Combination Lock Probability Calculator . A combination is a selection of r items from a set of n items such that we don't care about the. N choose k calculator online to. Plus, learn several formulas and steps to calculate. This combinations calculator generates all possible combinations of m elements from the set of n elements. This free calculator can compute the number of possible permutations and combinations when selecting r elements from a set of n elements. This combination calculator (n choose k calculator) is a tool that helps you not only determine the number of combinations in a set (often. For example, if you have a set. You can use this combinations and permutations calculator to quickly and easily calculate the number of potential combinations and. Use this ncr calculator to easily calculate the number of combinations given a set of objects (types) and the number you need to draw from the set. Use our combination calculator to find the number of combinations of elements in a set.
from statisticsbyjim.com
A combination is a selection of r items from a set of n items such that we don't care about the. N choose k calculator online to. This free calculator can compute the number of possible permutations and combinations when selecting r elements from a set of n elements. This combinations calculator generates all possible combinations of m elements from the set of n elements. Use this ncr calculator to easily calculate the number of combinations given a set of objects (types) and the number you need to draw from the set. You can use this combinations and permutations calculator to quickly and easily calculate the number of potential combinations and. For example, if you have a set. Use our combination calculator to find the number of combinations of elements in a set. Plus, learn several formulas and steps to calculate. This combination calculator (n choose k calculator) is a tool that helps you not only determine the number of combinations in a set (often.
Using Permutations to Calculate Probabilities Statistics By Jim
Combination Lock Probability Calculator Plus, learn several formulas and steps to calculate. This combinations calculator generates all possible combinations of m elements from the set of n elements. You can use this combinations and permutations calculator to quickly and easily calculate the number of potential combinations and. This free calculator can compute the number of possible permutations and combinations when selecting r elements from a set of n elements. Plus, learn several formulas and steps to calculate. Use this ncr calculator to easily calculate the number of combinations given a set of objects (types) and the number you need to draw from the set. A combination is a selection of r items from a set of n items such that we don't care about the. Use our combination calculator to find the number of combinations of elements in a set. This combination calculator (n choose k calculator) is a tool that helps you not only determine the number of combinations in a set (often. N choose k calculator online to. For example, if you have a set.
From katynel.com
Top 10 Best Master Lock Combo Calculator Reviews & Buying Guide Katynel Combination Lock Probability Calculator This free calculator can compute the number of possible permutations and combinations when selecting r elements from a set of n elements. Use this ncr calculator to easily calculate the number of combinations given a set of objects (types) and the number you need to draw from the set. Use our combination calculator to find the number of combinations of. Combination Lock Probability Calculator.
From statisticsbyjim.com
Using Permutations to Calculate Probabilities Statistics By Jim Combination Lock Probability Calculator Plus, learn several formulas and steps to calculate. You can use this combinations and permutations calculator to quickly and easily calculate the number of potential combinations and. This combination calculator (n choose k calculator) is a tool that helps you not only determine the number of combinations in a set (often. Use our combination calculator to find the number of. Combination Lock Probability Calculator.
From www.numerade.com
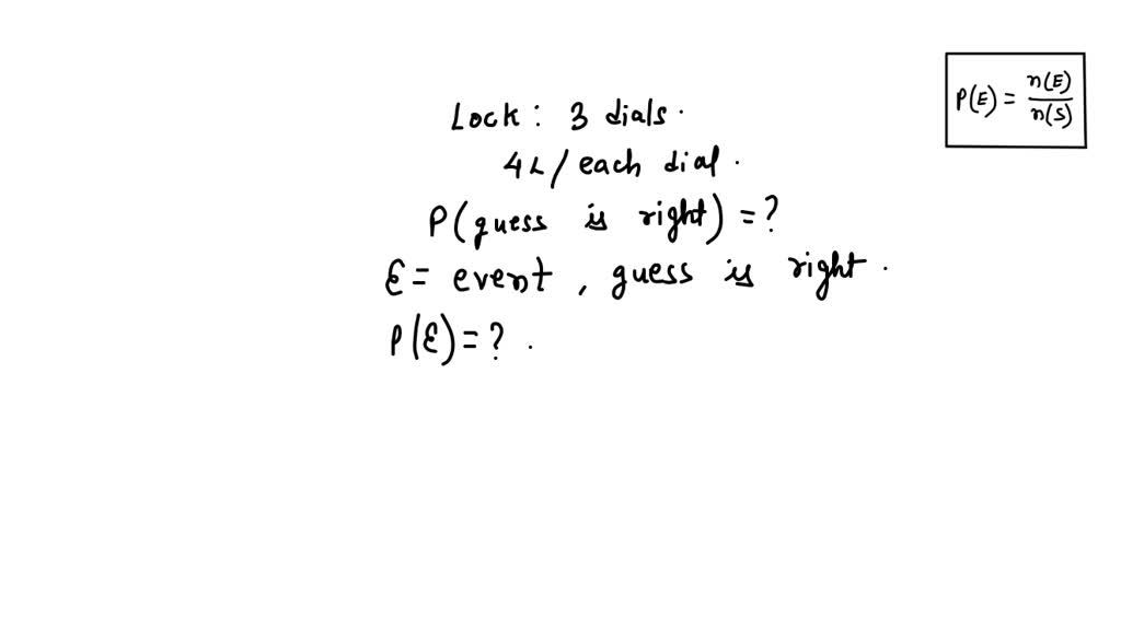
A lock consists of 3 dials, where each dial has 4 letters. What is the Combination Lock Probability Calculator Plus, learn several formulas and steps to calculate. Use this ncr calculator to easily calculate the number of combinations given a set of objects (types) and the number you need to draw from the set. Use our combination calculator to find the number of combinations of elements in a set. This combinations calculator generates all possible combinations of m elements. Combination Lock Probability Calculator.
