Property Lien Search Will County Illinois . Will county supervisor of assessments. Prior year taxes, or “back taxes” refer to taxes that were not paid during the levy year and subsequently sold at the annual tax sale. You may search for property in will county by the name of the current property owner. The will county recorder's office is a repository for all documents recorded in will county since its inception in 1836. We have multiple search capabilities available in will county that increase production speed and provide better service to you, our customers. Search our database of free will county residential property records including deed records, titles, mortgages, sales, transfers & ownership history,. However, you can search our website for the most current assessments using our property search portal, where you can conduct property searches. Type in the name or partial name of a. We welcome users to avail themselves of the information that we are.
from www.signnow.com
The will county recorder's office is a repository for all documents recorded in will county since its inception in 1836. Will county supervisor of assessments. You may search for property in will county by the name of the current property owner. However, you can search our website for the most current assessments using our property search portal, where you can conduct property searches. We have multiple search capabilities available in will county that increase production speed and provide better service to you, our customers. Prior year taxes, or “back taxes” refer to taxes that were not paid during the levy year and subsequently sold at the annual tax sale. Type in the name or partial name of a. Search our database of free will county residential property records including deed records, titles, mortgages, sales, transfers & ownership history,. We welcome users to avail themselves of the information that we are.
Illinois Liens Search Complete with ease airSlate SignNow
Property Lien Search Will County Illinois Type in the name or partial name of a. Will county supervisor of assessments. Search our database of free will county residential property records including deed records, titles, mortgages, sales, transfers & ownership history,. We have multiple search capabilities available in will county that increase production speed and provide better service to you, our customers. We welcome users to avail themselves of the information that we are. Type in the name or partial name of a. However, you can search our website for the most current assessments using our property search portal, where you can conduct property searches. Prior year taxes, or “back taxes” refer to taxes that were not paid during the levy year and subsequently sold at the annual tax sale. The will county recorder's office is a repository for all documents recorded in will county since its inception in 1836. You may search for property in will county by the name of the current property owner.
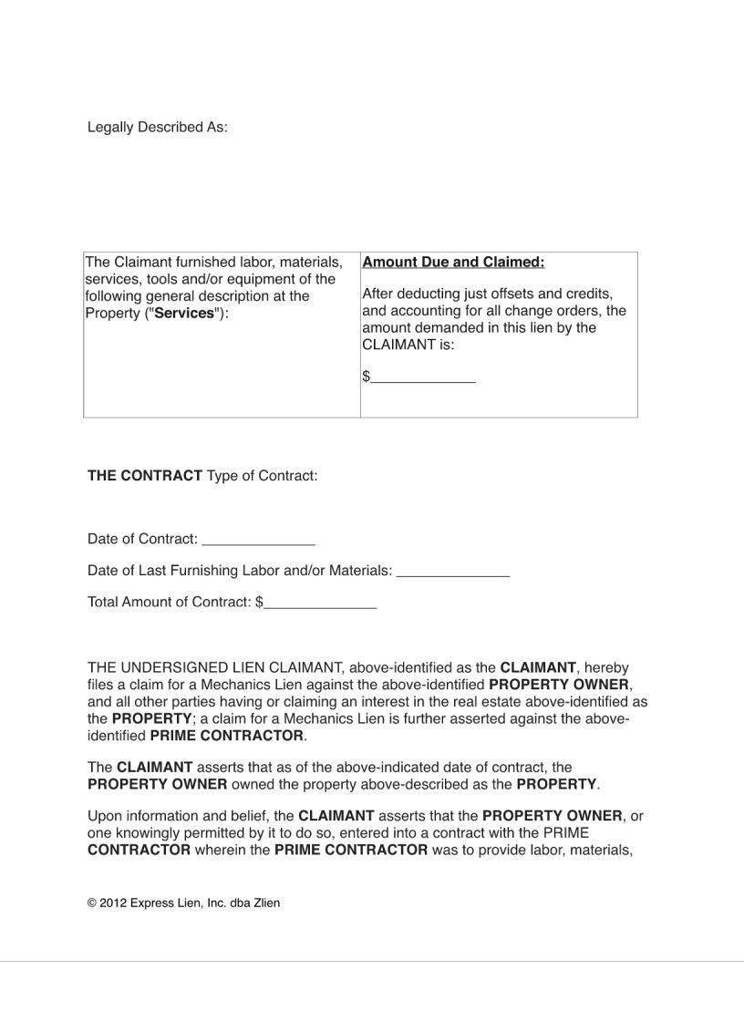
From www.jotform.com
Property Lien Form Sign Templates Jotform Property Lien Search Will County Illinois You may search for property in will county by the name of the current property owner. We have multiple search capabilities available in will county that increase production speed and provide better service to you, our customers. Type in the name or partial name of a. We welcome users to avail themselves of the information that we are. Will county. Property Lien Search Will County Illinois.
