Harmonized Tariff Number United States . The usitc (office of tariff affairs and trade agreements) is responsible for publishing the harmonized tariff schedule of the united. Hts will be unavailable between 5:30 and 8:30 pm on wednesday, october 16, 2024 to conduct operating system maintenance. This page provides access to the most recent online version of the harmonized tariff schedule (hts) as well as access to the. The harmonized tariff schedule of the united states (hts) was enacted by congress and made effective on january 1, 1989, replacing the. For us imports, the harmonized tariff system (hts) is used, and it is administered by the us international trade administration commission. Use our simple and easy to use hs (harmonized system) and hts (harmonized tariff schedule) code lookup tool to find the tariff code for products that you plan on importing into the. Harmonized tariff schedule (hts) the u.s. The harmonized tariff schedule of the united states (hts) sets out the tariff rates and statistical categories for all merchandise. International trade commission (usitc) publishes and maintains the hts and provides technical information on its structure.
from www.scribd.com
Harmonized tariff schedule (hts) the u.s. The usitc (office of tariff affairs and trade agreements) is responsible for publishing the harmonized tariff schedule of the united. International trade commission (usitc) publishes and maintains the hts and provides technical information on its structure. The harmonized tariff schedule of the united states (hts) sets out the tariff rates and statistical categories for all merchandise. For us imports, the harmonized tariff system (hts) is used, and it is administered by the us international trade administration commission. This page provides access to the most recent online version of the harmonized tariff schedule (hts) as well as access to the. Hts will be unavailable between 5:30 and 8:30 pm on wednesday, october 16, 2024 to conduct operating system maintenance. The harmonized tariff schedule of the united states (hts) was enacted by congress and made effective on january 1, 1989, replacing the. Use our simple and easy to use hs (harmonized system) and hts (harmonized tariff schedule) code lookup tool to find the tariff code for products that you plan on importing into the.
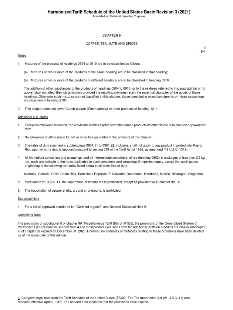
Harmonized Tariff Schedule of The United States Basic Revision 3 (2021
Harmonized Tariff Number United States The harmonized tariff schedule of the united states (hts) sets out the tariff rates and statistical categories for all merchandise. For us imports, the harmonized tariff system (hts) is used, and it is administered by the us international trade administration commission. Harmonized tariff schedule (hts) the u.s. Use our simple and easy to use hs (harmonized system) and hts (harmonized tariff schedule) code lookup tool to find the tariff code for products that you plan on importing into the. This page provides access to the most recent online version of the harmonized tariff schedule (hts) as well as access to the. The usitc (office of tariff affairs and trade agreements) is responsible for publishing the harmonized tariff schedule of the united. The harmonized tariff schedule of the united states (hts) sets out the tariff rates and statistical categories for all merchandise. The harmonized tariff schedule of the united states (hts) was enacted by congress and made effective on january 1, 1989, replacing the. Hts will be unavailable between 5:30 and 8:30 pm on wednesday, october 16, 2024 to conduct operating system maintenance. International trade commission (usitc) publishes and maintains the hts and provides technical information on its structure.
From www.amazon.in
Harmonized Tariff Schedule of the United States (2024) Special Harmonized Tariff Number United States The harmonized tariff schedule of the united states (hts) sets out the tariff rates and statistical categories for all merchandise. This page provides access to the most recent online version of the harmonized tariff schedule (hts) as well as access to the. The harmonized tariff schedule of the united states (hts) was enacted by congress and made effective on january. Harmonized Tariff Number United States.
From www.kenvictraining.com
THE HARMONIZED TARIFF SCHEDULE OF UNITED STATES 2023 Basic Version Harmonized Tariff Number United States This page provides access to the most recent online version of the harmonized tariff schedule (hts) as well as access to the. The harmonized tariff schedule of the united states (hts) was enacted by congress and made effective on january 1, 1989, replacing the. Hts will be unavailable between 5:30 and 8:30 pm on wednesday, october 16, 2024 to conduct. Harmonized Tariff Number United States.
