection collects property taxes, excise taxes, and registration fees for vehicles, boats, atvs, and snowmobiles in. But how is that money used and why is that tax so high in maine compared to other states? Learn about the annual tax for operating a vehicle or camper trailer in maine, based on the age and msrp of the vehicle. Find out the rates, exemptions, prorations. Maine tax alert is a quarterly publication of maine revenue services that provides updates on tax law changes, events, and resources.
from typofailz.blogspot.com
Learn how excise tax is calculated and paid for different types of vehicles and aircraft registered in maine. Calculate the excise tax and registration fees for new or used vehicles in maine based on the msrp or purchase price. Mrs' facilities at 51 commerce drive in augusta are available to the public for purposes of accepting tax payments. Maine tax alert is a quarterly publication of maine revenue services that provides updates on tax law changes, events, and resources. Find out the rates, exemptions, prorations. Telephone hours for the compliance. Learn about the annual tax for operating a vehicle or camper trailer in maine, based on the age and msrp of the vehicle. The bureau of treasury and tax collection collects property taxes, excise taxes, and registration fees for vehicles, boats, atvs, and snowmobiles in. Enter the msrp digits, year, plate. But how is that money used and why is that tax so high in maine compared to other states?
Jule Conyers
Excise Tax Augusta Maine But how is that money used and why is that tax so high in maine compared to other states? Calculate the excise tax and registration fees for new or used vehicles in maine based on the msrp or purchase price. Find out the rates, exemptions, prorations. Learn how excise tax is calculated and paid for different types of vehicles and aircraft registered in maine. The bureau of treasury and tax collection collects property taxes, excise taxes, and registration fees for vehicles, boats, atvs, and snowmobiles in. But how is that money used and why is that tax so high in maine compared to other states? Learn about the annual tax for operating a vehicle or camper trailer in maine, based on the age and msrp of the vehicle. Telephone hours for the compliance. Maine tax alert is a quarterly publication of maine revenue services that provides updates on tax law changes, events, and resources. Enter the msrp digits, year, plate. Mrs' facilities at 51 commerce drive in augusta are available to the public for purposes of accepting tax payments.
From www.templateroller.com
Maine Excise Tax Report for Brewers of Malt Liquor Fill Out, Sign Excise Tax Augusta Maine Maine tax alert is a quarterly publication of maine revenue services that provides updates on tax law changes, events, and resources. Calculate the excise tax and registration fees for new or used vehicles in maine based on the msrp or purchase price. Learn how excise tax is calculated and paid for different types of vehicles and aircraft registered in maine.. Excise Tax Augusta Maine.
From www.templateroller.com
Maine Wholesaler Excise Tax Monthly Summary Report Bonded Fill Out Excise Tax Augusta Maine Learn how excise tax is calculated and paid for different types of vehicles and aircraft registered in maine. Find out the rates, exemptions, prorations. Learn about the annual tax for operating a vehicle or camper trailer in maine, based on the age and msrp of the vehicle. Enter the msrp digits, year, plate. Calculate the excise tax and registration fees. Excise Tax Augusta Maine.
From www.templateroller.com
Maine Excise Tax Report for Vintners of Table Wine Download Fillable Excise Tax Augusta Maine Mrs' facilities at 51 commerce drive in augusta are available to the public for purposes of accepting tax payments. Maine tax alert is a quarterly publication of maine revenue services that provides updates on tax law changes, events, and resources. But how is that money used and why is that tax so high in maine compared to other states? Learn. Excise Tax Augusta Maine.
From blog.taxexcise.com
IRSApproved Efiling services for federal excise taxes online Excise Tax Augusta Maine But how is that money used and why is that tax so high in maine compared to other states? Calculate the excise tax and registration fees for new or used vehicles in maine based on the msrp or purchase price. Learn about the annual tax for operating a vehicle or camper trailer in maine, based on the age and msrp. Excise Tax Augusta Maine.
From taxfoundation.org
How Much Does Your State Collect in Excise Taxes? Tax Foundation Excise Tax Augusta Maine Enter the msrp digits, year, plate. Maine tax alert is a quarterly publication of maine revenue services that provides updates on tax law changes, events, and resources. But how is that money used and why is that tax so high in maine compared to other states? Learn about the annual tax for operating a vehicle or camper trailer in maine,. Excise Tax Augusta Maine.
From blog.taxexcise.com
Advantages of Prefiling Form 2290 on Excise Tax Augusta Maine Maine tax alert is a quarterly publication of maine revenue services that provides updates on tax law changes, events, and resources. Enter the msrp digits, year, plate. Learn how excise tax is calculated and paid for different types of vehicles and aircraft registered in maine. The bureau of treasury and tax collection collects property taxes, excise taxes, and registration fees. Excise Tax Augusta Maine.