From statenislandallcash.com
How To Do A Lien Search On My Property Staten Island All Cash Property Lien Search Will County Illinois Will county supervisor of assessments. Type in the name or partial name of a. However, you can search our website for the most current assessments using our property search portal, where you can conduct property searches. Search our database of free will county residential property records including deed records, titles, mortgages, sales, transfers & ownership history,. We welcome users to. Property Lien Search Will County Illinois.
From www.propertyshark.com
Property Liens Search by Address Takes Less than 5 Minutes Property Lien Search Will County Illinois Prior year taxes, or “back taxes” refer to taxes that were not paid during the levy year and subsequently sold at the annual tax sale. We have multiple search capabilities available in will county that increase production speed and provide better service to you, our customers. You may search for property in will county by the name of the current. Property Lien Search Will County Illinois.
From www.pinterest.com
How To Find Out Where The Property Lines Are For Your House How to Property Lien Search Will County Illinois We have multiple search capabilities available in will county that increase production speed and provide better service to you, our customers. We welcome users to avail themselves of the information that we are. The will county recorder's office is a repository for all documents recorded in will county since its inception in 1836. Search our database of free will county. Property Lien Search Will County Illinois.
From moneyabcs.uta.edu
What is a Property Lien? MoneyABCs Property Lien Search Will County Illinois You may search for property in will county by the name of the current property owner. The will county recorder's office is a repository for all documents recorded in will county since its inception in 1836. We have multiple search capabilities available in will county that increase production speed and provide better service to you, our customers. Search our database. Property Lien Search Will County Illinois.
From www.pdffiller.com
illinois release lien Doc Template pdfFiller Property Lien Search Will County Illinois We welcome users to avail themselves of the information that we are. The will county recorder's office is a repository for all documents recorded in will county since its inception in 1836. Will county supervisor of assessments. We have multiple search capabilities available in will county that increase production speed and provide better service to you, our customers. You may. Property Lien Search Will County Illinois.
From www.essiglaw.com
How to Remove a Property Lien in IL Real Estate Attorney Peoria IL Property Lien Search Will County Illinois However, you can search our website for the most current assessments using our property search portal, where you can conduct property searches. The will county recorder's office is a repository for all documents recorded in will county since its inception in 1836. We welcome users to avail themselves of the information that we are. We have multiple search capabilities available. Property Lien Search Will County Illinois.
From laderdriver.weebly.com
Federal tax lien on foreclosed property laderdriver Property Lien Search Will County Illinois However, you can search our website for the most current assessments using our property search portal, where you can conduct property searches. You may search for property in will county by the name of the current property owner. We welcome users to avail themselves of the information that we are. Will county supervisor of assessments. We have multiple search capabilities. Property Lien Search Will County Illinois.
From formspal.com
Illinois Notice Lien Form ≡ Fill Out Printable PDF Forms Online Property Lien Search Will County Illinois Prior year taxes, or “back taxes” refer to taxes that were not paid during the levy year and subsequently sold at the annual tax sale. Will county supervisor of assessments. You may search for property in will county by the name of the current property owner. Type in the name or partial name of a. Search our database of free. Property Lien Search Will County Illinois.
From raelst.blogspot.com
Real Estate Property Lien Form RAELST Property Lien Search Will County Illinois We have multiple search capabilities available in will county that increase production speed and provide better service to you, our customers. Prior year taxes, or “back taxes” refer to taxes that were not paid during the levy year and subsequently sold at the annual tax sale. Type in the name or partial name of a. The will county recorder's office. Property Lien Search Will County Illinois.
From esign.com
Free IIllnois Mechanic’s Lien Form PDF Word Property Lien Search Will County Illinois Type in the name or partial name of a. However, you can search our website for the most current assessments using our property search portal, where you can conduct property searches. Will county supervisor of assessments. We welcome users to avail themselves of the information that we are. Search our database of free will county residential property records including deed. Property Lien Search Will County Illinois.
From www.signnow.com
Illinois Liens Search Complete with ease airSlate SignNow Property Lien Search Will County Illinois Will county supervisor of assessments. Type in the name or partial name of a. You may search for property in will county by the name of the current property owner. However, you can search our website for the most current assessments using our property search portal, where you can conduct property searches. Search our database of free will county residential. Property Lien Search Will County Illinois.
