Enzyme Vmax Define . V max = k 2 [e]. The variable, v, is also referred to. [s]), the maximum velocity (known as v max) is the value on the y axis. It should be noted that the value of v max depends on the amount of enzyme used in a reaction. On a plot of initial velocity vs substrate concentration ( v vs. The maximum possible velocity (vmax) occurs when all the enzyme molecules are bound with substrate [es] = [e] total, thus: [s]), the maximum velocity (known as vmax) is the value on the y axis that the curve asymptotically approaches. Vmax is the maximum rate at which an enzyme can catalyze a reaction when it is fully saturated with substrate. This term is crucial in. On a plot of velocity versus substrate concentration ( v vs. Double the amount of enzyme, double the vmax. To begin our discussion of enzyme kinetics, let's define the number of moles of product (p) formed per time as v.
from www.youtube.com
[s]), the maximum velocity (known as vmax) is the value on the y axis that the curve asymptotically approaches. It should be noted that the value of v max depends on the amount of enzyme used in a reaction. On a plot of velocity versus substrate concentration ( v vs. This term is crucial in. The maximum possible velocity (vmax) occurs when all the enzyme molecules are bound with substrate [es] = [e] total, thus: Double the amount of enzyme, double the vmax. On a plot of initial velocity vs substrate concentration ( v vs. The variable, v, is also referred to. To begin our discussion of enzyme kinetics, let's define the number of moles of product (p) formed per time as v. [s]), the maximum velocity (known as v max) is the value on the y axis.
Km and Vmax of Enzymes MichaelisMenten Constant YouTube
Enzyme Vmax Define On a plot of initial velocity vs substrate concentration ( v vs. Vmax is the maximum rate at which an enzyme can catalyze a reaction when it is fully saturated with substrate. [s]), the maximum velocity (known as v max) is the value on the y axis. The variable, v, is also referred to. On a plot of velocity versus substrate concentration ( v vs. Double the amount of enzyme, double the vmax. The maximum possible velocity (vmax) occurs when all the enzyme molecules are bound with substrate [es] = [e] total, thus: [s]), the maximum velocity (known as vmax) is the value on the y axis that the curve asymptotically approaches. It should be noted that the value of v max depends on the amount of enzyme used in a reaction. This term is crucial in. On a plot of initial velocity vs substrate concentration ( v vs. To begin our discussion of enzyme kinetics, let's define the number of moles of product (p) formed per time as v. V max = k 2 [e].
From www.numerade.com
SOLVED For an enzyme that follows MM What is the E Km (Michaelis constant)? What is Enzyme Vmax Define The maximum possible velocity (vmax) occurs when all the enzyme molecules are bound with substrate [es] = [e] total, thus: On a plot of initial velocity vs substrate concentration ( v vs. To begin our discussion of enzyme kinetics, let's define the number of moles of product (p) formed per time as v. Double the amount of enzyme, double the. Enzyme Vmax Define.
From www.slideserve.com
PPT Enzyme PowerPoint Presentation, free download ID2746871 Enzyme Vmax Define V max = k 2 [e]. [s]), the maximum velocity (known as vmax) is the value on the y axis that the curve asymptotically approaches. The maximum possible velocity (vmax) occurs when all the enzyme molecules are bound with substrate [es] = [e] total, thus: Vmax is the maximum rate at which an enzyme can catalyze a reaction when it. Enzyme Vmax Define.
From www.biologyonline.com
Vmax Definition and Examples Biology Online Dictionary Enzyme Vmax Define On a plot of initial velocity vs substrate concentration ( v vs. The variable, v, is also referred to. The maximum possible velocity (vmax) occurs when all the enzyme molecules are bound with substrate [es] = [e] total, thus: It should be noted that the value of v max depends on the amount of enzyme used in a reaction. [s]),. Enzyme Vmax Define.
From www.slideserve.com
PPT Biochemical Reaction Rate Enzyme PowerPoint Presentation ID6135538 Enzyme Vmax Define V max = k 2 [e]. [s]), the maximum velocity (known as v max) is the value on the y axis. On a plot of initial velocity vs substrate concentration ( v vs. It should be noted that the value of v max depends on the amount of enzyme used in a reaction. Vmax is the maximum rate at which. Enzyme Vmax Define.
From www.youtube.com
B.7 Vmax and Km (HL) YouTube Enzyme Vmax Define On a plot of velocity versus substrate concentration ( v vs. V max = k 2 [e]. Double the amount of enzyme, double the vmax. [s]), the maximum velocity (known as v max) is the value on the y axis. It should be noted that the value of v max depends on the amount of enzyme used in a reaction.. Enzyme Vmax Define.
From www.youtube.com
Enzyme calculating Km and Vmax using Excel YouTube Enzyme Vmax Define The maximum possible velocity (vmax) occurs when all the enzyme molecules are bound with substrate [es] = [e] total, thus: Double the amount of enzyme, double the vmax. On a plot of initial velocity vs substrate concentration ( v vs. It should be noted that the value of v max depends on the amount of enzyme used in a reaction.. Enzyme Vmax Define.
From www.youtube.com
Km and Vmax of Enzymes MichaelisMenten Constant YouTube Enzyme Vmax Define The variable, v, is also referred to. It should be noted that the value of v max depends on the amount of enzyme used in a reaction. To begin our discussion of enzyme kinetics, let's define the number of moles of product (p) formed per time as v. The maximum possible velocity (vmax) occurs when all the enzyme molecules are. Enzyme Vmax Define.