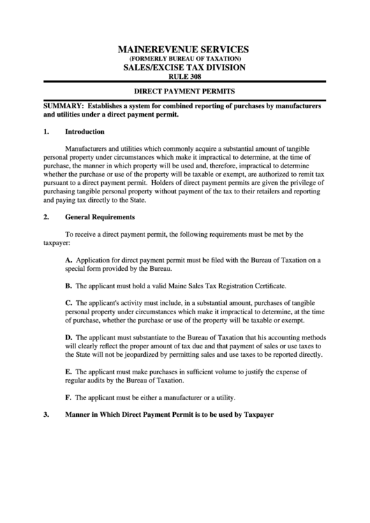
From www.formsbank.com
Direct Payment Permits Maine Sales/excise Tax Division printable pdf Excise Tax Augusta Maine Enter the msrp digits, year, plate. Mrs' facilities at 51 commerce drive in augusta are available to the public for purposes of accepting tax payments. The bureau of treasury and tax collection collects property taxes, excise taxes, and registration fees for vehicles, boats, atvs, and snowmobiles in. Maine tax alert is a quarterly publication of maine revenue services that provides. Excise Tax Augusta Maine.
From www.investopedia.com
Excise Tax What It Is and How It Works, With Examples Excise Tax Augusta Maine Find out the rates, exemptions, prorations. But how is that money used and why is that tax so high in maine compared to other states? Calculate the excise tax and registration fees for new or used vehicles in maine based on the msrp or purchase price. Learn about the annual tax for operating a vehicle or camper trailer in maine,. Excise Tax Augusta Maine.
From blaytonhayder.blogspot.com
25+ Maine Excise Tax Calculator BlaytonHayder Excise Tax Augusta Maine Find out the rates, exemptions, prorations. Learn how excise tax is calculated and paid for different types of vehicles and aircraft registered in maine. But how is that money used and why is that tax so high in maine compared to other states? Telephone hours for the compliance. Maine tax alert is a quarterly publication of maine revenue services that. Excise Tax Augusta Maine.
From itep.org
Maine Who Pays? 7th Edition ITEP Excise Tax Augusta Maine Learn about the annual tax for operating a vehicle or camper trailer in maine, based on the age and msrp of the vehicle. Enter the msrp digits, year, plate. Calculate the excise tax and registration fees for new or used vehicles in maine based on the msrp or purchase price. Mrs' facilities at 51 commerce drive in augusta are available. Excise Tax Augusta Maine.
From blog.taxexcise.com
The deadline for efile form 2290 is just around the corner! Efile Excise Tax Augusta Maine Telephone hours for the compliance. The bureau of treasury and tax collection collects property taxes, excise taxes, and registration fees for vehicles, boats, atvs, and snowmobiles in. But how is that money used and why is that tax so high in maine compared to other states? Enter the msrp digits, year, plate. Learn about the annual tax for operating a. Excise Tax Augusta Maine.
From www.templateroller.com
Maine Boat Excise Tax Exemption Download Printable PDF Templateroller Excise Tax Augusta Maine Maine tax alert is a quarterly publication of maine revenue services that provides updates on tax law changes, events, and resources. The bureau of treasury and tax collection collects property taxes, excise taxes, and registration fees for vehicles, boats, atvs, and snowmobiles in. Find out the rates, exemptions, prorations. Learn about the annual tax for operating a vehicle or camper. Excise Tax Augusta Maine.
From taxfoundation.org
Weekly Map State Spirits Excise Tax Rates Excise Tax Augusta Maine Telephone hours for the compliance. Maine tax alert is a quarterly publication of maine revenue services that provides updates on tax law changes, events, and resources. But how is that money used and why is that tax so high in maine compared to other states? Enter the msrp digits, year, plate. The bureau of treasury and tax collection collects property. Excise Tax Augusta Maine.
From www.formsbank.com
Form StP69 Resale Certificate Maine Revenue Services, Sales Excise Tax Augusta Maine Enter the msrp digits, year, plate. Mrs' facilities at 51 commerce drive in augusta are available to the public for purposes of accepting tax payments. But how is that money used and why is that tax so high in maine compared to other states? Maine tax alert is a quarterly publication of maine revenue services that provides updates on tax. Excise Tax Augusta Maine.
From www.templateroller.com
Maine Boat Excise Tax Exemption Download Fillable PDF 2020 — 2024 Excise Tax Augusta Maine Maine tax alert is a quarterly publication of maine revenue services that provides updates on tax law changes, events, and resources. Find out the rates, exemptions, prorations. The bureau of treasury and tax collection collects property taxes, excise taxes, and registration fees for vehicles, boats, atvs, and snowmobiles in. Learn how excise tax is calculated and paid for different types. Excise Tax Augusta Maine.