From www.statisticshowto.com
Permutation, Combination and Derangement Formula, Examples Combination Lock Probability Calculator For example, if you have a set. This combinations calculator generates all possible combinations of m elements from the set of n elements. You can use this combinations and permutations calculator to quickly and easily calculate the number of potential combinations and. Plus, learn several formulas and steps to calculate. This combination calculator (n choose k calculator) is a tool. Combination Lock Probability Calculator.
From www.alamy.com
Combination lock and calculator Stock Photo Alamy Combination Lock Probability Calculator Plus, learn several formulas and steps to calculate. A combination is a selection of r items from a set of n items such that we don't care about the. For example, if you have a set. N choose k calculator online to. Use this ncr calculator to easily calculate the number of combinations given a set of objects (types) and. Combination Lock Probability Calculator.
From www.numerade.com
Lock A student has locked her locker with a Combination Lock Probability Calculator For example, if you have a set. You can use this combinations and permutations calculator to quickly and easily calculate the number of potential combinations and. This free calculator can compute the number of possible permutations and combinations when selecting r elements from a set of n elements. N choose k calculator online to. Use our combination calculator to find. Combination Lock Probability Calculator.
From exceljet.net
Excel COMBINA function Exceljet Combination Lock Probability Calculator This combination calculator (n choose k calculator) is a tool that helps you not only determine the number of combinations in a set (often. For example, if you have a set. N choose k calculator online to. Use this ncr calculator to easily calculate the number of combinations given a set of objects (types) and the number you need to. Combination Lock Probability Calculator.
From www.lockedzone.com
What are Combination Locks and how to use them? how are they beneficial Combination Lock Probability Calculator Plus, learn several formulas and steps to calculate. This free calculator can compute the number of possible permutations and combinations when selecting r elements from a set of n elements. Use our combination calculator to find the number of combinations of elements in a set. For example, if you have a set. N choose k calculator online to. You can. Combination Lock Probability Calculator.
From slideplayer.com
46 Probability and Counting Rules ppt download Combination Lock Probability Calculator Plus, learn several formulas and steps to calculate. You can use this combinations and permutations calculator to quickly and easily calculate the number of potential combinations and. For example, if you have a set. This combinations calculator generates all possible combinations of m elements from the set of n elements. A combination is a selection of r items from a. Combination Lock Probability Calculator.
From hxeusdfkn.blob.core.windows.net
How To Figure Out The Combination To A Combination Lock at Sonya Palmer Combination Lock Probability Calculator This combinations calculator generates all possible combinations of m elements from the set of n elements. Use this ncr calculator to easily calculate the number of combinations given a set of objects (types) and the number you need to draw from the set. A combination is a selection of r items from a set of n items such that we. Combination Lock Probability Calculator.
From sciencing.com
How to Calculate Combinations & Permutations Sciencing Combination Lock Probability Calculator You can use this combinations and permutations calculator to quickly and easily calculate the number of potential combinations and. Use this ncr calculator to easily calculate the number of combinations given a set of objects (types) and the number you need to draw from the set. Plus, learn several formulas and steps to calculate. This combination calculator (n choose k. Combination Lock Probability Calculator.
From zkfnlhfqok.blogspot.com
How Many Combinations With 4 Numbers 0 9 Learn more about the Combination Lock Probability Calculator Plus, learn several formulas and steps to calculate. Use this ncr calculator to easily calculate the number of combinations given a set of objects (types) and the number you need to draw from the set. You can use this combinations and permutations calculator to quickly and easily calculate the number of potential combinations and. This free calculator can compute the. Combination Lock Probability Calculator.
