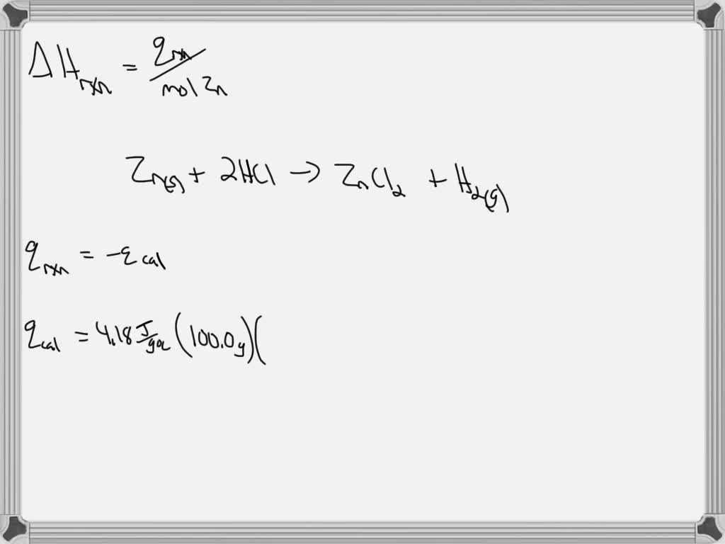
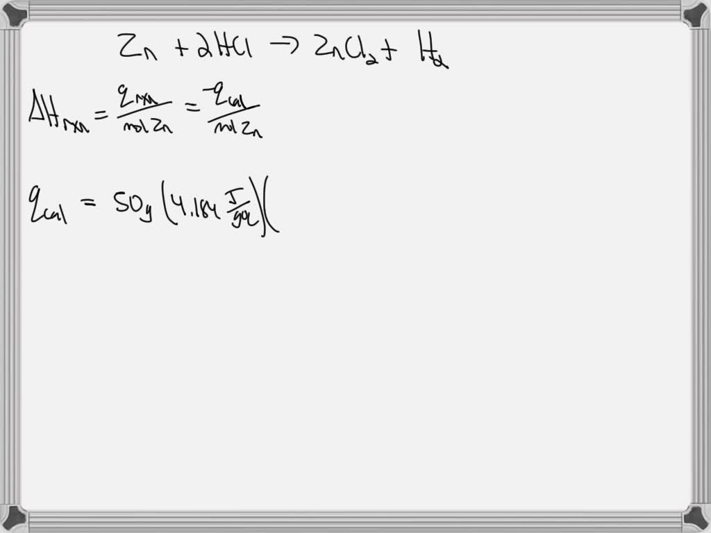
Zinc And Hydrochloric Acid React According To The Following Balanced Equation . Zn (s) + 2hcl (aq) → zncl2 (aq) + h2 (g) a. To balance a chemical equation, enter an equation of a chemical reaction and press the balance button. Zinc metal reacts with hydrochloric acid according to the following balanced equation. Zinc metal reacts with hydrochloric acid according to the following balanced equation: Zn (s) + 2hcl (aq) → zncl2 (aq) + h2 (g) when 0.108 g of zn (s) is combined with enough hcl to. The balanced equation will appear. Zinc metal reacts with hydrochloric acid according to the following balanced equation. Zinc metal reacts with hydrochloric acid according to the balanced equation: Zinc and hydrochloric acid react according to the following balanced equation: Zn (s) + 2 hcl (aq)¡zncl2 (aq) + h2 (g) when 0.103 g of zn (s) is combined with enough hcl to make 50.0 ml of. Zn + hcl = zncl2 + h2 is a single displacement (substitution) reaction where one mole of solid zinc [zn] and two moles of aqueous hydrogen.
from askfilo.com
Zinc metal reacts with hydrochloric acid according to the following balanced equation. Zn + hcl = zncl2 + h2 is a single displacement (substitution) reaction where one mole of solid zinc [zn] and two moles of aqueous hydrogen. Zinc metal reacts with hydrochloric acid according to the balanced equation: Zinc metal reacts with hydrochloric acid according to the following balanced equation: Zn (s) + 2 hcl (aq)¡zncl2 (aq) + h2 (g) when 0.103 g of zn (s) is combined with enough hcl to make 50.0 ml of. Zinc and hydrochloric acid react according to the following balanced equation: To balance a chemical equation, enter an equation of a chemical reaction and press the balance button. Zinc metal reacts with hydrochloric acid according to the following balanced equation. The balanced equation will appear. Zn (s) + 2hcl (aq) → zncl2 (aq) + h2 (g) when 0.108 g of zn (s) is combined with enough hcl to.