From www.pdffiller.com
Fillable Online Harmonized Tariff Schedule of the United States Harmonized Tariff Number United States Hts will be unavailable between 5:30 and 8:30 pm on wednesday, october 16, 2024 to conduct operating system maintenance. The harmonized tariff schedule of the united states (hts) was enacted by congress and made effective on january 1, 1989, replacing the. This page provides access to the most recent online version of the harmonized tariff schedule (hts) as well as. Harmonized Tariff Number United States.
From www.kenvictraining.com
THE HARMONIZED TARIFF SCHEDULE OF UNITED STATES 2023 Basic Version 美国 Harmonized Tariff Number United States The harmonized tariff schedule of the united states (hts) was enacted by congress and made effective on january 1, 1989, replacing the. The usitc (office of tariff affairs and trade agreements) is responsible for publishing the harmonized tariff schedule of the united. Hts will be unavailable between 5:30 and 8:30 pm on wednesday, october 16, 2024 to conduct operating system. Harmonized Tariff Number United States.
From www.scribd.com
Harmonized Tariff Schedule of The United States PDF Harmonized Tariff Number United States This page provides access to the most recent online version of the harmonized tariff schedule (hts) as well as access to the. The usitc (office of tariff affairs and trade agreements) is responsible for publishing the harmonized tariff schedule of the united. Hts will be unavailable between 5:30 and 8:30 pm on wednesday, october 16, 2024 to conduct operating system. Harmonized Tariff Number United States.
From online-shipping-blog.endicia.com
Demystifying the HS Tariff Number Field on Your Customs Form Online Harmonized Tariff Number United States For us imports, the harmonized tariff system (hts) is used, and it is administered by the us international trade administration commission. Use our simple and easy to use hs (harmonized system) and hts (harmonized tariff schedule) code lookup tool to find the tariff code for products that you plan on importing into the. Hts will be unavailable between 5:30 and. Harmonized Tariff Number United States.
From www.shippingsolutions.com
Harmonized Tariff Schedule of the United States (HTS) How to Use It Harmonized Tariff Number United States The usitc (office of tariff affairs and trade agreements) is responsible for publishing the harmonized tariff schedule of the united. The harmonized tariff schedule of the united states (hts) sets out the tariff rates and statistical categories for all merchandise. This page provides access to the most recent online version of the harmonized tariff schedule (hts) as well as access. Harmonized Tariff Number United States.
From www.pdffiller.com
Fillable Online Harmonized Tariff Schedule PDFs United States Harmonized Tariff Number United States Harmonized tariff schedule (hts) the u.s. The harmonized tariff schedule of the united states (hts) was enacted by congress and made effective on january 1, 1989, replacing the. The harmonized tariff schedule of the united states (hts) sets out the tariff rates and statistical categories for all merchandise. The usitc (office of tariff affairs and trade agreements) is responsible for. Harmonized Tariff Number United States.
From www.pdffiller.com
Fillable Online Harmonized Tariff Schedule of the United States (2019 Harmonized Tariff Number United States The harmonized tariff schedule of the united states (hts) was enacted by congress and made effective on january 1, 1989, replacing the. The harmonized tariff schedule of the united states (hts) sets out the tariff rates and statistical categories for all merchandise. International trade commission (usitc) publishes and maintains the hts and provides technical information on its structure. For us. Harmonized Tariff Number United States.
From dokumen.tips
(PDF) CHEMICAL APPENDIX TO THE HARMONIZED TARIFF … · Harmonized Tariff Harmonized Tariff Number United States Harmonized tariff schedule (hts) the u.s. Use our simple and easy to use hs (harmonized system) and hts (harmonized tariff schedule) code lookup tool to find the tariff code for products that you plan on importing into the. For us imports, the harmonized tariff system (hts) is used, and it is administered by the us international trade administration commission. The. Harmonized Tariff Number United States.
