Nebraska Eft Requirements . Which form(s) should i do? If this is your first. Eft is a payment option available to the following business tax programs: Once this form is submitted electronic remittance advice (era) will be set up within 10 business days. In nebraska, consumers are protected against unauthorized electronic funds transfers on checking accounts through various regulations and laws,. If you have selected eft debit as. Bcbs of nebraska (00760) era & eft enrollment instructions. To ensure successful completion of your eft tax payments, follow the steps below.
from www.templateroller.com
To ensure successful completion of your eft tax payments, follow the steps below. Bcbs of nebraska (00760) era & eft enrollment instructions. Which form(s) should i do? In nebraska, consumers are protected against unauthorized electronic funds transfers on checking accounts through various regulations and laws,. If this is your first. If you have selected eft debit as. Once this form is submitted electronic remittance advice (era) will be set up within 10 business days. Eft is a payment option available to the following business tax programs:
Nebraska Assumption Reinsurance Notice of Transfer Fill Out, Sign
Nebraska Eft Requirements If this is your first. If this is your first. Which form(s) should i do? To ensure successful completion of your eft tax payments, follow the steps below. Bcbs of nebraska (00760) era & eft enrollment instructions. If you have selected eft debit as. Eft is a payment option available to the following business tax programs: Once this form is submitted electronic remittance advice (era) will be set up within 10 business days. In nebraska, consumers are protected against unauthorized electronic funds transfers on checking accounts through various regulations and laws,.
From www.pdffiller.com
Fillable Online EFT Questions Nebraska Department of Revenue Fax Nebraska Eft Requirements In nebraska, consumers are protected against unauthorized electronic funds transfers on checking accounts through various regulations and laws,. If this is your first. If you have selected eft debit as. Bcbs of nebraska (00760) era & eft enrollment instructions. Once this form is submitted electronic remittance advice (era) will be set up within 10 business days. Which form(s) should i. Nebraska Eft Requirements.
From www.msn.com
Nebraska's Child Welfare System not claiming federal funds Nebraska Eft Requirements Once this form is submitted electronic remittance advice (era) will be set up within 10 business days. If you have selected eft debit as. Bcbs of nebraska (00760) era & eft enrollment instructions. In nebraska, consumers are protected against unauthorized electronic funds transfers on checking accounts through various regulations and laws,. To ensure successful completion of your eft tax payments,. Nebraska Eft Requirements.
From eforms.com
Free Nebraska Rental Lease Agreements Residential & Commercial PDF Nebraska Eft Requirements If you have selected eft debit as. In nebraska, consumers are protected against unauthorized electronic funds transfers on checking accounts through various regulations and laws,. To ensure successful completion of your eft tax payments, follow the steps below. Which form(s) should i do? Bcbs of nebraska (00760) era & eft enrollment instructions. Once this form is submitted electronic remittance advice. Nebraska Eft Requirements.
From www.templateroller.com
Nebraska Notice of Allocation, Transfer, Sale, or Assignment of Nebraska Eft Requirements If this is your first. Eft is a payment option available to the following business tax programs: Which form(s) should i do? Once this form is submitted electronic remittance advice (era) will be set up within 10 business days. If you have selected eft debit as. To ensure successful completion of your eft tax payments, follow the steps below. Bcbs. Nebraska Eft Requirements.
From www.templateroller.com
NDE Form 28003 Fill Out, Sign Online and Download Fillable PDF Nebraska Eft Requirements Which form(s) should i do? Eft is a payment option available to the following business tax programs: Once this form is submitted electronic remittance advice (era) will be set up within 10 business days. Bcbs of nebraska (00760) era & eft enrollment instructions. If this is your first. To ensure successful completion of your eft tax payments, follow the steps. Nebraska Eft Requirements.
From www.voicesofnebraska.com
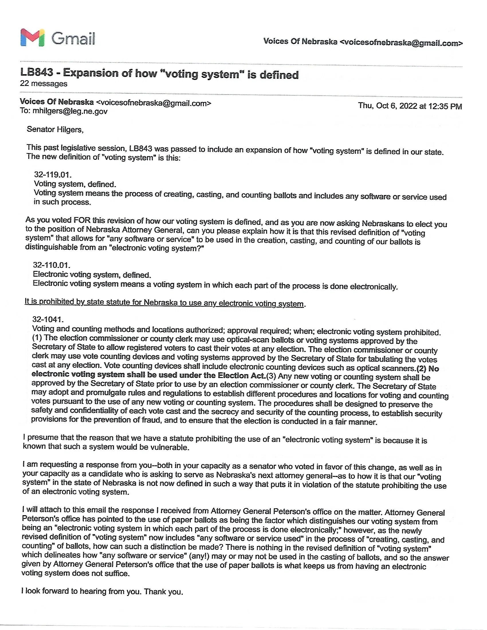
Does Nebraska use an electronic voting system? Voices of Nebraska Nebraska Eft Requirements If this is your first. In nebraska, consumers are protected against unauthorized electronic funds transfers on checking accounts through various regulations and laws,. Eft is a payment option available to the following business tax programs: Bcbs of nebraska (00760) era & eft enrollment instructions. If you have selected eft debit as. To ensure successful completion of your eft tax payments,. Nebraska Eft Requirements.
