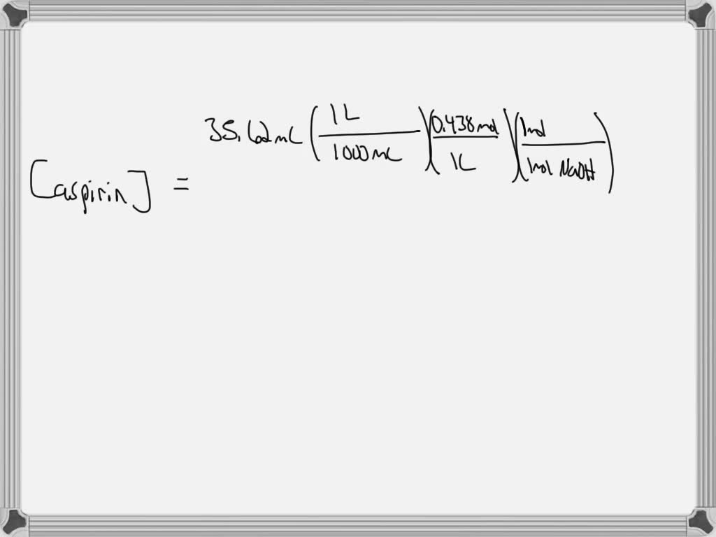
Acid Base Titration Of Aspirin . Indirect titration the aspirin is a weak acid that undergoes slow hydrolysis, therefore aspirin molecule reacts with two hydroxide ions. Titrate the first aspirin sample with naoh to the first permanent cloudy pink color. In this exercise, students analyze tablets containing acetylsalicylic acid and calculate the content of the active component c8h7o2cooh. Aspirin titration with base 4. Titration is a way to determine how much acid is in a solution by adding just enough base, of a known concentration, to neutralize the acid.
from www.geeksforgeeks.org
Aspirin titration with base 4. Indirect titration the aspirin is a weak acid that undergoes slow hydrolysis, therefore aspirin molecule reacts with two hydroxide ions. In this exercise, students analyze tablets containing acetylsalicylic acid and calculate the content of the active component c8h7o2cooh. Titrate the first aspirin sample with naoh to the first permanent cloudy pink color. Titration is a way to determine how much acid is in a solution by adding just enough base, of a known concentration, to neutralize the acid.
AcidBase Titration Definition, Examples, Types, Key Terms
Acid Base Titration Of Aspirin Titration is a way to determine how much acid is in a solution by adding just enough base, of a known concentration, to neutralize the acid. Aspirin titration with base 4. Indirect titration the aspirin is a weak acid that undergoes slow hydrolysis, therefore aspirin molecule reacts with two hydroxide ions. In this exercise, students analyze tablets containing acetylsalicylic acid and calculate the content of the active component c8h7o2cooh. Titration is a way to determine how much acid is in a solution by adding just enough base, of a known concentration, to neutralize the acid. Titrate the first aspirin sample with naoh to the first permanent cloudy pink color.
From www.numerade.com
SOLVED You are performing an acidbase titration to determine the Acid Base Titration Of Aspirin Indirect titration the aspirin is a weak acid that undergoes slow hydrolysis, therefore aspirin molecule reacts with two hydroxide ions. In this exercise, students analyze tablets containing acetylsalicylic acid and calculate the content of the active component c8h7o2cooh. Titrate the first aspirin sample with naoh to the first permanent cloudy pink color. Aspirin titration with base 4. Titration is a. Acid Base Titration Of Aspirin.
From mavink.com
Synthesis Of Aspirin From Salicylic Acid Acid Base Titration Of Aspirin Titrate the first aspirin sample with naoh to the first permanent cloudy pink color. Indirect titration the aspirin is a weak acid that undergoes slow hydrolysis, therefore aspirin molecule reacts with two hydroxide ions. Titration is a way to determine how much acid is in a solution by adding just enough base, of a known concentration, to neutralize the acid.. Acid Base Titration Of Aspirin.