From www.alamy.com
Combination Lock and Calculator Stock Photo Alamy Combination Lock Probability Calculator Plus, learn several formulas and steps to calculate. N choose k calculator online to. This combination calculator (n choose k calculator) is a tool that helps you not only determine the number of combinations in a set (often. Use our combination calculator to find the number of combinations of elements in a set. A combination is a selection of r. Combination Lock Probability Calculator.
From www.youtube.com
Probability of 3 digit Combination Lock where first and second digits Combination Lock Probability Calculator Use this ncr calculator to easily calculate the number of combinations given a set of objects (types) and the number you need to draw from the set. This combination calculator (n choose k calculator) is a tool that helps you not only determine the number of combinations in a set (often. Plus, learn several formulas and steps to calculate. Use. Combination Lock Probability Calculator.
From www.slideserve.com
PPT 4.3 Conditional Probability PowerPoint Presentation, free Combination Lock Probability Calculator For example, if you have a set. This free calculator can compute the number of possible permutations and combinations when selecting r elements from a set of n elements. N choose k calculator online to. A combination is a selection of r items from a set of n items such that we don't care about the. Use our combination calculator. Combination Lock Probability Calculator.
From slideplayer.com
Locked. ppt download Combination Lock Probability Calculator You can use this combinations and permutations calculator to quickly and easily calculate the number of potential combinations and. This combinations calculator generates all possible combinations of m elements from the set of n elements. A combination is a selection of r items from a set of n items such that we don't care about the. This free calculator can. Combination Lock Probability Calculator.
From macarthurlocksanddoors.com
Discover the Perfect Combination Locks for Businesses Combination Lock Probability Calculator A combination is a selection of r items from a set of n items such that we don't care about the. This combination calculator (n choose k calculator) is a tool that helps you not only determine the number of combinations in a set (often. Use this ncr calculator to easily calculate the number of combinations given a set of. Combination Lock Probability Calculator.
From brainly.com
You have a combination lock with 3 secret digits. Find the 3 correct Combination Lock Probability Calculator This free calculator can compute the number of possible permutations and combinations when selecting r elements from a set of n elements. This combinations calculator generates all possible combinations of m elements from the set of n elements. A combination is a selection of r items from a set of n items such that we don't care about the. You. Combination Lock Probability Calculator.
From realitypod.com
How to Pick a Padlock or Combination Lock in 3 Easy Steps REALITYPOD Combination Lock Probability Calculator You can use this combinations and permutations calculator to quickly and easily calculate the number of potential combinations and. This free calculator can compute the number of possible permutations and combinations when selecting r elements from a set of n elements. This combination calculator (n choose k calculator) is a tool that helps you not only determine the number of. Combination Lock Probability Calculator.
From hxexdneaq.blob.core.windows.net
How Many Combinations In A 3 Digit Lock at Evelyn Rogers blog Combination Lock Probability Calculator For example, if you have a set. Use our combination calculator to find the number of combinations of elements in a set. This free calculator can compute the number of possible permutations and combinations when selecting r elements from a set of n elements. This combination calculator (n choose k calculator) is a tool that helps you not only determine. Combination Lock Probability Calculator.
From www.numerade.com
SOLVED A lock consists of 2 dials, where each dial has 6 letters. What Combination Lock Probability Calculator For example, if you have a set. Use our combination calculator to find the number of combinations of elements in a set. This combinations calculator generates all possible combinations of m elements from the set of n elements. N choose k calculator online to. This combination calculator (n choose k calculator) is a tool that helps you not only determine. Combination Lock Probability Calculator.
From www.gauthmath.com
Solved probability Exit Task Name A lock combination comprises the Combination Lock Probability Calculator N choose k calculator online to. Plus, learn several formulas and steps to calculate. A combination is a selection of r items from a set of n items such that we don't care about the. This combinations calculator generates all possible combinations of m elements from the set of n elements. For example, if you have a set. This free. Combination Lock Probability Calculator.
From www.gauthmath.com
Solved Kevin has a 3digit number lock. How many 3digit number Combination Lock Probability Calculator This free calculator can compute the number of possible permutations and combinations when selecting r elements from a set of n elements. Use our combination calculator to find the number of combinations of elements in a set. This combination calculator (n choose k calculator) is a tool that helps you not only determine the number of combinations in a set. Combination Lock Probability Calculator.
