11 X 15Y 23 0 11 X 15Y 23 0 . 11x + 15y + 23 = 0. Equation of a straight line. The equation solver allows you to enter your problem and solve the equation to see the result. 1.1 solve 11x+15y+23 = 0. Solve the following systems of equations: One or both the equations are multiplied by factors such that on addition or subtraction of the resulting two. 11x + 15y + 23 = 0. Because the resulting equation contains only one variable, you can solve for x. The given system of equation is. Click here:point_up_2:to get an answer to your. Solve the following systems of equations: Solve in one variable or many. Tiger recognizes that we have here an equation of a.
from brainly.in
11x + 15y + 23 = 0. The given system of equation is. Click here:point_up_2:to get an answer to your. One or both the equations are multiplied by factors such that on addition or subtraction of the resulting two. 11x + 15y + 23 = 0. Because the resulting equation contains only one variable, you can solve for x. Tiger recognizes that we have here an equation of a. The equation solver allows you to enter your problem and solve the equation to see the result. Equation of a straight line. Solve the following systems of equations:
Solve the simultaneous equations 11 x + 15 y + 23 = 0 and 7 x2 y20
11 X 15Y 23 0 11 X 15Y 23 0 The equation solver allows you to enter your problem and solve the equation to see the result. 11x + 15y + 23 = 0. Click here:point_up_2:to get an answer to your. One or both the equations are multiplied by factors such that on addition or subtraction of the resulting two. 11x + 15y + 23 = 0. Solve the following systems of equations: 1.1 solve 11x+15y+23 = 0. Because the resulting equation contains only one variable, you can solve for x. The equation solver allows you to enter your problem and solve the equation to see the result. Solve in one variable or many. Solve the following systems of equations: Equation of a straight line. The given system of equation is. Tiger recognizes that we have here an equation of a.
From brainly.in
solve 7x2y=20,11x+15y+23=0 in elimination method Brainly.in 11 X 15Y 23 0 11 X 15Y 23 0 Because the resulting equation contains only one variable, you can solve for x. The given system of equation is. 1.1 solve 11x+15y+23 = 0. Solve the following systems of equations: Click here:point_up_2:to get an answer to your. Solve in one variable or many. Tiger recognizes that we have here an equation of a. Solve the following systems of equations: 11x. 11 X 15Y 23 0 11 X 15Y 23 0.
From brainly.in
11x + 15y + 23 = 0 , 7x 2y 20 = 0 Brainly.in 11 X 15Y 23 0 11 X 15Y 23 0 The equation solver allows you to enter your problem and solve the equation to see the result. Click here:point_up_2:to get an answer to your. Solve in one variable or many. Because the resulting equation contains only one variable, you can solve for x. 11x + 15y + 23 = 0. 1.1 solve 11x+15y+23 = 0. Tiger recognizes that we have. 11 X 15Y 23 0 11 X 15Y 23 0.
From askfilo.com
EXAMPLE 4 Solve for x and y 11x+15y+23=0,7x−2y−20=0 Filo 11 X 15Y 23 0 11 X 15Y 23 0 11x + 15y + 23 = 0. Because the resulting equation contains only one variable, you can solve for x. Tiger recognizes that we have here an equation of a. Click here:point_up_2:to get an answer to your. Equation of a straight line. 11x + 15y + 23 = 0. 1.1 solve 11x+15y+23 = 0. The equation solver allows you to. 11 X 15Y 23 0 11 X 15Y 23 0.
From www.toppr.com
Solve 7x 2y = 20, 11x + 15y + 23 = 0 11 X 15Y 23 0 11 X 15Y 23 0 Click here:point_up_2:to get an answer to your. 11x + 15y + 23 = 0. Solve the following systems of equations: The given system of equation is. One or both the equations are multiplied by factors such that on addition or subtraction of the resulting two. 11x + 15y + 23 = 0. 1.1 solve 11x+15y+23 = 0. Solve in one. 11 X 15Y 23 0 11 X 15Y 23 0.