From www.sliderbase.com
Titration Acid Base Titration Of Aspirin Aspirin titration with base 4. Titration is a way to determine how much acid is in a solution by adding just enough base, of a known concentration, to neutralize the acid. Indirect titration the aspirin is a weak acid that undergoes slow hydrolysis, therefore aspirin molecule reacts with two hydroxide ions. Titrate the first aspirin sample with naoh to the. Acid Base Titration Of Aspirin.
From www.studypool.com
SOLUTION Lab procedure for determination of aspirin purity through Acid Base Titration Of Aspirin In this exercise, students analyze tablets containing acetylsalicylic acid and calculate the content of the active component c8h7o2cooh. Indirect titration the aspirin is a weak acid that undergoes slow hydrolysis, therefore aspirin molecule reacts with two hydroxide ions. Titrate the first aspirin sample with naoh to the first permanent cloudy pink color. Titration is a way to determine how much. Acid Base Titration Of Aspirin.
From slidetodoc.com
Experiment involving aspirin to teach acidbase titration Experiment Acid Base Titration Of Aspirin In this exercise, students analyze tablets containing acetylsalicylic acid and calculate the content of the active component c8h7o2cooh. Indirect titration the aspirin is a weak acid that undergoes slow hydrolysis, therefore aspirin molecule reacts with two hydroxide ions. Titration is a way to determine how much acid is in a solution by adding just enough base, of a known concentration,. Acid Base Titration Of Aspirin.
From www.numerade.com
SOLVED Qualitatively, the purity of an aspirin sample can be Acid Base Titration Of Aspirin In this exercise, students analyze tablets containing acetylsalicylic acid and calculate the content of the active component c8h7o2cooh. Aspirin titration with base 4. Indirect titration the aspirin is a weak acid that undergoes slow hydrolysis, therefore aspirin molecule reacts with two hydroxide ions. Titration is a way to determine how much acid is in a solution by adding just enough. Acid Base Titration Of Aspirin.
From www.studypool.com
SOLUTION Lab procedure for determination of aspirin purity through Acid Base Titration Of Aspirin In this exercise, students analyze tablets containing acetylsalicylic acid and calculate the content of the active component c8h7o2cooh. Titrate the first aspirin sample with naoh to the first permanent cloudy pink color. Titration is a way to determine how much acid is in a solution by adding just enough base, of a known concentration, to neutralize the acid. Aspirin titration. Acid Base Titration Of Aspirin.
From www.numerade.com
SOLVED You are performing an acidbase titration to determine the Acid Base Titration Of Aspirin Indirect titration the aspirin is a weak acid that undergoes slow hydrolysis, therefore aspirin molecule reacts with two hydroxide ions. In this exercise, students analyze tablets containing acetylsalicylic acid and calculate the content of the active component c8h7o2cooh. Aspirin titration with base 4. Titration is a way to determine how much acid is in a solution by adding just enough. Acid Base Titration Of Aspirin.
From www.scribd.com
Aspirin Titration Titration Chemistry Acid Base Titration Of Aspirin Indirect titration the aspirin is a weak acid that undergoes slow hydrolysis, therefore aspirin molecule reacts with two hydroxide ions. Titration is a way to determine how much acid is in a solution by adding just enough base, of a known concentration, to neutralize the acid. Titrate the first aspirin sample with naoh to the first permanent cloudy pink color.. Acid Base Titration Of Aspirin.
From www.slideserve.com
PPT Acid Base Titrations PowerPoint Presentation, free download ID Acid Base Titration Of Aspirin Titration is a way to determine how much acid is in a solution by adding just enough base, of a known concentration, to neutralize the acid. Indirect titration the aspirin is a weak acid that undergoes slow hydrolysis, therefore aspirin molecule reacts with two hydroxide ions. In this exercise, students analyze tablets containing acetylsalicylic acid and calculate the content of. Acid Base Titration Of Aspirin.
From studylib.net
Determination of Aspirin using Back Titration Acid Base Titration Of Aspirin Titration is a way to determine how much acid is in a solution by adding just enough base, of a known concentration, to neutralize the acid. In this exercise, students analyze tablets containing acetylsalicylic acid and calculate the content of the active component c8h7o2cooh. Indirect titration the aspirin is a weak acid that undergoes slow hydrolysis, therefore aspirin molecule reacts. Acid Base Titration Of Aspirin.
