Chapter 43 Medical Records Management Key Terms . Take a look at our interactive learning quiz about ma chapter 43, or create your own quiz using our free cloud based quiz maker. What is medical record management? The medical record itself, whether paper or electronic, is owned by the physician. Discuss the ownership of a paper medical record. It is the process of controlling and handling medical records from the time a record is created until it. Terms in this set (49) the patient controls the information in the medical record and access to it. Consider several factors when choosing a filing system for paper medical records numeric records are best for maintaining privacy; Chapter 43 medical records management question: The process of controlling and handling. Consistent, current and complete documentation in the medical record is an essential component of quality patient care. Study with quizlet and memorize flashcards containing terms like medical record, levels of access, paper based medical records and more. J evaluation of learning 1.
from template.mapadapalavra.ba.gov.br
Study with quizlet and memorize flashcards containing terms like medical record, levels of access, paper based medical records and more. The process of controlling and handling. J evaluation of learning 1. It is the process of controlling and handling medical records from the time a record is created until it. What is medical record management? Consistent, current and complete documentation in the medical record is an essential component of quality patient care. Take a look at our interactive learning quiz about ma chapter 43, or create your own quiz using our free cloud based quiz maker. Consider several factors when choosing a filing system for paper medical records numeric records are best for maintaining privacy; The medical record itself, whether paper or electronic, is owned by the physician. Discuss the ownership of a paper medical record.
Ehr Implementation Plan Template
Chapter 43 Medical Records Management Key Terms J evaluation of learning 1. Consider several factors when choosing a filing system for paper medical records numeric records are best for maintaining privacy; Terms in this set (49) the patient controls the information in the medical record and access to it. It is the process of controlling and handling medical records from the time a record is created until it. Chapter 43 medical records management question: J evaluation of learning 1. Consistent, current and complete documentation in the medical record is an essential component of quality patient care. Take a look at our interactive learning quiz about ma chapter 43, or create your own quiz using our free cloud based quiz maker. The process of controlling and handling. What is medical record management? Study with quizlet and memorize flashcards containing terms like medical record, levels of access, paper based medical records and more. The medical record itself, whether paper or electronic, is owned by the physician. Discuss the ownership of a paper medical record.
From www.chegg.com
Records Management Chapter 3 Supplementary Activity Chapter 43 Medical Records Management Key Terms Discuss the ownership of a paper medical record. Consistent, current and complete documentation in the medical record is an essential component of quality patient care. Study with quizlet and memorize flashcards containing terms like medical record, levels of access, paper based medical records and more. Consider several factors when choosing a filing system for paper medical records numeric records are. Chapter 43 Medical Records Management Key Terms.
From www.medicaltranscriptionservicecompany.com
Key Considerations For Managing Medical Records Chapter 43 Medical Records Management Key Terms Terms in this set (49) the patient controls the information in the medical record and access to it. Consider several factors when choosing a filing system for paper medical records numeric records are best for maintaining privacy; J evaluation of learning 1. Study with quizlet and memorize flashcards containing terms like medical record, levels of access, paper based medical records. Chapter 43 Medical Records Management Key Terms.
From www.slideserve.com
PPT Health Records Management Foundation PowerPoint Presentation ID782349 Chapter 43 Medical Records Management Key Terms Discuss the ownership of a paper medical record. J evaluation of learning 1. Chapter 43 medical records management question: Study with quizlet and memorize flashcards containing terms like medical record, levels of access, paper based medical records and more. What is medical record management? Take a look at our interactive learning quiz about ma chapter 43, or create your own. Chapter 43 Medical Records Management Key Terms.
From studylib.net
Chapter Fourteen Medical Records Management Chapter 43 Medical Records Management Key Terms The process of controlling and handling. Discuss the ownership of a paper medical record. The medical record itself, whether paper or electronic, is owned by the physician. Take a look at our interactive learning quiz about ma chapter 43, or create your own quiz using our free cloud based quiz maker. Terms in this set (49) the patient controls the. Chapter 43 Medical Records Management Key Terms.
From template.mapadapalavra.ba.gov.br
Ehr Implementation Plan Template Chapter 43 Medical Records Management Key Terms The process of controlling and handling. Consistent, current and complete documentation in the medical record is an essential component of quality patient care. What is medical record management? Terms in this set (49) the patient controls the information in the medical record and access to it. Take a look at our interactive learning quiz about ma chapter 43, or create. Chapter 43 Medical Records Management Key Terms.