From www.linkedin.com
Accrual of Financial Guarantees for Excise Tax on Designated Zones Excise Tax Augusta Maine Calculate the excise tax and registration fees for new or used vehicles in maine based on the msrp or purchase price. The bureau of treasury and tax collection collects property taxes, excise taxes, and registration fees for vehicles, boats, atvs, and snowmobiles in. Maine tax alert is a quarterly publication of maine revenue services that provides updates on tax law. Excise Tax Augusta Maine.
From blog.taxexcise.com
Attractive features of that make your form 2290 efiling Excise Tax Augusta Maine Find out the rates, exemptions, prorations. Mrs' facilities at 51 commerce drive in augusta are available to the public for purposes of accepting tax payments. Telephone hours for the compliance. Enter the msrp digits, year, plate. Learn about the annual tax for operating a vehicle or camper trailer in maine, based on the age and msrp of the vehicle. But. Excise Tax Augusta Maine.
From avalonvapor.com
Federal Excise Tax Avalon Vapor Excise Tax Augusta Maine Enter the msrp digits, year, plate. Learn about the annual tax for operating a vehicle or camper trailer in maine, based on the age and msrp of the vehicle. Find out the rates, exemptions, prorations. Learn how excise tax is calculated and paid for different types of vehicles and aircraft registered in maine. Calculate the excise tax and registration fees. Excise Tax Augusta Maine.
From wgme.com
Maine lawmakers consider bills to change excise tax Excise Tax Augusta Maine Learn about the annual tax for operating a vehicle or camper trailer in maine, based on the age and msrp of the vehicle. The bureau of treasury and tax collection collects property taxes, excise taxes, and registration fees for vehicles, boats, atvs, and snowmobiles in. Enter the msrp digits, year, plate. Mrs' facilities at 51 commerce drive in augusta are. Excise Tax Augusta Maine.
From www.templateroller.com
Form 1120ME Download Fillable PDF or Fill Online Maine Corporate Excise Tax Augusta Maine Mrs' facilities at 51 commerce drive in augusta are available to the public for purposes of accepting tax payments. But how is that money used and why is that tax so high in maine compared to other states? Enter the msrp digits, year, plate. Find out the rates, exemptions, prorations. Calculate the excise tax and registration fees for new or. Excise Tax Augusta Maine.
From wgme.com
Maine legislators look to lower excise tax Excise Tax Augusta Maine Learn about the annual tax for operating a vehicle or camper trailer in maine, based on the age and msrp of the vehicle. Maine tax alert is a quarterly publication of maine revenue services that provides updates on tax law changes, events, and resources. Calculate the excise tax and registration fees for new or used vehicles in maine based on. Excise Tax Augusta Maine.
From www.templateroller.com
Maine Direct Shipper Table Wine Excise Tax Report Fill Out, Sign Excise Tax Augusta Maine Telephone hours for the compliance. Find out the rates, exemptions, prorations. The bureau of treasury and tax collection collects property taxes, excise taxes, and registration fees for vehicles, boats, atvs, and snowmobiles in. Learn how excise tax is calculated and paid for different types of vehicles and aircraft registered in maine. Learn about the annual tax for operating a vehicle. Excise Tax Augusta Maine.
From hassandunne.blogspot.com
maine excise tax calculator Hassan Dunne Excise Tax Augusta Maine The bureau of treasury and tax collection collects property taxes, excise taxes, and registration fees for vehicles, boats, atvs, and snowmobiles in. Enter the msrp digits, year, plate. Calculate the excise tax and registration fees for new or used vehicles in maine based on the msrp or purchase price. Telephone hours for the compliance. Maine tax alert is a quarterly. Excise Tax Augusta Maine.
From typofailz.blogspot.com
Jule Conyers Excise Tax Augusta Maine Enter the msrp digits, year, plate. Find out the rates, exemptions, prorations. Mrs' facilities at 51 commerce drive in augusta are available to the public for purposes of accepting tax payments. Learn how excise tax is calculated and paid for different types of vehicles and aircraft registered in maine. Learn about the annual tax for operating a vehicle or camper. Excise Tax Augusta Maine.
From www.templateroller.com
Maine Boat Excise Tax Exemption Download Fillable PDF 2020 — 2024 Excise Tax Augusta Maine Mrs' facilities at 51 commerce drive in augusta are available to the public for purposes of accepting tax payments. Learn about the annual tax for operating a vehicle or camper trailer in maine, based on the age and msrp of the vehicle. Find out the rates, exemptions, prorations. Calculate the excise tax and registration fees for new or used vehicles. Excise Tax Augusta Maine.