Zinc metal reacts with hydrochloric acid by the following reaction Zn(s)..
Zinc And Hydrochloric Acid React According To The Following Balanced Equation Zn (s) + 2hcl (aq) → zncl2 (aq) + h2 (g) a. The balanced equation will appear. Zn (s) + 2hcl (aq) → zncl2 (aq) + h2 (g) when 0.108 g of zn (s) is combined with enough hcl to. To balance a chemical equation, enter an equation of a chemical reaction and press the balance button. Zn + hcl = zncl2 + h2 is a single displacement (substitution) reaction where one mole of solid zinc [zn] and two moles of aqueous hydrogen. Zn (s) + 2hcl (aq) → zncl2 (aq) + h2 (g) a. Zn (s) + 2 hcl (aq)¡zncl2 (aq) + h2 (g) when 0.103 g of zn (s) is combined with enough hcl to make 50.0 ml of. Zinc and hydrochloric acid react according to the following balanced equation: Zinc metal reacts with hydrochloric acid according to the following balanced equation. Zinc metal reacts with hydrochloric acid according to the following balanced equation: Zinc metal reacts with hydrochloric acid according to the following balanced equation. Zinc metal reacts with hydrochloric acid according to the balanced equation:
From www.nagwa.com
Question Video Describing the Correct Symbol Equation for the Reaction Zinc And Hydrochloric Acid React According To The Following Balanced Equation To balance a chemical equation, enter an equation of a chemical reaction and press the balance button. Zinc metal reacts with hydrochloric acid according to the following balanced equation. The balanced equation will appear. Zinc and hydrochloric acid react according to the following balanced equation: Zn (s) + 2hcl (aq) → zncl2 (aq) + h2 (g) a. Zn (s) +. Zinc And Hydrochloric Acid React According To The Following Balanced Equation.
From www.numerade.com
SOLVED Consider the reaction of zinc metal with hydrochloric acid, HCl Zinc And Hydrochloric Acid React According To The Following Balanced Equation To balance a chemical equation, enter an equation of a chemical reaction and press the balance button. Zn + hcl = zncl2 + h2 is a single displacement (substitution) reaction where one mole of solid zinc [zn] and two moles of aqueous hydrogen. Zn (s) + 2hcl (aq) → zncl2 (aq) + h2 (g) when 0.108 g of zn (s). Zinc And Hydrochloric Acid React According To The Following Balanced Equation.
From www.gauthmath.com
Solved Zinc metal reacts with hydrochloric acid according to the Zinc And Hydrochloric Acid React According To The Following Balanced Equation Zinc metal reacts with hydrochloric acid according to the following balanced equation. Zn (s) + 2hcl (aq) → zncl2 (aq) + h2 (g) a. Zinc metal reacts with hydrochloric acid according to the following balanced equation. Zn + hcl = zncl2 + h2 is a single displacement (substitution) reaction where one mole of solid zinc [zn] and two moles of. Zinc And Hydrochloric Acid React According To The Following Balanced Equation.
From www.chegg.com
Solved Zinc reacts with hydrochloric acid according to the Zinc And Hydrochloric Acid React According To The Following Balanced Equation Zn (s) + 2hcl (aq) → zncl2 (aq) + h2 (g) when 0.108 g of zn (s) is combined with enough hcl to. The balanced equation will appear. Zn + hcl = zncl2 + h2 is a single displacement (substitution) reaction where one mole of solid zinc [zn] and two moles of aqueous hydrogen. Zinc metal reacts with hydrochloric acid. Zinc And Hydrochloric Acid React According To The Following Balanced Equation.
From www.numerade.com
SOLVED 8 pts Question 7 with hydrochloric acid according to the Zinc And Hydrochloric Acid React According To The Following Balanced Equation Zn (s) + 2 hcl (aq)¡zncl2 (aq) + h2 (g) when 0.103 g of zn (s) is combined with enough hcl to make 50.0 ml of. Zinc metal reacts with hydrochloric acid according to the following balanced equation: Zinc and hydrochloric acid react according to the following balanced equation: Zn + hcl = zncl2 + h2 is a single displacement. Zinc And Hydrochloric Acid React According To The Following Balanced Equation.