From www.texaslegalforms.com
Texas Release Of Real Estate Lien Order Real Estate Legal Forms Property Lien Search Will County Illinois You may search for property in will county by the name of the current property owner. Prior year taxes, or “back taxes” refer to taxes that were not paid during the levy year and subsequently sold at the annual tax sale. Search our database of free will county residential property records including deed records, titles, mortgages, sales, transfers & ownership. Property Lien Search Will County Illinois.
From www.uslegalforms.com
Illinois Full Satisfaction and Waiver of Lien by Real Estate Broker Property Lien Search Will County Illinois Type in the name or partial name of a. Will county supervisor of assessments. You may search for property in will county by the name of the current property owner. The will county recorder's office is a repository for all documents recorded in will county since its inception in 1836. We welcome users to avail themselves of the information that. Property Lien Search Will County Illinois.
From www.signnow.com
Claim Lien Property Complete with ease airSlate SignNow Property Lien Search Will County Illinois However, you can search our website for the most current assessments using our property search portal, where you can conduct property searches. Will county supervisor of assessments. The will county recorder's office is a repository for all documents recorded in will county since its inception in 1836. Type in the name or partial name of a. We welcome users to. Property Lien Search Will County Illinois.
From www.pinterest.com
What is a Property Lien and 3 Ways to Conduct a Property Lien Search Property Lien Search Will County Illinois Will county supervisor of assessments. Type in the name or partial name of a. Search our database of free will county residential property records including deed records, titles, mortgages, sales, transfers & ownership history,. However, you can search our website for the most current assessments using our property search portal, where you can conduct property searches. Prior year taxes, or. Property Lien Search Will County Illinois.
From www.uslegalforms.com
Release of Lien for Property Release Lien Property US Legal Forms Property Lien Search Will County Illinois However, you can search our website for the most current assessments using our property search portal, where you can conduct property searches. Prior year taxes, or “back taxes” refer to taxes that were not paid during the levy year and subsequently sold at the annual tax sale. Search our database of free will county residential property records including deed records,. Property Lien Search Will County Illinois.
From formspal.com
Illinois Notice Lien Form ≡ Fill Out Printable PDF Forms Online Property Lien Search Will County Illinois We welcome users to avail themselves of the information that we are. Prior year taxes, or “back taxes” refer to taxes that were not paid during the levy year and subsequently sold at the annual tax sale. Search our database of free will county residential property records including deed records, titles, mortgages, sales, transfers & ownership history,. We have multiple. Property Lien Search Will County Illinois.
From eforms.com
Free Real Estate Lien Release Forms PDF eForms Property Lien Search Will County Illinois Type in the name or partial name of a. The will county recorder's office is a repository for all documents recorded in will county since its inception in 1836. Will county supervisor of assessments. However, you can search our website for the most current assessments using our property search portal, where you can conduct property searches. You may search for. Property Lien Search Will County Illinois.
From loeemswpr.blob.core.windows.net
How Do I Search For A Lien On A Property In Texas at Luis Ryan blog Property Lien Search Will County Illinois We welcome users to avail themselves of the information that we are. The will county recorder's office is a repository for all documents recorded in will county since its inception in 1836. You may search for property in will county by the name of the current property owner. We have multiple search capabilities available in will county that increase production. Property Lien Search Will County Illinois.
From www.localguybuyshouses.com
Can I Sell My Property With a Tax Lien? Sell Your House Fast Property Lien Search Will County Illinois Will county supervisor of assessments. The will county recorder's office is a repository for all documents recorded in will county since its inception in 1836. Type in the name or partial name of a. However, you can search our website for the most current assessments using our property search portal, where you can conduct property searches. Prior year taxes, or. Property Lien Search Will County Illinois.
From www.uslegalforms.com
Release Of Lien Form Illinois 20202022 Fill and Sign Printable Property Lien Search Will County Illinois We have multiple search capabilities available in will county that increase production speed and provide better service to you, our customers. Type in the name or partial name of a. Will county supervisor of assessments. You may search for property in will county by the name of the current property owner. Prior year taxes, or “back taxes” refer to taxes. Property Lien Search Will County Illinois.
From www.lorman.com
Illinois Construction Lien Law Liens on Public Property — White Paper Property Lien Search Will County Illinois The will county recorder's office is a repository for all documents recorded in will county since its inception in 1836. You may search for property in will county by the name of the current property owner. Type in the name or partial name of a. Prior year taxes, or “back taxes” refer to taxes that were not paid during the. Property Lien Search Will County Illinois.