From www.numerade.com
SOLVED The titration curve for aspirin is given below. How many Acid Base Titration Of Aspirin Indirect titration the aspirin is a weak acid that undergoes slow hydrolysis, therefore aspirin molecule reacts with two hydroxide ions. Aspirin titration with base 4. Titrate the first aspirin sample with naoh to the first permanent cloudy pink color. Titration is a way to determine how much acid is in a solution by adding just enough base, of a known. Acid Base Titration Of Aspirin.
From www.numerade.com
SOLVED Analysis of Aspirin (acetylsalicylic acid, ASA) in aspirin. The Acid Base Titration Of Aspirin Titration is a way to determine how much acid is in a solution by adding just enough base, of a known concentration, to neutralize the acid. In this exercise, students analyze tablets containing acetylsalicylic acid and calculate the content of the active component c8h7o2cooh. Indirect titration the aspirin is a weak acid that undergoes slow hydrolysis, therefore aspirin molecule reacts. Acid Base Titration Of Aspirin.
From www.biorender.com
AcidBase Titration BioRender Science Templates Acid Base Titration Of Aspirin In this exercise, students analyze tablets containing acetylsalicylic acid and calculate the content of the active component c8h7o2cooh. Indirect titration the aspirin is a weak acid that undergoes slow hydrolysis, therefore aspirin molecule reacts with two hydroxide ions. Titrate the first aspirin sample with naoh to the first permanent cloudy pink color. Titration is a way to determine how much. Acid Base Titration Of Aspirin.
From www.priyamstudycentre.com
Acid Base Titration Principle, Types, Process, Indicators Acid Base Titration Of Aspirin Titration is a way to determine how much acid is in a solution by adding just enough base, of a known concentration, to neutralize the acid. In this exercise, students analyze tablets containing acetylsalicylic acid and calculate the content of the active component c8h7o2cooh. Indirect titration the aspirin is a weak acid that undergoes slow hydrolysis, therefore aspirin molecule reacts. Acid Base Titration Of Aspirin.
From general.chemistrysteps.com
Titration of a Weak Base by a Strong Acid Chemistry Steps Acid Base Titration Of Aspirin Indirect titration the aspirin is a weak acid that undergoes slow hydrolysis, therefore aspirin molecule reacts with two hydroxide ions. Aspirin titration with base 4. Titrate the first aspirin sample with naoh to the first permanent cloudy pink color. Titration is a way to determine how much acid is in a solution by adding just enough base, of a known. Acid Base Titration Of Aspirin.
From www.youtube.com
Acid Base Titration Problems, Basic Introduction, Calculations Acid Base Titration Of Aspirin Titrate the first aspirin sample with naoh to the first permanent cloudy pink color. Indirect titration the aspirin is a weak acid that undergoes slow hydrolysis, therefore aspirin molecule reacts with two hydroxide ions. Aspirin titration with base 4. Titration is a way to determine how much acid is in a solution by adding just enough base, of a known. Acid Base Titration Of Aspirin.
From www.coursehero.com
[Solved] Hydrolysis of aspirin (acetylsalicylic acid). Titration of Acid Base Titration Of Aspirin Indirect titration the aspirin is a weak acid that undergoes slow hydrolysis, therefore aspirin molecule reacts with two hydroxide ions. In this exercise, students analyze tablets containing acetylsalicylic acid and calculate the content of the active component c8h7o2cooh. Aspirin titration with base 4. Titration is a way to determine how much acid is in a solution by adding just enough. Acid Base Titration Of Aspirin.
From dokumen.tips
(PPT) AcidBase Titration An Analysis of Aspirin Tablets DOKUMEN.TIPS Acid Base Titration Of Aspirin Indirect titration the aspirin is a weak acid that undergoes slow hydrolysis, therefore aspirin molecule reacts with two hydroxide ions. Titrate the first aspirin sample with naoh to the first permanent cloudy pink color. Aspirin titration with base 4. In this exercise, students analyze tablets containing acetylsalicylic acid and calculate the content of the active component c8h7o2cooh. Titration is a. Acid Base Titration Of Aspirin.