From brainly.in
solve this by cross multiplication method.11x+15y+23=07x2y20=0 11 X 15Y 23 0 11 X 15Y 23 0 Because the resulting equation contains only one variable, you can solve for x. Solve the following systems of equations: Tiger recognizes that we have here an equation of a. The given system of equation is. One or both the equations are multiplied by factors such that on addition or subtraction of the resulting two. 11x + 15y + 23 =. 11 X 15Y 23 0 11 X 15Y 23 0.
From brainly.in
11x + 15y +23=0= 11x + 15y =237x2y20=0= 7x2y = 20 Brainly.in 11 X 15Y 23 0 11 X 15Y 23 0 Solve in one variable or many. Tiger recognizes that we have here an equation of a. 1.1 solve 11x+15y+23 = 0. Because the resulting equation contains only one variable, you can solve for x. The equation solver allows you to enter your problem and solve the equation to see the result. Solve the following systems of equations: The given system. 11 X 15Y 23 0 11 X 15Y 23 0.
From brainly.in
solve the equation from substitution method or elimination method1. 11x 11 X 15Y 23 0 11 X 15Y 23 0 Solve the following systems of equations: Click here:point_up_2:to get an answer to your. Solve in one variable or many. Tiger recognizes that we have here an equation of a. 11x + 15y + 23 = 0. Solve the following systems of equations: One or both the equations are multiplied by factors such that on addition or subtraction of the resulting. 11 X 15Y 23 0 11 X 15Y 23 0.
From brainly.in
11x+15y+23=0 and 7x2y23=0 solve the elemination method Brainly.in 11 X 15Y 23 0 11 X 15Y 23 0 Tiger recognizes that we have here an equation of a. The given system of equation is. One or both the equations are multiplied by factors such that on addition or subtraction of the resulting two. 11x + 15y + 23 = 0. 11x + 15y + 23 = 0. 1.1 solve 11x+15y+23 = 0. Click here:point_up_2:to get an answer to. 11 X 15Y 23 0 11 X 15Y 23 0.
From www.youtube.com
1 11x+15y+23=0 7x2y20=0 elimination method solve the following 11 X 15Y 23 0 11 X 15Y 23 0 One or both the equations are multiplied by factors such that on addition or subtraction of the resulting two. Solve in one variable or many. The equation solver allows you to enter your problem and solve the equation to see the result. 11x + 15y + 23 = 0. Solve the following systems of equations: The given system of equation. 11 X 15Y 23 0 11 X 15Y 23 0.
From brainly.in
solve 11x +15y +23 =0, 7x2y20 by cross multiplication method Brainly.in 11 X 15Y 23 0 11 X 15Y 23 0 One or both the equations are multiplied by factors such that on addition or subtraction of the resulting two. The given system of equation is. Solve in one variable or many. Because the resulting equation contains only one variable, you can solve for x. 11x + 15y + 23 = 0. Solve the following systems of equations: 11x + 15y. 11 X 15Y 23 0 11 X 15Y 23 0.
From brainly.in
solve for x and y 11x+15y+23=0;7x2y20=0 Brainly.in 11 X 15Y 23 0 11 X 15Y 23 0 Equation of a straight line. 11x + 15y + 23 = 0. Solve the following systems of equations: The given system of equation is. The equation solver allows you to enter your problem and solve the equation to see the result. Tiger recognizes that we have here an equation of a. 1.1 solve 11x+15y+23 = 0. One or both the. 11 X 15Y 23 0 11 X 15Y 23 0.
From www.chegg.com
Solved L.P. Model Minimize Z=24X+15Y Subject to 11 X 15Y 23 0 11 X 15Y 23 0 11x + 15y + 23 = 0. Equation of a straight line. 1.1 solve 11x+15y+23 = 0. Solve the following systems of equations: Tiger recognizes that we have here an equation of a. 11x + 15y + 23 = 0. One or both the equations are multiplied by factors such that on addition or subtraction of the resulting two. Solve. 11 X 15Y 23 0 11 X 15Y 23 0.