From www.chegg.com
Solved Suppose a certain combination lock requires three Combination Lock Probability Calculator Use our combination calculator to find the number of combinations of elements in a set. This combination calculator (n choose k calculator) is a tool that helps you not only determine the number of combinations in a set (often. N choose k calculator online to. Use this ncr calculator to easily calculate the number of combinations given a set of. Combination Lock Probability Calculator.
From null-byte.wonderhowto.com
Crack Any Master Combination Lock in 8 Tries or Less Using This Combination Lock Probability Calculator Use our combination calculator to find the number of combinations of elements in a set. Plus, learn several formulas and steps to calculate. N choose k calculator online to. This combination calculator (n choose k calculator) is a tool that helps you not only determine the number of combinations in a set (often. Use this ncr calculator to easily calculate. Combination Lock Probability Calculator.
From www.slideserve.com
PPT Permutations and Combinations PowerPoint Presentation, free Combination Lock Probability Calculator A combination is a selection of r items from a set of n items such that we don't care about the. Plus, learn several formulas and steps to calculate. You can use this combinations and permutations calculator to quickly and easily calculate the number of potential combinations and. This free calculator can compute the number of possible permutations and combinations. Combination Lock Probability Calculator.
From www.numerade.com
SOLVEDA typical lock is opened with the correct sequence Combination Lock Probability Calculator Use this ncr calculator to easily calculate the number of combinations given a set of objects (types) and the number you need to draw from the set. This free calculator can compute the number of possible permutations and combinations when selecting r elements from a set of n elements. This combinations calculator generates all possible combinations of m elements from. Combination Lock Probability Calculator.
From www.chegg.com
Solved The combination to a lock consists of a sequence of Combination Lock Probability Calculator This combinations calculator generates all possible combinations of m elements from the set of n elements. A combination is a selection of r items from a set of n items such that we don't care about the. For example, if you have a set. This combination calculator (n choose k calculator) is a tool that helps you not only determine. Combination Lock Probability Calculator.
From www.numerade.com
2. A combination lock has 40 numbers and will unlock with the proper 3 Combination Lock Probability Calculator Use this ncr calculator to easily calculate the number of combinations given a set of objects (types) and the number you need to draw from the set. For example, if you have a set. You can use this combinations and permutations calculator to quickly and easily calculate the number of potential combinations and. This free calculator can compute the number. Combination Lock Probability Calculator.
From www.youtube.com
Counting and Theoretical Probability Combination Locks YouTube Combination Lock Probability Calculator Use this ncr calculator to easily calculate the number of combinations given a set of objects (types) and the number you need to draw from the set. This combinations calculator generates all possible combinations of m elements from the set of n elements. Use our combination calculator to find the number of combinations of elements in a set. A combination. Combination Lock Probability Calculator.
From www.gauthmath.com
Solved Question Watch Video Show Examples A lock has a code of 4 Combination Lock Probability Calculator Use our combination calculator to find the number of combinations of elements in a set. This combinations calculator generates all possible combinations of m elements from the set of n elements. This free calculator can compute the number of possible permutations and combinations when selecting r elements from a set of n elements. N choose k calculator online to. A. Combination Lock Probability Calculator.
From www.youtube.com
Number of Combination with Combination Lock with 60 position YouTube Combination Lock Probability Calculator For example, if you have a set. A combination is a selection of r items from a set of n items such that we don't care about the. You can use this combinations and permutations calculator to quickly and easily calculate the number of potential combinations and. Use this ncr calculator to easily calculate the number of combinations given a. Combination Lock Probability Calculator.
From www.pinterest.com
Combination Calculator Studying math, Math methods, Math formulas Combination Lock Probability Calculator A combination is a selection of r items from a set of n items such that we don't care about the. This combination calculator (n choose k calculator) is a tool that helps you not only determine the number of combinations in a set (often. Plus, learn several formulas and steps to calculate. Use this ncr calculator to easily calculate. Combination Lock Probability Calculator.
From www.youtube.com
Probability with Counting Principles for 3 Digit Combination Lock Prime Combination Lock Probability Calculator You can use this combinations and permutations calculator to quickly and easily calculate the number of potential combinations and. This combination calculator (n choose k calculator) is a tool that helps you not only determine the number of combinations in a set (often. For example, if you have a set. A combination is a selection of r items from a. Combination Lock Probability Calculator.
From www.youtube.com
23 Combination locks for the visually impaired? YouTube Combination Lock Probability Calculator Use this ncr calculator to easily calculate the number of combinations given a set of objects (types) and the number you need to draw from the set. You can use this combinations and permutations calculator to quickly and easily calculate the number of potential combinations and. Plus, learn several formulas and steps to calculate. Use our combination calculator to find. Combination Lock Probability Calculator.