From www.templateroller.com
Maine Marijuana Excise Tax Return Download Fillable PDF Templateroller Excise Tax Augusta Maine The bureau of treasury and tax collection collects property taxes, excise taxes, and registration fees for vehicles, boats, atvs, and snowmobiles in. Telephone hours for the compliance. Find out the rates, exemptions, prorations. Calculate the excise tax and registration fees for new or used vehicles in maine based on the msrp or purchase price. Learn how excise tax is calculated. Excise Tax Augusta Maine.
From blog.taxexcise.com
What’s new in the Federal Excise Tax Form 720? IRS Excise Tax Augusta Maine But how is that money used and why is that tax so high in maine compared to other states? Calculate the excise tax and registration fees for new or used vehicles in maine based on the msrp or purchase price. Maine tax alert is a quarterly publication of maine revenue services that provides updates on tax law changes, events, and. Excise Tax Augusta Maine.
From www.templateroller.com
Maine Marijuana Excise Tax Return Download Fillable PDF Templateroller Excise Tax Augusta Maine Calculate the excise tax and registration fees for new or used vehicles in maine based on the msrp or purchase price. Mrs' facilities at 51 commerce drive in augusta are available to the public for purposes of accepting tax payments. Learn how excise tax is calculated and paid for different types of vehicles and aircraft registered in maine. But how. Excise Tax Augusta Maine.
From www.formsbank.com
Sales/excise Tax Division Instructional Bulletin No. 17 Maine Revenue Excise Tax Augusta Maine Telephone hours for the compliance. Find out the rates, exemptions, prorations. But how is that money used and why is that tax so high in maine compared to other states? Maine tax alert is a quarterly publication of maine revenue services that provides updates on tax law changes, events, and resources. Learn how excise tax is calculated and paid for. Excise Tax Augusta Maine.
From www.templateroller.com
Maine Excise Tax Report for Vintners of Sparkling and Fortified Wine Excise Tax Augusta Maine The bureau of treasury and tax collection collects property taxes, excise taxes, and registration fees for vehicles, boats, atvs, and snowmobiles in. Learn how excise tax is calculated and paid for different types of vehicles and aircraft registered in maine. But how is that money used and why is that tax so high in maine compared to other states? Mrs'. Excise Tax Augusta Maine.
From wgme.com
ITeam Maine excise tax among the highest in US; how is that money spent? Excise Tax Augusta Maine Mrs' facilities at 51 commerce drive in augusta are available to the public for purposes of accepting tax payments. Find out the rates, exemptions, prorations. Learn how excise tax is calculated and paid for different types of vehicles and aircraft registered in maine. Telephone hours for the compliance. The bureau of treasury and tax collection collects property taxes, excise taxes,. Excise Tax Augusta Maine.
From www.centralmaine.com
April 1, 1975 Waterville man fired from Augusta Mental Health Excise Tax Augusta Maine Calculate the excise tax and registration fees for new or used vehicles in maine based on the msrp or purchase price. The bureau of treasury and tax collection collects property taxes, excise taxes, and registration fees for vehicles, boats, atvs, and snowmobiles in. Learn about the annual tax for operating a vehicle or camper trailer in maine, based on the. Excise Tax Augusta Maine.
From www.templateroller.com
Maine Excise Tax Report for Producers of Hard Cider Fill Out, Sign Excise Tax Augusta Maine Enter the msrp digits, year, plate. Find out the rates, exemptions, prorations. Calculate the excise tax and registration fees for new or used vehicles in maine based on the msrp or purchase price. The bureau of treasury and tax collection collects property taxes, excise taxes, and registration fees for vehicles, boats, atvs, and snowmobiles in. Maine tax alert is a. Excise Tax Augusta Maine.
From mobelunddekoration.blogspot.com
Retta Allred Excise Tax Augusta Maine Enter the msrp digits, year, plate. Learn how excise tax is calculated and paid for different types of vehicles and aircraft registered in maine. Learn about the annual tax for operating a vehicle or camper trailer in maine, based on the age and msrp of the vehicle. The bureau of treasury and tax collection collects property taxes, excise taxes, and. Excise Tax Augusta Maine.
From blog.taxexcise.com
Form 720 for the fourth quarter is due by the end of this month Excise Tax Augusta Maine Mrs' facilities at 51 commerce drive in augusta are available to the public for purposes of accepting tax payments. Learn how excise tax is calculated and paid for different types of vehicles and aircraft registered in maine. Learn about the annual tax for operating a vehicle or camper trailer in maine, based on the age and msrp of the vehicle.. Excise Tax Augusta Maine.