From brainly.in
11x+15y+23=0 and 7x2y20=0 solve by elemination method Brainly.in 11 X 15Y 23 0 11 X 15Y 23 0 Because the resulting equation contains only one variable, you can solve for x. Equation of a straight line. One or both the equations are multiplied by factors such that on addition or subtraction of the resulting two. Solve in one variable or many. Solve the following systems of equations: 1.1 solve 11x+15y+23 = 0. 11x + 15y + 23 =. 11 X 15Y 23 0 11 X 15Y 23 0.
From www.toppr.com
Solde the following systems of equations 1. 11x + 15y + 23 = 0 7x 2y 11 X 15Y 23 0 11 X 15Y 23 0 The given system of equation is. 11x + 15y + 23 = 0. One or both the equations are multiplied by factors such that on addition or subtraction of the resulting two. The equation solver allows you to enter your problem and solve the equation to see the result. Solve in one variable or many. 1.1 solve 11x+15y+23 = 0.. 11 X 15Y 23 0 11 X 15Y 23 0.
From www.youtube.com
विलोपन विधि द्वारा निम्न समीकरणों युग्मों को हल कीजिए। `11x+15y+23=0 11 X 15Y 23 0 11 X 15Y 23 0 Solve the following systems of equations: 1.1 solve 11x+15y+23 = 0. Equation of a straight line. Tiger recognizes that we have here an equation of a. 11x + 15y + 23 = 0. Because the resulting equation contains only one variable, you can solve for x. The given system of equation is. One or both the equations are multiplied by. 11 X 15Y 23 0 11 X 15Y 23 0.
From askfilo.com
EXAMPLE 4 Solve for x and y 11x+15y+23=0,7x−2y−20=0 Filo 11 X 15Y 23 0 11 X 15Y 23 0 One or both the equations are multiplied by factors such that on addition or subtraction of the resulting two. Solve the following systems of equations: 11x + 15y + 23 = 0. The equation solver allows you to enter your problem and solve the equation to see the result. The given system of equation is. Solve in one variable or. 11 X 15Y 23 0 11 X 15Y 23 0.
From www.chegg.com
Solved L.P. Model Minimize Subject to Z = 24X + 15Y 7X+ 11 X 15Y 23 0 11 X 15Y 23 0 Click here:point_up_2:to get an answer to your. The given system of equation is. Solve the following systems of equations: One or both the equations are multiplied by factors such that on addition or subtraction of the resulting two. Because the resulting equation contains only one variable, you can solve for x. 1.1 solve 11x+15y+23 = 0. Solve in one variable. 11 X 15Y 23 0 11 X 15Y 23 0.
From podemos.mx
Créditos solidarios Podemos Progresar 11 X 15Y 23 0 11 X 15Y 23 0 Because the resulting equation contains only one variable, you can solve for x. Solve the following systems of equations: 11x + 15y + 23 = 0. Equation of a straight line. 1.1 solve 11x+15y+23 = 0. 11x + 15y + 23 = 0. One or both the equations are multiplied by factors such that on addition or subtraction of the. 11 X 15Y 23 0 11 X 15Y 23 0.
From brainly.in
solve the equation by substitution and elimination method 11x+15y+23=0 11 X 15Y 23 0 11 X 15Y 23 0 The given system of equation is. Equation of a straight line. 1.1 solve 11x+15y+23 = 0. 11x + 15y + 23 = 0. One or both the equations are multiplied by factors such that on addition or subtraction of the resulting two. The equation solver allows you to enter your problem and solve the equation to see the result. Solve. 11 X 15Y 23 0 11 X 15Y 23 0.
From brainly.in
7x 2y = 20, 11x + 15y + 23 = 0 Brainly.in 11 X 15Y 23 0 11 X 15Y 23 0 The given system of equation is. Equation of a straight line. Because the resulting equation contains only one variable, you can solve for x. 11x + 15y + 23 = 0. Click here:point_up_2:to get an answer to your. Solve in one variable or many. 1.1 solve 11x+15y+23 = 0. One or both the equations are multiplied by factors such that. 11 X 15Y 23 0 11 X 15Y 23 0.