From wizedu.com
Zinc metal reacts with hydrochloric acid according to the following Zinc And Hydrochloric Acid React According To The Following Balanced Equation Zn (s) + 2 hcl (aq)¡zncl2 (aq) + h2 (g) when 0.103 g of zn (s) is combined with enough hcl to make 50.0 ml of. Zinc metal reacts with hydrochloric acid according to the balanced equation: To balance a chemical equation, enter an equation of a chemical reaction and press the balance button. Zinc metal reacts with hydrochloric acid. Zinc And Hydrochloric Acid React According To The Following Balanced Equation.
From www.toppr.com
Zinc and hydrochloric acid react according to the reaction Zn(s Zinc And Hydrochloric Acid React According To The Following Balanced Equation Zn (s) + 2 hcl (aq)¡zncl2 (aq) + h2 (g) when 0.103 g of zn (s) is combined with enough hcl to make 50.0 ml of. Zinc and hydrochloric acid react according to the following balanced equation: Zinc metal reacts with hydrochloric acid according to the following balanced equation. Zinc metal reacts with hydrochloric acid according to the following balanced. Zinc And Hydrochloric Acid React According To The Following Balanced Equation.
From www.numerade.com
SOLVED Zinc metal reacts with hydrochloric acid according to the Zinc And Hydrochloric Acid React According To The Following Balanced Equation Zinc metal reacts with hydrochloric acid according to the following balanced equation: Zn + hcl = zncl2 + h2 is a single displacement (substitution) reaction where one mole of solid zinc [zn] and two moles of aqueous hydrogen. Zinc metal reacts with hydrochloric acid according to the following balanced equation. Zinc metal reacts with hydrochloric acid according to the balanced. Zinc And Hydrochloric Acid React According To The Following Balanced Equation.
From www.chegg.com
Solved 1. Zinc metal reacts with hydrochloric acid according Zinc And Hydrochloric Acid React According To The Following Balanced Equation Zinc metal reacts with hydrochloric acid according to the balanced equation: Zn + hcl = zncl2 + h2 is a single displacement (substitution) reaction where one mole of solid zinc [zn] and two moles of aqueous hydrogen. The balanced equation will appear. To balance a chemical equation, enter an equation of a chemical reaction and press the balance button. Zinc. Zinc And Hydrochloric Acid React According To The Following Balanced Equation.
From warreninstitute.org
Unlock The POWER Of Chemical Reaction Zn + HCl To Zinc + Hydrochloric Acid Zinc And Hydrochloric Acid React According To The Following Balanced Equation Zinc metal reacts with hydrochloric acid according to the following balanced equation. Zn (s) + 2 hcl (aq)¡zncl2 (aq) + h2 (g) when 0.103 g of zn (s) is combined with enough hcl to make 50.0 ml of. Zn (s) + 2hcl (aq) → zncl2 (aq) + h2 (g) a. To balance a chemical equation, enter an equation of a. Zinc And Hydrochloric Acid React According To The Following Balanced Equation.
From www.numerade.com
SOLVED Chem IA review Zinc metal reacts with hydrochloric acid Zinc And Hydrochloric Acid React According To The Following Balanced Equation Zinc metal reacts with hydrochloric acid according to the following balanced equation: Zinc metal reacts with hydrochloric acid according to the following balanced equation. The balanced equation will appear. Zn + hcl = zncl2 + h2 is a single displacement (substitution) reaction where one mole of solid zinc [zn] and two moles of aqueous hydrogen. Zn (s) + 2hcl (aq). Zinc And Hydrochloric Acid React According To The Following Balanced Equation.
From www.transtutors.com
(Solved) Zinc Metal Reacts With Hydrochloric Acid According To The Zinc And Hydrochloric Acid React According To The Following Balanced Equation Zinc and hydrochloric acid react according to the following balanced equation: Zinc metal reacts with hydrochloric acid according to the following balanced equation: To balance a chemical equation, enter an equation of a chemical reaction and press the balance button. Zinc metal reacts with hydrochloric acid according to the following balanced equation. Zn (s) + 2hcl (aq) → zncl2 (aq). Zinc And Hydrochloric Acid React According To The Following Balanced Equation.
From www.numerade.com
In this problem, zinc reacts with hydrochloric acid to make zinc Zinc And Hydrochloric Acid React According To The Following Balanced Equation Zinc metal reacts with hydrochloric acid according to the following balanced equation. Zinc metal reacts with hydrochloric acid according to the balanced equation: Zn + hcl = zncl2 + h2 is a single displacement (substitution) reaction where one mole of solid zinc [zn] and two moles of aqueous hydrogen. Zn (s) + 2hcl (aq) → zncl2 (aq) + h2 (g). Zinc And Hydrochloric Acid React According To The Following Balanced Equation.