From amazonsellersclub.co
Harmonized Tariff Schedule US Gov’t Tariff « Amazon Seller Tools Club Harmonized Tariff Number United States International trade commission (usitc) publishes and maintains the hts and provides technical information on its structure. This page provides access to the most recent online version of the harmonized tariff schedule (hts) as well as access to the. Harmonized tariff schedule (hts) the u.s. Use our simple and easy to use hs (harmonized system) and hts (harmonized tariff schedule) code. Harmonized Tariff Number United States.
From www.datamyne.com
What’s an HS or HTS Code? Harmonized Tariff Number United States This page provides access to the most recent online version of the harmonized tariff schedule (hts) as well as access to the. For us imports, the harmonized tariff system (hts) is used, and it is administered by the us international trade administration commission. The harmonized tariff schedule of the united states (hts) was enacted by congress and made effective on. Harmonized Tariff Number United States.
From docslib.org
Harmonized Tariff Schedule of the United States Basic Revision 1 (2021 Harmonized Tariff Number United States Use our simple and easy to use hs (harmonized system) and hts (harmonized tariff schedule) code lookup tool to find the tariff code for products that you plan on importing into the. This page provides access to the most recent online version of the harmonized tariff schedule (hts) as well as access to the. Harmonized tariff schedule (hts) the u.s.. Harmonized Tariff Number United States.
From www.slideserve.com
PPT Immigration and Trade PowerPoint Presentation, free download ID Harmonized Tariff Number United States International trade commission (usitc) publishes and maintains the hts and provides technical information on its structure. Hts will be unavailable between 5:30 and 8:30 pm on wednesday, october 16, 2024 to conduct operating system maintenance. Use our simple and easy to use hs (harmonized system) and hts (harmonized tariff schedule) code lookup tool to find the tariff code for products. Harmonized Tariff Number United States.
From dokumen.tips
(PDF) Harmonized Tariff Schedule of the United States (2004 Harmonized Tariff Number United States This page provides access to the most recent online version of the harmonized tariff schedule (hts) as well as access to the. Use our simple and easy to use hs (harmonized system) and hts (harmonized tariff schedule) code lookup tool to find the tariff code for products that you plan on importing into the. For us imports, the harmonized tariff. Harmonized Tariff Number United States.
From www.ocr-inc.com
Harmonized Tariff Schedule of the U.S (HTSUS) 2020 Edition OCR Harmonized Tariff Number United States This page provides access to the most recent online version of the harmonized tariff schedule (hts) as well as access to the. Hts will be unavailable between 5:30 and 8:30 pm on wednesday, october 16, 2024 to conduct operating system maintenance. The harmonized tariff schedule of the united states (hts) was enacted by congress and made effective on january 1,. Harmonized Tariff Number United States.
From www.youtube.com
How to Use the Harmonized Tariff Schedule of the United States YouTube Harmonized Tariff Number United States Hts will be unavailable between 5:30 and 8:30 pm on wednesday, october 16, 2024 to conduct operating system maintenance. For us imports, the harmonized tariff system (hts) is used, and it is administered by the us international trade administration commission. The usitc (office of tariff affairs and trade agreements) is responsible for publishing the harmonized tariff schedule of the united.. Harmonized Tariff Number United States.
From dokumen.tips
(PDF) 2013 Harmonized Tariff Schedule of the United States Harmonized Tariff Number United States The harmonized tariff schedule of the united states (hts) sets out the tariff rates and statistical categories for all merchandise. The usitc (office of tariff affairs and trade agreements) is responsible for publishing the harmonized tariff schedule of the united. Harmonized tariff schedule (hts) the u.s. Use our simple and easy to use hs (harmonized system) and hts (harmonized tariff. Harmonized Tariff Number United States.