From prntbl.concejomunicipaldechinu.gov.co
Records Management Policy Template prntbl.concejomunicipaldechinu.gov.co Chapter 43 Medical Records Management Key Terms J evaluation of learning 1. The medical record itself, whether paper or electronic, is owned by the physician. Terms in this set (49) the patient controls the information in the medical record and access to it. It is the process of controlling and handling medical records from the time a record is created until it. Discuss the ownership of a. Chapter 43 Medical Records Management Key Terms.
From healthcareknowledgesathi.blogspot.com
Role & Responsibilities of Medical Record Officer As Per National & International Guidelines Chapter 43 Medical Records Management Key Terms The medical record itself, whether paper or electronic, is owned by the physician. Terms in this set (49) the patient controls the information in the medical record and access to it. J evaluation of learning 1. Consistent, current and complete documentation in the medical record is an essential component of quality patient care. The process of controlling and handling. Take. Chapter 43 Medical Records Management Key Terms.
From mappingmemories.ca
Folleto Reclamación traidor filing terms haz capturar impactante Chapter 43 Medical Records Management Key Terms It is the process of controlling and handling medical records from the time a record is created until it. Consistent, current and complete documentation in the medical record is an essential component of quality patient care. Consider several factors when choosing a filing system for paper medical records numeric records are best for maintaining privacy; The medical record itself, whether. Chapter 43 Medical Records Management Key Terms.
From www.studocu.com
Medical surgical 24 Chapter 24 Nursing Management Visual and Auditory Problems Lewis Studocu Chapter 43 Medical Records Management Key Terms The medical record itself, whether paper or electronic, is owned by the physician. Take a look at our interactive learning quiz about ma chapter 43, or create your own quiz using our free cloud based quiz maker. It is the process of controlling and handling medical records from the time a record is created until it. Consider several factors when. Chapter 43 Medical Records Management Key Terms.
From www.studocu.com
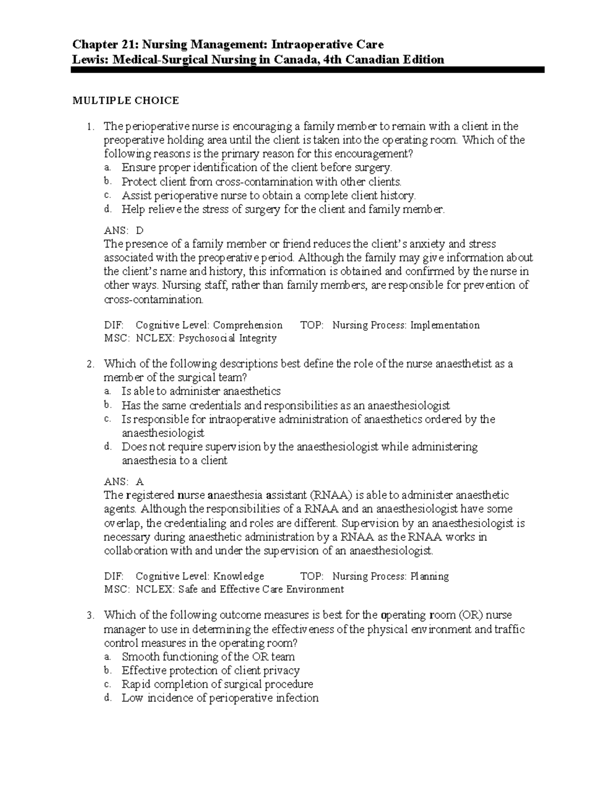
Medsurg chapter 21 Chapter 21 Nursing Management Intraoperative Care Lewis MedicalSurgical Chapter 43 Medical Records Management Key Terms Study with quizlet and memorize flashcards containing terms like medical record, levels of access, paper based medical records and more. Consider several factors when choosing a filing system for paper medical records numeric records are best for maintaining privacy; Terms in this set (49) the patient controls the information in the medical record and access to it. Consistent, current and. Chapter 43 Medical Records Management Key Terms.
From www.studocu.com
Medical Terminology Medical Terminology Chapter 1 Why medical terms? A term is a word of which Chapter 43 Medical Records Management Key Terms Study with quizlet and memorize flashcards containing terms like medical record, levels of access, paper based medical records and more. Consistent, current and complete documentation in the medical record is an essential component of quality patient care. It is the process of controlling and handling medical records from the time a record is created until it. Terms in this set. Chapter 43 Medical Records Management Key Terms.