From www.signnow.com
Il Lien Complete with ease airSlate SignNow Property Lien Search Will County Illinois We have multiple search capabilities available in will county that increase production speed and provide better service to you, our customers. The will county recorder's office is a repository for all documents recorded in will county since its inception in 1836. We welcome users to avail themselves of the information that we are. Prior year taxes, or “back taxes” refer. Property Lien Search Will County Illinois.
From formspal.com
Illinois Notice Lien Form ≡ Fill Out Printable PDF Forms Online Property Lien Search Will County Illinois However, you can search our website for the most current assessments using our property search portal, where you can conduct property searches. We welcome users to avail themselves of the information that we are. We have multiple search capabilities available in will county that increase production speed and provide better service to you, our customers. You may search for property. Property Lien Search Will County Illinois.
From centrederechercheheec.com
What is a Lien? Types of Property Liens Explained (2023) Property Lien Search Will County Illinois The will county recorder's office is a repository for all documents recorded in will county since its inception in 1836. Search our database of free will county residential property records including deed records, titles, mortgages, sales, transfers & ownership history,. However, you can search our website for the most current assessments using our property search portal, where you can conduct. Property Lien Search Will County Illinois.
From bluenotary.us
What is a Property Lien Search? A Comprehensive Guide Property Lien Search Will County Illinois However, you can search our website for the most current assessments using our property search portal, where you can conduct property searches. The will county recorder's office is a repository for all documents recorded in will county since its inception in 1836. Search our database of free will county residential property records including deed records, titles, mortgages, sales, transfers &. Property Lien Search Will County Illinois.
From rihomestore.com
Property Lien Search How to Find Out if There Is a Lien on Your Property Property Lien Search Will County Illinois You may search for property in will county by the name of the current property owner. The will county recorder's office is a repository for all documents recorded in will county since its inception in 1836. Will county supervisor of assessments. However, you can search our website for the most current assessments using our property search portal, where you can. Property Lien Search Will County Illinois.
From www.searchquarry.com
County Property Lien Search Enter Name & View Property Lien Records Property Lien Search Will County Illinois Type in the name or partial name of a. We have multiple search capabilities available in will county that increase production speed and provide better service to you, our customers. We welcome users to avail themselves of the information that we are. However, you can search our website for the most current assessments using our property search portal, where you. Property Lien Search Will County Illinois.
From www.propertyshark.com
Property Liens Search by Address Takes Less than 5 Minutes Property Lien Search Will County Illinois We welcome users to avail themselves of the information that we are. Type in the name or partial name of a. We have multiple search capabilities available in will county that increase production speed and provide better service to you, our customers. Will county supervisor of assessments. Search our database of free will county residential property records including deed records,. Property Lien Search Will County Illinois.
From www.reisresearch.com
Property Lien Search REIS Research Property Lien Search Will County Illinois Will county supervisor of assessments. The will county recorder's office is a repository for all documents recorded in will county since its inception in 1836. Search our database of free will county residential property records including deed records, titles, mortgages, sales, transfers & ownership history,. You may search for property in will county by the name of the current property. Property Lien Search Will County Illinois.
From creshery.weebly.com
creshery Blog Property Lien Search Will County Illinois Will county supervisor of assessments. However, you can search our website for the most current assessments using our property search portal, where you can conduct property searches. You may search for property in will county by the name of the current property owner. Search our database of free will county residential property records including deed records, titles, mortgages, sales, transfers. Property Lien Search Will County Illinois.
From www.uslegalforms.com
Property Lien 20202022 Fill and Sign Printable Template Online US Property Lien Search Will County Illinois Prior year taxes, or “back taxes” refer to taxes that were not paid during the levy year and subsequently sold at the annual tax sale. Type in the name or partial name of a. We have multiple search capabilities available in will county that increase production speed and provide better service to you, our customers. However, you can search our. Property Lien Search Will County Illinois.
From propertyappraisers.us
Polk County Property Appraiser How to Check Your Property’s Value Property Lien Search Will County Illinois We welcome users to avail themselves of the information that we are. The will county recorder's office is a repository for all documents recorded in will county since its inception in 1836. Will county supervisor of assessments. We have multiple search capabilities available in will county that increase production speed and provide better service to you, our customers. However, you. Property Lien Search Will County Illinois.
From illinois-notice-lien.pdffiller.com
Notice Of Intent To Lien Illinois Pdf Fill Online, Printable Property Lien Search Will County Illinois Type in the name or partial name of a. Search our database of free will county residential property records including deed records, titles, mortgages, sales, transfers & ownership history,. Will county supervisor of assessments. However, you can search our website for the most current assessments using our property search portal, where you can conduct property searches. The will county recorder's. Property Lien Search Will County Illinois.