From www.templateroller.com
Nebraska Transfer Checklist Download Printable PDF Templateroller Nebraska Eft Requirements Bcbs of nebraska (00760) era & eft enrollment instructions. In nebraska, consumers are protected against unauthorized electronic funds transfers on checking accounts through various regulations and laws,. Once this form is submitted electronic remittance advice (era) will be set up within 10 business days. Which form(s) should i do? Eft is a payment option available to the following business tax. Nebraska Eft Requirements.
From nebraskaexaminer.com
Nebraska to use up to 2 million in pandemic funds for National Guard Nebraska Eft Requirements To ensure successful completion of your eft tax payments, follow the steps below. Once this form is submitted electronic remittance advice (era) will be set up within 10 business days. Which form(s) should i do? Bcbs of nebraska (00760) era & eft enrollment instructions. In nebraska, consumers are protected against unauthorized electronic funds transfers on checking accounts through various regulations. Nebraska Eft Requirements.
From www.signnow.com
Nebraska 13 20182024 Form Fill Out and Sign Printable PDF Template Nebraska Eft Requirements Once this form is submitted electronic remittance advice (era) will be set up within 10 business days. Eft is a payment option available to the following business tax programs: To ensure successful completion of your eft tax payments, follow the steps below. Which form(s) should i do? If you have selected eft debit as. Bcbs of nebraska (00760) era &. Nebraska Eft Requirements.
From www.templateroller.com
Nebraska Electronic Signature Authorization Agreement Fill Out, Sign Nebraska Eft Requirements To ensure successful completion of your eft tax payments, follow the steps below. Once this form is submitted electronic remittance advice (era) will be set up within 10 business days. If this is your first. Bcbs of nebraska (00760) era & eft enrollment instructions. In nebraska, consumers are protected against unauthorized electronic funds transfers on checking accounts through various regulations. Nebraska Eft Requirements.
From www.voicesofnebraska.com
Does Nebraska use an electronic voting system? Voices of Nebraska Nebraska Eft Requirements If you have selected eft debit as. Which form(s) should i do? If this is your first. To ensure successful completion of your eft tax payments, follow the steps below. Bcbs of nebraska (00760) era & eft enrollment instructions. Once this form is submitted electronic remittance advice (era) will be set up within 10 business days. Eft is a payment. Nebraska Eft Requirements.
From neo.ne.gov
NDEE Nebraska Weatherization Assistance Program Nebraska Eft Requirements If you have selected eft debit as. Bcbs of nebraska (00760) era & eft enrollment instructions. Once this form is submitted electronic remittance advice (era) will be set up within 10 business days. To ensure successful completion of your eft tax payments, follow the steps below. Eft is a payment option available to the following business tax programs: Which form(s). Nebraska Eft Requirements.
From www.voicesofnebraska.com
Does Nebraska use an electronic voting system? Voices of Nebraska Nebraska Eft Requirements Eft is a payment option available to the following business tax programs: If you have selected eft debit as. In nebraska, consumers are protected against unauthorized electronic funds transfers on checking accounts through various regulations and laws,. Once this form is submitted electronic remittance advice (era) will be set up within 10 business days. To ensure successful completion of your. Nebraska Eft Requirements.
From www.templateroller.com
Form ACTY0181 Download Fillable PDF or Fill Online Request for Cdbg Nebraska Eft Requirements Eft is a payment option available to the following business tax programs: If this is your first. In nebraska, consumers are protected against unauthorized electronic funds transfers on checking accounts through various regulations and laws,. To ensure successful completion of your eft tax payments, follow the steps below. Bcbs of nebraska (00760) era & eft enrollment instructions. Which form(s) should. Nebraska Eft Requirements.
From www.voicesofnebraska.com
Does Nebraska use an electronic voting system? Voices of Nebraska Nebraska Eft Requirements If you have selected eft debit as. Which form(s) should i do? If this is your first. Eft is a payment option available to the following business tax programs: To ensure successful completion of your eft tax payments, follow the steps below. Once this form is submitted electronic remittance advice (era) will be set up within 10 business days. Bcbs. Nebraska Eft Requirements.