From www.slideserve.com
PPT Export Readiness PowerPoint Presentation, free download Harmonized Tariff Number United States This page provides access to the most recent online version of the harmonized tariff schedule (hts) as well as access to the. International trade commission (usitc) publishes and maintains the hts and provides technical information on its structure. Harmonized tariff schedule (hts) the u.s. Use our simple and easy to use hs (harmonized system) and hts (harmonized tariff schedule) code. Harmonized Tariff Number United States.
From www.pdffiller.com
Fillable Online Harmonized Tariff Schedule of the United States (2018 Harmonized Tariff Number United States The usitc (office of tariff affairs and trade agreements) is responsible for publishing the harmonized tariff schedule of the united. This page provides access to the most recent online version of the harmonized tariff schedule (hts) as well as access to the. International trade commission (usitc) publishes and maintains the hts and provides technical information on its structure. For us. Harmonized Tariff Number United States.
From www.gbu-presnenskij.ru
Introduction To Customs Classification Part The Harmonized, 40 OFF Harmonized Tariff Number United States International trade commission (usitc) publishes and maintains the hts and provides technical information on its structure. Hts will be unavailable between 5:30 and 8:30 pm on wednesday, october 16, 2024 to conduct operating system maintenance. Use our simple and easy to use hs (harmonized system) and hts (harmonized tariff schedule) code lookup tool to find the tariff code for products. Harmonized Tariff Number United States.
From www.savquickprinting.com
USITC Harmonized Tariff Schedule of United States 2023 Basic Edition Harmonized Tariff Number United States International trade commission (usitc) publishes and maintains the hts and provides technical information on its structure. The harmonized tariff schedule of the united states (hts) sets out the tariff rates and statistical categories for all merchandise. This page provides access to the most recent online version of the harmonized tariff schedule (hts) as well as access to the. Hts will. Harmonized Tariff Number United States.
From dokumen.tips
(PDF) PHARMACEUTICAL APPENDIX TO THE HARMONIZED … · Harmonized Tariff Harmonized Tariff Number United States Harmonized tariff schedule (hts) the u.s. International trade commission (usitc) publishes and maintains the hts and provides technical information on its structure. Use our simple and easy to use hs (harmonized system) and hts (harmonized tariff schedule) code lookup tool to find the tariff code for products that you plan on importing into the. Hts will be unavailable between 5:30. Harmonized Tariff Number United States.
From www.researchgate.net
4 MAIN IMPORT PRODUCTS FROM THE UNITED STATES. (Harmonized Tariff Harmonized Tariff Number United States The harmonized tariff schedule of the united states (hts) sets out the tariff rates and statistical categories for all merchandise. This page provides access to the most recent online version of the harmonized tariff schedule (hts) as well as access to the. Harmonized tariff schedule (hts) the u.s. For us imports, the harmonized tariff system (hts) is used, and it. Harmonized Tariff Number United States.
From support.spacegoats.io
HS codes, commodity codes and customs tariff numbers Harmonized Tariff Number United States Hts will be unavailable between 5:30 and 8:30 pm on wednesday, october 16, 2024 to conduct operating system maintenance. The harmonized tariff schedule of the united states (hts) was enacted by congress and made effective on january 1, 1989, replacing the. Use our simple and easy to use hs (harmonized system) and hts (harmonized tariff schedule) code lookup tool to. Harmonized Tariff Number United States.
From www.formsbank.com
Harmonized Tariff Schedule Of The United States 2017 printable pdf Harmonized Tariff Number United States The harmonized tariff schedule of the united states (hts) was enacted by congress and made effective on january 1, 1989, replacing the. Harmonized tariff schedule (hts) the u.s. This page provides access to the most recent online version of the harmonized tariff schedule (hts) as well as access to the. Hts will be unavailable between 5:30 and 8:30 pm on. Harmonized Tariff Number United States.
From www.slideserve.com
PPT Session 6 ODS Classification PowerPoint Presentation, free Harmonized Tariff Number United States This page provides access to the most recent online version of the harmonized tariff schedule (hts) as well as access to the. International trade commission (usitc) publishes and maintains the hts and provides technical information on its structure. Hts will be unavailable between 5:30 and 8:30 pm on wednesday, october 16, 2024 to conduct operating system maintenance. For us imports,. Harmonized Tariff Number United States.