From www.youtube.com
RD Sharma Class 10 EX 3.3 Q 2 Solve the equation 11x+15y+23=0 7x2y20 11 X 15Y 23 0 11 X 15Y 23 0 The equation solver allows you to enter your problem and solve the equation to see the result. Equation of a straight line. Solve the following systems of equations: Because the resulting equation contains only one variable, you can solve for x. 1.1 solve 11x+15y+23 = 0. 11x + 15y + 23 = 0. Click here:point_up_2:to get an answer to your.. 11 X 15Y 23 0 11 X 15Y 23 0.
From brainly.in
solve 11x+15y+23=0, 7x2y20=0 by cross multiplication method 11 X 15Y 23 0 11 X 15Y 23 0 11x + 15y + 23 = 0. Solve in one variable or many. Solve the following systems of equations: One or both the equations are multiplied by factors such that on addition or subtraction of the resulting two. The given system of equation is. 1.1 solve 11x+15y+23 = 0. 11x + 15y + 23 = 0. Because the resulting equation. 11 X 15Y 23 0 11 X 15Y 23 0.
From brainly.in
Solve for x and y 11x ± 15y + 23 =0; 7x 2y 20 = 0. Brainly.in 11 X 15Y 23 0 11 X 15Y 23 0 Solve in one variable or many. 11x + 15y + 23 = 0. One or both the equations are multiplied by factors such that on addition or subtraction of the resulting two. The equation solver allows you to enter your problem and solve the equation to see the result. Because the resulting equation contains only one variable, you can solve. 11 X 15Y 23 0 11 X 15Y 23 0.
From brainly.in
solve the equation by substitution and elimination method 11x+15y+23=0 11 X 15Y 23 0 11 X 15Y 23 0 The equation solver allows you to enter your problem and solve the equation to see the result. Solve the following systems of equations: The given system of equation is. Click here:point_up_2:to get an answer to your. Solve in one variable or many. Equation of a straight line. Tiger recognizes that we have here an equation of a. 11x + 15y. 11 X 15Y 23 0 11 X 15Y 23 0.
From brainly.in
11x + 15y+ 23 = 0 and 7x 2y 20 = 0 by elimination of coefficients 11 X 15Y 23 0 11 X 15Y 23 0 11x + 15y + 23 = 0. Solve the following systems of equations: Click here:point_up_2:to get an answer to your. Equation of a straight line. Solve the following systems of equations: The equation solver allows you to enter your problem and solve the equation to see the result. Solve in one variable or many. One or both the equations are. 11 X 15Y 23 0 11 X 15Y 23 0.
From www.toppr.com
Solde the following systems of equations 1. 11x + 15y + 23 = 0 7x 2y 11 X 15Y 23 0 11 X 15Y 23 0 Solve the following systems of equations: The given system of equation is. Equation of a straight line. Click here:point_up_2:to get an answer to your. 11x + 15y + 23 = 0. Because the resulting equation contains only one variable, you can solve for x. Solve the following systems of equations: 11x + 15y + 23 = 0. Solve in one. 11 X 15Y 23 0 11 X 15Y 23 0.
From brainly.in
solve 11x +15y +23 =0, 7x2y20 by cross multiplication method Brainly.in 11 X 15Y 23 0 11 X 15Y 23 0 Because the resulting equation contains only one variable, you can solve for x. The equation solver allows you to enter your problem and solve the equation to see the result. 11x + 15y + 23 = 0. Tiger recognizes that we have here an equation of a. The given system of equation is. Solve the following systems of equations: Equation. 11 X 15Y 23 0 11 X 15Y 23 0.
From brainly.in
Solve the following equation by substitution method 11x+15y+23=0 11 X 15Y 23 0 11 X 15Y 23 0 One or both the equations are multiplied by factors such that on addition or subtraction of the resulting two. Solve the following systems of equations: 11x + 15y + 23 = 0. 11x + 15y + 23 = 0. Solve in one variable or many. Equation of a straight line. Solve the following systems of equations: The equation solver allows. 11 X 15Y 23 0 11 X 15Y 23 0.