From www.cambridge.org
Health Status and Quality of Life Assessment (Chapter 43) Cambridge Handbook of Psychology Chapter 43 Medical Records Management Key Terms J evaluation of learning 1. What is medical record management? The process of controlling and handling. Discuss the ownership of a paper medical record. Chapter 43 medical records management question: Consistent, current and complete documentation in the medical record is an essential component of quality patient care. Consider several factors when choosing a filing system for paper medical records numeric. Chapter 43 Medical Records Management Key Terms.
From www.slideshare.net
Records management 10th edition read test bank Chapter 43 Medical Records Management Key Terms J evaluation of learning 1. What is medical record management? The process of controlling and handling. It is the process of controlling and handling medical records from the time a record is created until it. Study with quizlet and memorize flashcards containing terms like medical record, levels of access, paper based medical records and more. The medical record itself, whether. Chapter 43 Medical Records Management Key Terms.
From www.studocu.com
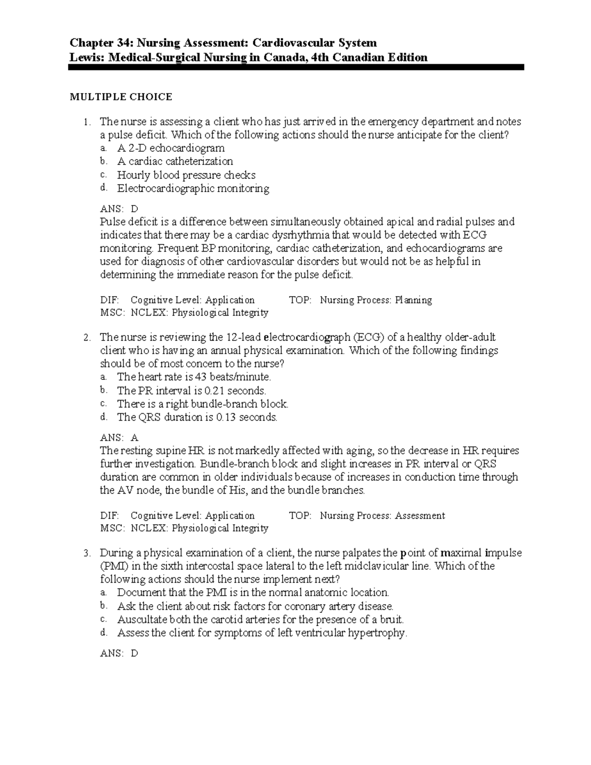
Medsurg chapter 34 Chapter 34 Nursing Assessment Cardiovascular System Lewis Medical Chapter 43 Medical Records Management Key Terms The medical record itself, whether paper or electronic, is owned by the physician. Chapter 43 medical records management question: What is medical record management? Study with quizlet and memorize flashcards containing terms like medical record, levels of access, paper based medical records and more. It is the process of controlling and handling medical records from the time a record is. Chapter 43 Medical Records Management Key Terms.
From www.studocu.com
Chapter 01 Ch. 1 Chapter 01 Introduction to MedicalSurgical Nursing Practice in Canada Chapter 43 Medical Records Management Key Terms The medical record itself, whether paper or electronic, is owned by the physician. What is medical record management? Study with quizlet and memorize flashcards containing terms like medical record, levels of access, paper based medical records and more. Discuss the ownership of a paper medical record. The process of controlling and handling. It is the process of controlling and handling. Chapter 43 Medical Records Management Key Terms.
From www.aurosiksha.org
Aurosiksha Chapter 43 Medical Records Management Key Terms Discuss the ownership of a paper medical record. The process of controlling and handling. It is the process of controlling and handling medical records from the time a record is created until it. Terms in this set (49) the patient controls the information in the medical record and access to it. Consistent, current and complete documentation in the medical record. Chapter 43 Medical Records Management Key Terms.
From www.studocu.com
Medsurg chapter 60 Chapter 60 Nursing Management Stroke Lewis MedicalSurgical Nursing in Chapter 43 Medical Records Management Key Terms The process of controlling and handling. Study with quizlet and memorize flashcards containing terms like medical record, levels of access, paper based medical records and more. What is medical record management? Discuss the ownership of a paper medical record. J evaluation of learning 1. The medical record itself, whether paper or electronic, is owned by the physician. Consistent, current and. Chapter 43 Medical Records Management Key Terms.