From www.templateroller.com
Form NDE04060 2024 Fill Out, Sign Online and Download Fillable PDF Nebraska Eft Requirements If this is your first. In nebraska, consumers are protected against unauthorized electronic funds transfers on checking accounts through various regulations and laws,. Eft is a payment option available to the following business tax programs: Once this form is submitted electronic remittance advice (era) will be set up within 10 business days. Bcbs of nebraska (00760) era & eft enrollment. Nebraska Eft Requirements.
From www.templateroller.com
Form NDE28003 Fill Out, Sign Online and Download Fillable PDF Nebraska Eft Requirements Which form(s) should i do? Once this form is submitted electronic remittance advice (era) will be set up within 10 business days. In nebraska, consumers are protected against unauthorized electronic funds transfers on checking accounts through various regulations and laws,. To ensure successful completion of your eft tax payments, follow the steps below. If you have selected eft debit as.. Nebraska Eft Requirements.
From slideplayer.com
The Check Is Not In The Mail ppt download Nebraska Eft Requirements Which form(s) should i do? Bcbs of nebraska (00760) era & eft enrollment instructions. In nebraska, consumers are protected against unauthorized electronic funds transfers on checking accounts through various regulations and laws,. If you have selected eft debit as. Eft is a payment option available to the following business tax programs: To ensure successful completion of your eft tax payments,. Nebraska Eft Requirements.
From www.youtube.com
Nebraska Football Recruiting and Transfer Portal Update with Bryan Nebraska Eft Requirements Once this form is submitted electronic remittance advice (era) will be set up within 10 business days. If this is your first. To ensure successful completion of your eft tax payments, follow the steps below. Eft is a payment option available to the following business tax programs: Which form(s) should i do? Bcbs of nebraska (00760) era & eft enrollment. Nebraska Eft Requirements.
From www.jjkeller.com
Nebraska & Federal Electronic Labor Law Poster Management Service Nebraska Eft Requirements Which form(s) should i do? Eft is a payment option available to the following business tax programs: In nebraska, consumers are protected against unauthorized electronic funds transfers on checking accounts through various regulations and laws,. Bcbs of nebraska (00760) era & eft enrollment instructions. Once this form is submitted electronic remittance advice (era) will be set up within 10 business. Nebraska Eft Requirements.
From www.templateroller.com
Nebraska Assumption Reinsurance Notice of Transfer Fill Out, Sign Nebraska Eft Requirements Which form(s) should i do? If this is your first. In nebraska, consumers are protected against unauthorized electronic funds transfers on checking accounts through various regulations and laws,. Eft is a payment option available to the following business tax programs: Bcbs of nebraska (00760) era & eft enrollment instructions. Once this form is submitted electronic remittance advice (era) will be. Nebraska Eft Requirements.
From nebraskapublicmedia.org
Here’s how Nebraska funds its public schools. It involves a lot of Nebraska Eft Requirements Once this form is submitted electronic remittance advice (era) will be set up within 10 business days. If you have selected eft debit as. If this is your first. To ensure successful completion of your eft tax payments, follow the steps below. In nebraska, consumers are protected against unauthorized electronic funds transfers on checking accounts through various regulations and laws,.. Nebraska Eft Requirements.
From www.templateroller.com
Nebraska Nebraska Electronic Lien and Title Participating Lender Nebraska Eft Requirements Bcbs of nebraska (00760) era & eft enrollment instructions. If you have selected eft debit as. If this is your first. In nebraska, consumers are protected against unauthorized electronic funds transfers on checking accounts through various regulations and laws,. Once this form is submitted electronic remittance advice (era) will be set up within 10 business days. To ensure successful completion. Nebraska Eft Requirements.
From www.templateroller.com
Form NDE28003 Fill Out, Sign Online and Download Fillable PDF Nebraska Eft Requirements If you have selected eft debit as. Once this form is submitted electronic remittance advice (era) will be set up within 10 business days. In nebraska, consumers are protected against unauthorized electronic funds transfers on checking accounts through various regulations and laws,. Eft is a payment option available to the following business tax programs: Which form(s) should i do? If. Nebraska Eft Requirements.
From mvplaw.com
Nebraska Workers' Compensation Update MVP Law Nebraska Eft Requirements To ensure successful completion of your eft tax payments, follow the steps below. In nebraska, consumers are protected against unauthorized electronic funds transfers on checking accounts through various regulations and laws,. Eft is a payment option available to the following business tax programs: Bcbs of nebraska (00760) era & eft enrollment instructions. Once this form is submitted electronic remittance advice. Nebraska Eft Requirements.