From www.numerade.com
SOLVED A 5 gram sample of zinc is added to hydrochloric acid. The Zinc And Hydrochloric Acid React According To The Following Balanced Equation Zinc metal reacts with hydrochloric acid according to the balanced equation: Zn + hcl = zncl2 + h2 is a single displacement (substitution) reaction where one mole of solid zinc [zn] and two moles of aqueous hydrogen. Zinc and hydrochloric acid react according to the following balanced equation: To balance a chemical equation, enter an equation of a chemical reaction. Zinc And Hydrochloric Acid React According To The Following Balanced Equation.
From www.bartleby.com
Answered Zinc metal reacts with hydrochloric… bartleby Zinc And Hydrochloric Acid React According To The Following Balanced Equation Zinc metal reacts with hydrochloric acid according to the balanced equation: Zinc metal reacts with hydrochloric acid according to the following balanced equation. Zinc metal reacts with hydrochloric acid according to the following balanced equation. Zn (s) + 2hcl (aq) → zncl2 (aq) + h2 (g) when 0.108 g of zn (s) is combined with enough hcl to. To balance. Zinc And Hydrochloric Acid React According To The Following Balanced Equation.
From www.chegg.com
Solved Zinc reacts with hydrochloric acid according to the Zinc And Hydrochloric Acid React According To The Following Balanced Equation To balance a chemical equation, enter an equation of a chemical reaction and press the balance button. Zn (s) + 2hcl (aq) → zncl2 (aq) + h2 (g) a. Zinc metal reacts with hydrochloric acid according to the following balanced equation: Zinc metal reacts with hydrochloric acid according to the balanced equation: The balanced equation will appear. Zn (s) +. Zinc And Hydrochloric Acid React According To The Following Balanced Equation.
From shotprofessional22.gitlab.io
Divine Zinc Plus Hydrochloric Acid Balanced Equation Different Formulas Zinc And Hydrochloric Acid React According To The Following Balanced Equation Zinc metal reacts with hydrochloric acid according to the following balanced equation. Zn + hcl = zncl2 + h2 is a single displacement (substitution) reaction where one mole of solid zinc [zn] and two moles of aqueous hydrogen. To balance a chemical equation, enter an equation of a chemical reaction and press the balance button. Zinc and hydrochloric acid react. Zinc And Hydrochloric Acid React According To The Following Balanced Equation.
From www.toppr.com
Zinc and hydrochloric acid react according to equation Zn(s) + 2HCl(aq Zinc And Hydrochloric Acid React According To The Following Balanced Equation Zn (s) + 2 hcl (aq)¡zncl2 (aq) + h2 (g) when 0.103 g of zn (s) is combined with enough hcl to make 50.0 ml of. Zn (s) + 2hcl (aq) → zncl2 (aq) + h2 (g) a. Zinc metal reacts with hydrochloric acid according to the following balanced equation: The balanced equation will appear. Zinc metal reacts with hydrochloric. Zinc And Hydrochloric Acid React According To The Following Balanced Equation.
From www.numerade.com
SOLVED Zinc reacts with hydrochloric acid according to the reaction Zinc And Hydrochloric Acid React According To The Following Balanced Equation Zinc metal reacts with hydrochloric acid according to the following balanced equation: To balance a chemical equation, enter an equation of a chemical reaction and press the balance button. Zn (s) + 2hcl (aq) → zncl2 (aq) + h2 (g) a. Zinc metal reacts with hydrochloric acid according to the following balanced equation. Zn + hcl = zncl2 + h2. Zinc And Hydrochloric Acid React According To The Following Balanced Equation.
From www.chegg.com
Solved 1. The reaction of zinc metal and hydrochloric acid Zinc And Hydrochloric Acid React According To The Following Balanced Equation Zinc metal reacts with hydrochloric acid according to the balanced equation: Zn (s) + 2hcl (aq) → zncl2 (aq) + h2 (g) a. Zinc metal reacts with hydrochloric acid according to the following balanced equation. To balance a chemical equation, enter an equation of a chemical reaction and press the balance button. Zinc metal reacts with hydrochloric acid according to. Zinc And Hydrochloric Acid React According To The Following Balanced Equation.