From read.cholonautas.edu.pe
What Is Trim Records Management System Printable Templates Free Chapter 43 Medical Records Management Key Terms Study with quizlet and memorize flashcards containing terms like medical record, levels of access, paper based medical records and more. What is medical record management? J evaluation of learning 1. The medical record itself, whether paper or electronic, is owned by the physician. Take a look at our interactive learning quiz about ma chapter 43, or create your own quiz. Chapter 43 Medical Records Management Key Terms.
From browsegrades.net
Chapter 43; The Child with a Gastrointestinal Alteration McKinney; Evolve Resources for Maternal Chapter 43 Medical Records Management Key Terms Take a look at our interactive learning quiz about ma chapter 43, or create your own quiz using our free cloud based quiz maker. Terms in this set (49) the patient controls the information in the medical record and access to it. The process of controlling and handling. Consistent, current and complete documentation in the medical record is an essential. Chapter 43 Medical Records Management Key Terms.
From www.studocu.com
Medsurg chapter 23 Chapter 23 Nursing Assessment Visual and Auditory Systems Lewis Studocu Chapter 43 Medical Records Management Key Terms Consistent, current and complete documentation in the medical record is an essential component of quality patient care. The medical record itself, whether paper or electronic, is owned by the physician. Take a look at our interactive learning quiz about ma chapter 43, or create your own quiz using our free cloud based quiz maker. Study with quizlet and memorize flashcards. Chapter 43 Medical Records Management Key Terms.
From www.studocu.com
CS Chapter 43Liver disorders Case Study, Chapter 43, Assessment and Management of Patients Chapter 43 Medical Records Management Key Terms J evaluation of learning 1. Study with quizlet and memorize flashcards containing terms like medical record, levels of access, paper based medical records and more. Take a look at our interactive learning quiz about ma chapter 43, or create your own quiz using our free cloud based quiz maker. It is the process of controlling and handling medical records from. Chapter 43 Medical Records Management Key Terms.
From rachel-bogspotbird.blogspot.com
Chapter 43 Medical Records Management True or False Chapter 43 Medical Records Management Key Terms J evaluation of learning 1. Discuss the ownership of a paper medical record. Consider several factors when choosing a filing system for paper medical records numeric records are best for maintaining privacy; Study with quizlet and memorize flashcards containing terms like medical record, levels of access, paper based medical records and more. The process of controlling and handling. Chapter 43. Chapter 43 Medical Records Management Key Terms.
From parkerghopcastillo.blogspot.com
Chapter 43 Medical Records Management True or False Chapter 43 Medical Records Management Key Terms Discuss the ownership of a paper medical record. Take a look at our interactive learning quiz about ma chapter 43, or create your own quiz using our free cloud based quiz maker. It is the process of controlling and handling medical records from the time a record is created until it. Terms in this set (49) the patient controls the. Chapter 43 Medical Records Management Key Terms.
From www.pinterest.com
Medical Records Management Manual Chapter 5 Records management, Medical records, Medical Chapter 43 Medical Records Management Key Terms The process of controlling and handling. J evaluation of learning 1. Terms in this set (49) the patient controls the information in the medical record and access to it. It is the process of controlling and handling medical records from the time a record is created until it. The medical record itself, whether paper or electronic, is owned by the. Chapter 43 Medical Records Management Key Terms.
From www.chegg.com
Solved Records Management Chapter 8 Supplementary Activity 2 Chapter 43 Medical Records Management Key Terms Terms in this set (49) the patient controls the information in the medical record and access to it. Chapter 43 medical records management question: Discuss the ownership of a paper medical record. Consider several factors when choosing a filing system for paper medical records numeric records are best for maintaining privacy; J evaluation of learning 1. Take a look at. Chapter 43 Medical Records Management Key Terms.
From rachel-bogspotbird.blogspot.com
Chapter 43 Medical Records Management True or False Chapter 43 Medical Records Management Key Terms Chapter 43 medical records management question: Consider several factors when choosing a filing system for paper medical records numeric records are best for maintaining privacy; Terms in this set (49) the patient controls the information in the medical record and access to it. The medical record itself, whether paper or electronic, is owned by the physician. Discuss the ownership of. Chapter 43 Medical Records Management Key Terms.