From www.youtube.com
Acid Base Titration Experiment Acid base Titration Practical and Acid Base Titration Of Aspirin Indirect titration the aspirin is a weak acid that undergoes slow hydrolysis, therefore aspirin molecule reacts with two hydroxide ions. In this exercise, students analyze tablets containing acetylsalicylic acid and calculate the content of the active component c8h7o2cooh. Titration is a way to determine how much acid is in a solution by adding just enough base, of a known concentration,. Acid Base Titration Of Aspirin.
From docs.google.com
Titration of Aspirin DCP Lab Google Docs Acid Base Titration Of Aspirin Aspirin titration with base 4. Titration is a way to determine how much acid is in a solution by adding just enough base, of a known concentration, to neutralize the acid. Indirect titration the aspirin is a weak acid that undergoes slow hydrolysis, therefore aspirin molecule reacts with two hydroxide ions. Titrate the first aspirin sample with naoh to the. Acid Base Titration Of Aspirin.
From scienceinfo.com
Acidbase Titration 4 Types, Theory, Working Principle Acid Base Titration Of Aspirin Titration is a way to determine how much acid is in a solution by adding just enough base, of a known concentration, to neutralize the acid. In this exercise, students analyze tablets containing acetylsalicylic acid and calculate the content of the active component c8h7o2cooh. Aspirin titration with base 4. Indirect titration the aspirin is a weak acid that undergoes slow. Acid Base Titration Of Aspirin.
From chem.libretexts.org
9.2 AcidBase Titrations Chemistry LibreTexts Acid Base Titration Of Aspirin Titration is a way to determine how much acid is in a solution by adding just enough base, of a known concentration, to neutralize the acid. Titrate the first aspirin sample with naoh to the first permanent cloudy pink color. Indirect titration the aspirin is a weak acid that undergoes slow hydrolysis, therefore aspirin molecule reacts with two hydroxide ions.. Acid Base Titration Of Aspirin.
From www.youtube.com
Learn how to calculate the average mass of aspirin in tablets using a Acid Base Titration Of Aspirin Indirect titration the aspirin is a weak acid that undergoes slow hydrolysis, therefore aspirin molecule reacts with two hydroxide ions. Titration is a way to determine how much acid is in a solution by adding just enough base, of a known concentration, to neutralize the acid. Aspirin titration with base 4. In this exercise, students analyze tablets containing acetylsalicylic acid. Acid Base Titration Of Aspirin.
From studylib.net
Experiment AcidBase Titration of Aspirin Acid Base Titration Of Aspirin In this exercise, students analyze tablets containing acetylsalicylic acid and calculate the content of the active component c8h7o2cooh. Aspirin titration with base 4. Indirect titration the aspirin is a weak acid that undergoes slow hydrolysis, therefore aspirin molecule reacts with two hydroxide ions. Titration is a way to determine how much acid is in a solution by adding just enough. Acid Base Titration Of Aspirin.
From www.studocu.com
Aspirin tablets titration Titration of Aspirin Tablets In this lab Acid Base Titration Of Aspirin In this exercise, students analyze tablets containing acetylsalicylic acid and calculate the content of the active component c8h7o2cooh. Indirect titration the aspirin is a weak acid that undergoes slow hydrolysis, therefore aspirin molecule reacts with two hydroxide ions. Aspirin titration with base 4. Titrate the first aspirin sample with naoh to the first permanent cloudy pink color. Titration is a. Acid Base Titration Of Aspirin.
From www.studypool.com
SOLUTION Lab procedure for determination of aspirin purity through Acid Base Titration Of Aspirin In this exercise, students analyze tablets containing acetylsalicylic acid and calculate the content of the active component c8h7o2cooh. Aspirin titration with base 4. Indirect titration the aspirin is a weak acid that undergoes slow hydrolysis, therefore aspirin molecule reacts with two hydroxide ions. Titrate the first aspirin sample with naoh to the first permanent cloudy pink color. Titration is a. Acid Base Titration Of Aspirin.