From www.numerade.com
SOLVED Similar to magnesium, zinc also reacts with hydrochloric acid Zinc And Hydrochloric Acid React According To The Following Balanced Equation Zinc metal reacts with hydrochloric acid according to the balanced equation: To balance a chemical equation, enter an equation of a chemical reaction and press the balance button. Zinc and hydrochloric acid react according to the following balanced equation: Zn (s) + 2 hcl (aq)¡zncl2 (aq) + h2 (g) when 0.103 g of zn (s) is combined with enough hcl. Zinc And Hydrochloric Acid React According To The Following Balanced Equation.
From questions.kunduz.com
Zinc reacts with hydrochloric acid accord... Physical Chemistry Zinc And Hydrochloric Acid React According To The Following Balanced Equation Zn + hcl = zncl2 + h2 is a single displacement (substitution) reaction where one mole of solid zinc [zn] and two moles of aqueous hydrogen. Zn (s) + 2hcl (aq) → zncl2 (aq) + h2 (g) when 0.108 g of zn (s) is combined with enough hcl to. Zinc metal reacts with hydrochloric acid according to the balanced equation:. Zinc And Hydrochloric Acid React According To The Following Balanced Equation.
From www.chegg.com
Solved Zinc reacts with hydrochloric acid according to the Zinc And Hydrochloric Acid React According To The Following Balanced Equation Zn (s) + 2 hcl (aq)¡zncl2 (aq) + h2 (g) when 0.103 g of zn (s) is combined with enough hcl to make 50.0 ml of. Zinc metal reacts with hydrochloric acid according to the following balanced equation: The balanced equation will appear. Zinc metal reacts with hydrochloric acid according to the following balanced equation. Zn (s) + 2hcl (aq). Zinc And Hydrochloric Acid React According To The Following Balanced Equation.
From www.solutionspile.com
[Solved] Zinc reacts with hydrochloric acid according to Zinc And Hydrochloric Acid React According To The Following Balanced Equation Zinc metal reacts with hydrochloric acid according to the following balanced equation. Zn (s) + 2hcl (aq) → zncl2 (aq) + h2 (g) when 0.108 g of zn (s) is combined with enough hcl to. The balanced equation will appear. Zn (s) + 2 hcl (aq)¡zncl2 (aq) + h2 (g) when 0.103 g of zn (s) is combined with enough. Zinc And Hydrochloric Acid React According To The Following Balanced Equation.
From www.numerade.com
SOLVED Zinc metal reacts with hydrochloric acid according to the Zinc And Hydrochloric Acid React According To The Following Balanced Equation Zinc metal reacts with hydrochloric acid according to the balanced equation: Zn (s) + 2 hcl (aq)¡zncl2 (aq) + h2 (g) when 0.103 g of zn (s) is combined with enough hcl to make 50.0 ml of. Zn (s) + 2hcl (aq) → zncl2 (aq) + h2 (g) a. Zn + hcl = zncl2 + h2 is a single displacement. Zinc And Hydrochloric Acid React According To The Following Balanced Equation.
From www.numerade.com
SOLVED Zinc metal reacts with hydrochloric acid according to the Zinc And Hydrochloric Acid React According To The Following Balanced Equation Zinc metal reacts with hydrochloric acid according to the following balanced equation: Zn (s) + 2hcl (aq) → zncl2 (aq) + h2 (g) when 0.108 g of zn (s) is combined with enough hcl to. Zinc and hydrochloric acid react according to the following balanced equation: To balance a chemical equation, enter an equation of a chemical reaction and press. Zinc And Hydrochloric Acid React According To The Following Balanced Equation.
From www.numerade.com
SOLVED A 15 g block of zinc is dissolved in 1 M hydrochloric acid (a Zinc And Hydrochloric Acid React According To The Following Balanced Equation To balance a chemical equation, enter an equation of a chemical reaction and press the balance button. Zinc metal reacts with hydrochloric acid according to the balanced equation: Zinc and hydrochloric acid react according to the following balanced equation: Zinc metal reacts with hydrochloric acid according to the following balanced equation. Zn + hcl = zncl2 + h2 is a. Zinc And Hydrochloric Acid React According To The Following Balanced Equation.
From wizedu.com
Zinc metal reacts with hydrochloric acid according to the following Zinc And Hydrochloric Acid React According To The Following Balanced Equation Zinc metal reacts with hydrochloric acid according to the following balanced equation. The balanced equation will appear. Zn (s) + 2hcl (aq) → zncl2 (aq) + h2 (g) a. Zinc metal reacts with hydrochloric acid according to the following balanced equation. To balance a chemical equation, enter an equation of a chemical reaction and press the balance button. Zinc metal. Zinc And Hydrochloric Acid React According To The Following Balanced Equation.