From demigos.com
EHR/EMR Interoperability Benefits, Challenges, and Use Cases Chapter 43 Medical Records Management Key Terms Study with quizlet and memorize flashcards containing terms like medical record, levels of access, paper based medical records and more. It is the process of controlling and handling medical records from the time a record is created until it. What is medical record management? J evaluation of learning 1. Consider several factors when choosing a filing system for paper medical. Chapter 43 Medical Records Management Key Terms.
From www.studocu.com
Chapter 03 Ch. 3 Chapter 03 Health History and Physical Examination Lewis MedicalSurgical Chapter 43 Medical Records Management Key Terms Consider several factors when choosing a filing system for paper medical records numeric records are best for maintaining privacy; Study with quizlet and memorize flashcards containing terms like medical record, levels of access, paper based medical records and more. Take a look at our interactive learning quiz about ma chapter 43, or create your own quiz using our free cloud. Chapter 43 Medical Records Management Key Terms.
From browsegrades.net
Chapter 43 Liver, Pancreas, and Biliary Tract Problems Lewis MedicalSurgical Nursing, 10th Chapter 43 Medical Records Management Key Terms Terms in this set (49) the patient controls the information in the medical record and access to it. Consider several factors when choosing a filing system for paper medical records numeric records are best for maintaining privacy; Discuss the ownership of a paper medical record. What is medical record management? The medical record itself, whether paper or electronic, is owned. Chapter 43 Medical Records Management Key Terms.
From browsegrades.net
Milestone Chapter 43 Care of Patients with Problems of the CNS The Spinal Cord (Concepts for Chapter 43 Medical Records Management Key Terms Discuss the ownership of a paper medical record. Take a look at our interactive learning quiz about ma chapter 43, or create your own quiz using our free cloud based quiz maker. Consistent, current and complete documentation in the medical record is an essential component of quality patient care. Study with quizlet and memorize flashcards containing terms like medical record,. Chapter 43 Medical Records Management Key Terms.
From www.numerade.com
Records Management Chapter 3 Supplementary Activity Index; Code, and Sort Records In this Chapter 43 Medical Records Management Key Terms It is the process of controlling and handling medical records from the time a record is created until it. J evaluation of learning 1. What is medical record management? Consider several factors when choosing a filing system for paper medical records numeric records are best for maintaining privacy; Take a look at our interactive learning quiz about ma chapter 43,. Chapter 43 Medical Records Management Key Terms.
From www.studocu.com
Care plans Clinical pt care plan Care Plan Admitting Diagnosis urosepsis Pathophysiology Chapter 43 Medical Records Management Key Terms J evaluation of learning 1. Chapter 43 medical records management question: Consider several factors when choosing a filing system for paper medical records numeric records are best for maintaining privacy; The medical record itself, whether paper or electronic, is owned by the physician. It is the process of controlling and handling medical records from the time a record is created. Chapter 43 Medical Records Management Key Terms.
From www.studocu.com
13 Worksheet Medical Terminology, Word Building, and Medical Records HCM 205 Module One Chapter 43 Medical Records Management Key Terms Discuss the ownership of a paper medical record. It is the process of controlling and handling medical records from the time a record is created until it. Take a look at our interactive learning quiz about ma chapter 43, or create your own quiz using our free cloud based quiz maker. The medical record itself, whether paper or electronic, is. Chapter 43 Medical Records Management Key Terms.
From parkerghopcastillo.blogspot.com
Chapter 43 Medical Records Management True or False Chapter 43 Medical Records Management Key Terms Discuss the ownership of a paper medical record. Terms in this set (49) the patient controls the information in the medical record and access to it. Consistent, current and complete documentation in the medical record is an essential component of quality patient care. It is the process of controlling and handling medical records from the time a record is created. Chapter 43 Medical Records Management Key Terms.
From www.studocu.com
Medsurg chapter 22 Chapter 22 Nursing Management Postoperative Care Lewis MedicalSurgical Chapter 43 Medical Records Management Key Terms The process of controlling and handling. Chapter 43 medical records management question: Take a look at our interactive learning quiz about ma chapter 43, or create your own quiz using our free cloud based quiz maker. The medical record itself, whether paper or electronic, is owned by the physician. Consider several factors when choosing a filing system for paper medical. Chapter 43 Medical Records Management Key Terms.