From www.toppr.com
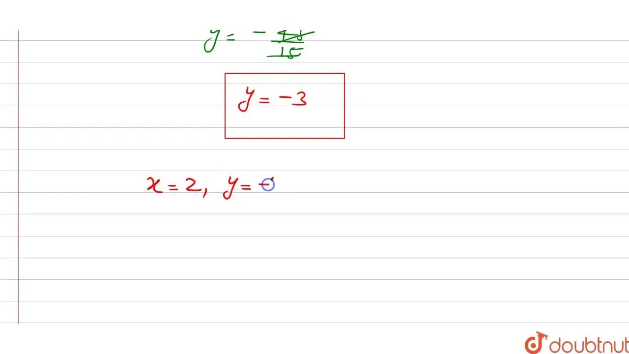
x = 2, y = 1, 2 Hence, LE Solde the following systems of equations 1 11 X 15Y 23 0 11 X 15Y 23 0 The equation solver allows you to enter your problem and solve the equation to see the result. Solve the following systems of equations: Solve the following systems of equations: Tiger recognizes that we have here an equation of a. 11x + 15y + 23 = 0. Because the resulting equation contains only one variable, you can solve for x. Equation. 11 X 15Y 23 0 11 X 15Y 23 0.
From www.chegg.com
Solved L.P.Model 24 Minimize Z= 15X+15Y 22 7X+11Y 66 11 X 15Y 23 0 11 X 15Y 23 0 Click here:point_up_2:to get an answer to your. The equation solver allows you to enter your problem and solve the equation to see the result. 1.1 solve 11x+15y+23 = 0. Tiger recognizes that we have here an equation of a. Because the resulting equation contains only one variable, you can solve for x. Equation of a straight line. 11x + 15y. 11 X 15Y 23 0 11 X 15Y 23 0.
From brainly.in
Solve using substitution method 11x+15y+23=0,7x2y20=0 Brainly.in 11 X 15Y 23 0 11 X 15Y 23 0 11x + 15y + 23 = 0. Click here:point_up_2:to get an answer to your. Solve in one variable or many. Tiger recognizes that we have here an equation of a. One or both the equations are multiplied by factors such that on addition or subtraction of the resulting two. Because the resulting equation contains only one variable, you can solve. 11 X 15Y 23 0 11 X 15Y 23 0.
From brainly.in
Solve the simultaneous equations 11 x + 15 y + 23 = 0 and 7 x2 y20 11 X 15Y 23 0 11 X 15Y 23 0 11x + 15y + 23 = 0. Solve the following systems of equations: Click here:point_up_2:to get an answer to your. 1.1 solve 11x+15y+23 = 0. Because the resulting equation contains only one variable, you can solve for x. The equation solver allows you to enter your problem and solve the equation to see the result. 11x + 15y + 23. 11 X 15Y 23 0 11 X 15Y 23 0.
From brainly.in
11x+15y+23=0, 7x2y20=0 Brainly.in 11 X 15Y 23 0 11 X 15Y 23 0 Solve the following systems of equations: Tiger recognizes that we have here an equation of a. Click here:point_up_2:to get an answer to your. One or both the equations are multiplied by factors such that on addition or subtraction of the resulting two. Because the resulting equation contains only one variable, you can solve for x. 1.1 solve 11x+15y+23 = 0.. 11 X 15Y 23 0 11 X 15Y 23 0.
From brainly.in
11x+15y+23=0 and 7x2y20=0 (x, y) =? Brainly.in 11 X 15Y 23 0 11 X 15Y 23 0 The given system of equation is. One or both the equations are multiplied by factors such that on addition or subtraction of the resulting two. The equation solver allows you to enter your problem and solve the equation to see the result. Solve the following systems of equations: Solve in one variable or many. 11x + 15y + 23 =. 11 X 15Y 23 0 11 X 15Y 23 0.
From www.doubtnut.com
निम्नलिखित रैखिक समीकरण युग्म को हल करें। 11x+15y+23=0,7x2y20=0. 11 X 15Y 23 0 11 X 15Y 23 0 Solve in one variable or many. Equation of a straight line. The given system of equation is. Tiger recognizes that we have here an equation of a. One or both the equations are multiplied by factors such that on addition or subtraction of the resulting two. Solve the following systems of equations: 11x + 15y + 23 = 0. Solve. 11 X 15Y 23 0 11 X 15Y 23 0.