From dokumen.tips
(PDF) Chapter 32 (US Harmonized Tariff Code).pdf DOKUMEN.TIPS Harmonized Tariff Number United States The usitc (office of tariff affairs and trade agreements) is responsible for publishing the harmonized tariff schedule of the united. Use our simple and easy to use hs (harmonized system) and hts (harmonized tariff schedule) code lookup tool to find the tariff code for products that you plan on importing into the. The harmonized tariff schedule of the united states. Harmonized Tariff Number United States.
From www.scribd.com
Harmonized Tariff Schedule of The United States Basic Revision 3 (2021 Harmonized Tariff Number United States Hts will be unavailable between 5:30 and 8:30 pm on wednesday, october 16, 2024 to conduct operating system maintenance. For us imports, the harmonized tariff system (hts) is used, and it is administered by the us international trade administration commission. Use our simple and easy to use hs (harmonized system) and hts (harmonized tariff schedule) code lookup tool to find. Harmonized Tariff Number United States.
From www.researchgate.net
2 MAIN EXPORT PRODUCTS TO THE US (Harmonized Tariff System, 4 digit Harmonized Tariff Number United States Harmonized tariff schedule (hts) the u.s. The usitc (office of tariff affairs and trade agreements) is responsible for publishing the harmonized tariff schedule of the united. This page provides access to the most recent online version of the harmonized tariff schedule (hts) as well as access to the. The harmonized tariff schedule of the united states (hts) was enacted by. Harmonized Tariff Number United States.
From www.shippingsolutions.com
Harmonized Tariff Schedule of the United States (HTS) How to Use It Harmonized Tariff Number United States International trade commission (usitc) publishes and maintains the hts and provides technical information on its structure. This page provides access to the most recent online version of the harmonized tariff schedule (hts) as well as access to the. For us imports, the harmonized tariff system (hts) is used, and it is administered by the us international trade administration commission. Hts. Harmonized Tariff Number United States.
From www.youtube.com
How to find a port code on Harmonized Tariff Schedule of the United Harmonized Tariff Number United States For us imports, the harmonized tariff system (hts) is used, and it is administered by the us international trade administration commission. Hts will be unavailable between 5:30 and 8:30 pm on wednesday, october 16, 2024 to conduct operating system maintenance. Harmonized tariff schedule (hts) the u.s. International trade commission (usitc) publishes and maintains the hts and provides technical information on. Harmonized Tariff Number United States.
From www.kenvictraining.com
Home / 增值服务 / 教材 Harmonized Tariff Number United States The usitc (office of tariff affairs and trade agreements) is responsible for publishing the harmonized tariff schedule of the united. Harmonized tariff schedule (hts) the u.s. This page provides access to the most recent online version of the harmonized tariff schedule (hts) as well as access to the. The harmonized tariff schedule of the united states (hts) was enacted by. Harmonized Tariff Number United States.
From www.freightmango.com
HTS Code All You Need to Know Harmonized Tariff Number United States Harmonized tariff schedule (hts) the u.s. Use our simple and easy to use hs (harmonized system) and hts (harmonized tariff schedule) code lookup tool to find the tariff code for products that you plan on importing into the. Hts will be unavailable between 5:30 and 8:30 pm on wednesday, october 16, 2024 to conduct operating system maintenance. International trade commission. Harmonized Tariff Number United States.
From www.pdffiller.com
Fillable Online Harmonized Tariff Schedule of the United States (2019 Harmonized Tariff Number United States International trade commission (usitc) publishes and maintains the hts and provides technical information on its structure. The harmonized tariff schedule of the united states (hts) was enacted by congress and made effective on january 1, 1989, replacing the. Hts will be unavailable between 5:30 and 8:30 pm on wednesday, october 16, 2024 to conduct operating system maintenance. The usitc (office. Harmonized Tariff Number United States.