From www.templateroller.com
Nebraska Electronic Filing Services Agreement Fill Out, Sign Online Nebraska Eft Requirements If you have selected eft debit as. In nebraska, consumers are protected against unauthorized electronic funds transfers on checking accounts through various regulations and laws,. Bcbs of nebraska (00760) era & eft enrollment instructions. Once this form is submitted electronic remittance advice (era) will be set up within 10 business days. Eft is a payment option available to the following. Nebraska Eft Requirements.
From www.templateroller.com
Nebraska Nebraska Electronic Lien and Title Nonparticipating Lender Nebraska Eft Requirements Bcbs of nebraska (00760) era & eft enrollment instructions. If you have selected eft debit as. In nebraska, consumers are protected against unauthorized electronic funds transfers on checking accounts through various regulations and laws,. Eft is a payment option available to the following business tax programs: If this is your first. Which form(s) should i do? Once this form is. Nebraska Eft Requirements.
From www.nebraska.gov
Nebraska Citation Payment Process Nebraska Eft Requirements Eft is a payment option available to the following business tax programs: In nebraska, consumers are protected against unauthorized electronic funds transfers on checking accounts through various regulations and laws,. Which form(s) should i do? Once this form is submitted electronic remittance advice (era) will be set up within 10 business days. If you have selected eft debit as. To. Nebraska Eft Requirements.
From www.templateroller.com
Form NDE25010 Download Printable PDF or Fill Online Application for Nebraska Eft Requirements Eft is a payment option available to the following business tax programs: Once this form is submitted electronic remittance advice (era) will be set up within 10 business days. In nebraska, consumers are protected against unauthorized electronic funds transfers on checking accounts through various regulations and laws,. If this is your first. Bcbs of nebraska (00760) era & eft enrollment. Nebraska Eft Requirements.
From www.templateroller.com
Nebraska Nebraska Electronic Lien and Title Change Title Request Nebraska Eft Requirements Eft is a payment option available to the following business tax programs: Which form(s) should i do? In nebraska, consumers are protected against unauthorized electronic funds transfers on checking accounts through various regulations and laws,. Bcbs of nebraska (00760) era & eft enrollment instructions. If this is your first. If you have selected eft debit as. Once this form is. Nebraska Eft Requirements.
From www.voicesofnebraska.com
Does Nebraska use an electronic voting system? Voices of Nebraska Nebraska Eft Requirements Which form(s) should i do? If you have selected eft debit as. In nebraska, consumers are protected against unauthorized electronic funds transfers on checking accounts through various regulations and laws,. Eft is a payment option available to the following business tax programs: To ensure successful completion of your eft tax payments, follow the steps below. If this is your first.. Nebraska Eft Requirements.
From www.templateroller.com
Nebraska Application for Electronic Access of Records Fill Out, Sign Nebraska Eft Requirements Which form(s) should i do? Once this form is submitted electronic remittance advice (era) will be set up within 10 business days. To ensure successful completion of your eft tax payments, follow the steps below. In nebraska, consumers are protected against unauthorized electronic funds transfers on checking accounts through various regulations and laws,. Bcbs of nebraska (00760) era & eft. Nebraska Eft Requirements.
From www.templateroller.com
Form 27D Fill Out, Sign Online and Download Fillable PDF, Nebraska Nebraska Eft Requirements Bcbs of nebraska (00760) era & eft enrollment instructions. To ensure successful completion of your eft tax payments, follow the steps below. Which form(s) should i do? If this is your first. If you have selected eft debit as. Once this form is submitted electronic remittance advice (era) will be set up within 10 business days. In nebraska, consumers are. Nebraska Eft Requirements.
From belf.nebraska.gov
Loup BELF Expiring Land Board of Educational Lands and Funds Nebraska Eft Requirements To ensure successful completion of your eft tax payments, follow the steps below. If this is your first. Which form(s) should i do? Eft is a payment option available to the following business tax programs: Bcbs of nebraska (00760) era & eft enrollment instructions. In nebraska, consumers are protected against unauthorized electronic funds transfers on checking accounts through various regulations. Nebraska Eft Requirements.
From www.formsbank.com
Nebraska Tax EFile Electronic Return Originator (Ero) Agreement Nebraska Eft Requirements In nebraska, consumers are protected against unauthorized electronic funds transfers on checking accounts through various regulations and laws,. To ensure successful completion of your eft tax payments, follow the steps below. If you have selected eft debit as. If this is your first. Bcbs of nebraska (00760) era & eft enrollment instructions. Once this form is submitted electronic remittance advice. Nebraska Eft Requirements.