From www.numerade.com
SOLVED Zinc reacts with hydrochloric acid according to the reaction Zinc And Hydrochloric Acid React According To The Following Balanced Equation To balance a chemical equation, enter an equation of a chemical reaction and press the balance button. Zn (s) + 2hcl (aq) → zncl2 (aq) + h2 (g) a. Zn (s) + 2hcl (aq) → zncl2 (aq) + h2 (g) when 0.108 g of zn (s) is combined with enough hcl to. Zinc metal reacts with hydrochloric acid according to. Zinc And Hydrochloric Acid React According To The Following Balanced Equation.
From express.adobe.com
Zinc and Hydrochloric Acid Zinc And Hydrochloric Acid React According To The Following Balanced Equation Zn (s) + 2 hcl (aq)¡zncl2 (aq) + h2 (g) when 0.103 g of zn (s) is combined with enough hcl to make 50.0 ml of. To balance a chemical equation, enter an equation of a chemical reaction and press the balance button. Zn (s) + 2hcl (aq) → zncl2 (aq) + h2 (g) a. Zinc metal reacts with hydrochloric. Zinc And Hydrochloric Acid React According To The Following Balanced Equation.
From www.numerade.com
SOLVEDZinc metal reacts with hydrochloric acid according to the Zinc And Hydrochloric Acid React According To The Following Balanced Equation Zn (s) + 2 hcl (aq)¡zncl2 (aq) + h2 (g) when 0.103 g of zn (s) is combined with enough hcl to make 50.0 ml of. Zn (s) + 2hcl (aq) → zncl2 (aq) + h2 (g) when 0.108 g of zn (s) is combined with enough hcl to. Zn (s) + 2hcl (aq) → zncl2 (aq) + h2 (g). Zinc And Hydrochloric Acid React According To The Following Balanced Equation.
From askfilo.com
Zinc metal reacts with hydrochloric acid by the following reaction Zn(s).. Zinc And Hydrochloric Acid React According To The Following Balanced Equation To balance a chemical equation, enter an equation of a chemical reaction and press the balance button. Zinc metal reacts with hydrochloric acid according to the following balanced equation. Zn + hcl = zncl2 + h2 is a single displacement (substitution) reaction where one mole of solid zinc [zn] and two moles of aqueous hydrogen. Zn (s) + 2hcl (aq). Zinc And Hydrochloric Acid React According To The Following Balanced Equation.
From www.numerade.com
SOLVED Zinc metal reacts with hydrochloric acid according to the Zinc And Hydrochloric Acid React According To The Following Balanced Equation Zinc metal reacts with hydrochloric acid according to the following balanced equation. The balanced equation will appear. Zinc metal reacts with hydrochloric acid according to the balanced equation: Zinc metal reacts with hydrochloric acid according to the following balanced equation. Zn (s) + 2 hcl (aq)¡zncl2 (aq) + h2 (g) when 0.103 g of zn (s) is combined with enough. Zinc And Hydrochloric Acid React According To The Following Balanced Equation.
From www.chegg.com
Solved 4. Zinc and hydrochloric acid react according to the Zinc And Hydrochloric Acid React According To The Following Balanced Equation Zinc and hydrochloric acid react according to the following balanced equation: Zn (s) + 2hcl (aq) → zncl2 (aq) + h2 (g) a. Zinc metal reacts with hydrochloric acid according to the following balanced equation. Zn + hcl = zncl2 + h2 is a single displacement (substitution) reaction where one mole of solid zinc [zn] and two moles of aqueous. Zinc And Hydrochloric Acid React According To The Following Balanced Equation.
From byjus.com
Zinc and hydrochloric acid react according t reaction Zn(s) + 2HCI(aq Zinc And Hydrochloric Acid React According To The Following Balanced Equation Zinc metal reacts with hydrochloric acid according to the balanced equation: Zn (s) + 2hcl (aq) → zncl2 (aq) + h2 (g) when 0.108 g of zn (s) is combined with enough hcl to. The balanced equation will appear. Zinc and hydrochloric acid react according to the following balanced equation: Zinc metal reacts with hydrochloric acid according to the following. Zinc And Hydrochloric Acid React According To The Following Balanced Equation.