From www.scribd.com
Exp10 Analysis of Aspirin PDF Titration Chemistry Acid Base Titration Of Aspirin Aspirin titration with base 4. Titration is a way to determine how much acid is in a solution by adding just enough base, of a known concentration, to neutralize the acid. In this exercise, students analyze tablets containing acetylsalicylic acid and calculate the content of the active component c8h7o2cooh. Titrate the first aspirin sample with naoh to the first permanent. Acid Base Titration Of Aspirin.
From www.scribd.com
Quantitative Analysis of Acetylsalicylic Acid Content in Aspirin Acid Base Titration Of Aspirin Titration is a way to determine how much acid is in a solution by adding just enough base, of a known concentration, to neutralize the acid. In this exercise, students analyze tablets containing acetylsalicylic acid and calculate the content of the active component c8h7o2cooh. Aspirin titration with base 4. Titrate the first aspirin sample with naoh to the first permanent. Acid Base Titration Of Aspirin.
From studylib.net
aspirin titration lab Acid Base Titration Of Aspirin Titration is a way to determine how much acid is in a solution by adding just enough base, of a known concentration, to neutralize the acid. Titrate the first aspirin sample with naoh to the first permanent cloudy pink color. In this exercise, students analyze tablets containing acetylsalicylic acid and calculate the content of the active component c8h7o2cooh. Indirect titration. Acid Base Titration Of Aspirin.
From themasterchemistry.com
Acid Base TitrationWorking Principle, Process, Types And Indicators Acid Base Titration Of Aspirin In this exercise, students analyze tablets containing acetylsalicylic acid and calculate the content of the active component c8h7o2cooh. Indirect titration the aspirin is a weak acid that undergoes slow hydrolysis, therefore aspirin molecule reacts with two hydroxide ions. Aspirin titration with base 4. Titration is a way to determine how much acid is in a solution by adding just enough. Acid Base Titration Of Aspirin.
From www.scribd.com
Experiment AcidBase Titration of Aspirin Objective PDF Sodium Acid Base Titration Of Aspirin Titration is a way to determine how much acid is in a solution by adding just enough base, of a known concentration, to neutralize the acid. Titrate the first aspirin sample with naoh to the first permanent cloudy pink color. Indirect titration the aspirin is a weak acid that undergoes slow hydrolysis, therefore aspirin molecule reacts with two hydroxide ions.. Acid Base Titration Of Aspirin.
From www.chegg.com
Solved 1 Determination of Aspirin using acid base titration Acid Base Titration Of Aspirin In this exercise, students analyze tablets containing acetylsalicylic acid and calculate the content of the active component c8h7o2cooh. Titrate the first aspirin sample with naoh to the first permanent cloudy pink color. Indirect titration the aspirin is a weak acid that undergoes slow hydrolysis, therefore aspirin molecule reacts with two hydroxide ions. Titration is a way to determine how much. Acid Base Titration Of Aspirin.
From chem.libretexts.org
9.2 AcidBase Titrations Chemistry LibreTexts Acid Base Titration Of Aspirin Titration is a way to determine how much acid is in a solution by adding just enough base, of a known concentration, to neutralize the acid. Titrate the first aspirin sample with naoh to the first permanent cloudy pink color. Aspirin titration with base 4. In this exercise, students analyze tablets containing acetylsalicylic acid and calculate the content of the. Acid Base Titration Of Aspirin.
From www.geeksforgeeks.org
AcidBase Titration Definition, Examples, Types, Key Terms Acid Base Titration Of Aspirin In this exercise, students analyze tablets containing acetylsalicylic acid and calculate the content of the active component c8h7o2cooh. Aspirin titration with base 4. Indirect titration the aspirin is a weak acid that undergoes slow hydrolysis, therefore aspirin molecule reacts with two hydroxide ions. Titrate the first aspirin sample with naoh to the first permanent cloudy pink color. Titration is a. Acid Base Titration Of Aspirin.