From www.biologyonline.com
Vmax Definition and Examples Biology Online Dictionary Enzyme Vmax Define Double the amount of enzyme, double the vmax. This term is crucial in. V max = k 2 [e]. It should be noted that the value of v max depends on the amount of enzyme used in a reaction. Vmax is the maximum rate at which an enzyme can catalyze a reaction when it is fully saturated with substrate. [s]),. Enzyme Vmax Define.
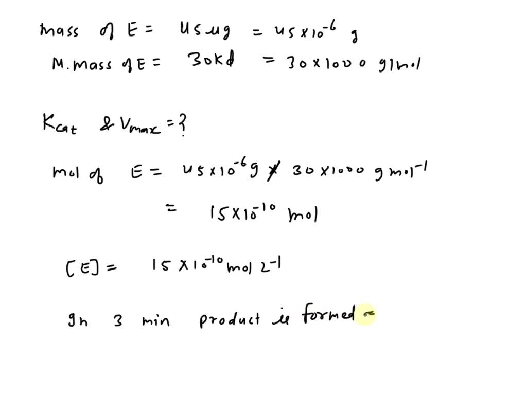
From www.numerade.com
SOLVED An enzyme has a molecular weight of 30 kd; and each enzyme molecule has one active site Enzyme Vmax Define The variable, v, is also referred to. On a plot of initial velocity vs substrate concentration ( v vs. Vmax is the maximum rate at which an enzyme can catalyze a reaction when it is fully saturated with substrate. It should be noted that the value of v max depends on the amount of enzyme used in a reaction. On. Enzyme Vmax Define.
From www.slideserve.com
PPT Calculate the V max and K M for this enzyme PowerPoint Presentation ID7068981 Enzyme Vmax Define [s]), the maximum velocity (known as vmax) is the value on the y axis that the curve asymptotically approaches. [s]), the maximum velocity (known as v max) is the value on the y axis. This term is crucial in. The variable, v, is also referred to. On a plot of velocity versus substrate concentration ( v vs. Double the amount. Enzyme Vmax Define.
From plantphys.info
Enzyme Enzyme Vmax Define On a plot of velocity versus substrate concentration ( v vs. To begin our discussion of enzyme kinetics, let's define the number of moles of product (p) formed per time as v. Vmax is the maximum rate at which an enzyme can catalyze a reaction when it is fully saturated with substrate. The maximum possible velocity (vmax) occurs when all. Enzyme Vmax Define.
From www.numerade.com
SOLVED For an enzyme that follows MM What is the E Km (Michaelis constant)? What is Enzyme Vmax Define [s]), the maximum velocity (known as vmax) is the value on the y axis that the curve asymptotically approaches. On a plot of velocity versus substrate concentration ( v vs. The maximum possible velocity (vmax) occurs when all the enzyme molecules are bound with substrate [es] = [e] total, thus: Vmax is the maximum rate at which an enzyme can. Enzyme Vmax Define.
From www.youtube.com
Enzyme Vmax and Km in Hindi YouTube Enzyme Vmax Define V max = k 2 [e]. On a plot of velocity versus substrate concentration ( v vs. Double the amount of enzyme, double the vmax. This term is crucial in. On a plot of initial velocity vs substrate concentration ( v vs. To begin our discussion of enzyme kinetics, let's define the number of moles of product (p) formed per. Enzyme Vmax Define.
From www.slideserve.com
PPT Biochemical Reaction Rate Enzyme PowerPoint Presentation ID6135538 Enzyme Vmax Define To begin our discussion of enzyme kinetics, let's define the number of moles of product (p) formed per time as v. It should be noted that the value of v max depends on the amount of enzyme used in a reaction. [s]), the maximum velocity (known as v max) is the value on the y axis. This term is crucial. Enzyme Vmax Define.
From www.slideshare.net
Enzyme Enzyme Vmax Define On a plot of initial velocity vs substrate concentration ( v vs. This term is crucial in. On a plot of velocity versus substrate concentration ( v vs. The maximum possible velocity (vmax) occurs when all the enzyme molecules are bound with substrate [es] = [e] total, thus: [s]), the maximum velocity (known as vmax) is the value on the. Enzyme Vmax Define.
From www.coursehero.com
[Solved] help explain Inside a cell, enzymes commonly operate at their Vmax.... Course Hero Enzyme Vmax Define To begin our discussion of enzyme kinetics, let's define the number of moles of product (p) formed per time as v. On a plot of initial velocity vs substrate concentration ( v vs. [s]), the maximum velocity (known as vmax) is the value on the y axis that the curve asymptotically approaches. [s]), the maximum velocity (known as v max). Enzyme Vmax Define.
From www.youtube.com
[CIE 9700 BIOLOGY] Enzymes mode of action , Vmax , Km (3) YouTube Enzyme Vmax Define The variable, v, is also referred to. [s]), the maximum velocity (known as v max) is the value on the y axis. On a plot of velocity versus substrate concentration ( v vs. Vmax is the maximum rate at which an enzyme can catalyze a reaction when it is fully saturated with substrate. V max = k 2 [e]. [s]),. Enzyme Vmax Define.
From www.youtube.com
Enzyme vmax and km YouTube Enzyme Vmax Define [s]), the maximum velocity (known as v max) is the value on the y axis. On a plot of initial velocity vs substrate concentration ( v vs. Vmax is the maximum rate at which an enzyme can catalyze a reaction when it is fully saturated with substrate. The variable, v, is also referred to. To begin our discussion of enzyme. Enzyme Vmax Define.
From www.researchgate.net
Change of Vmax and Km of enzyme in the presence of different... Download Scientific Diagram Enzyme Vmax Define Double the amount of enzyme, double the vmax. It should be noted that the value of v max depends on the amount of enzyme used in a reaction. This term is crucial in. V max = k 2 [e]. The maximum possible velocity (vmax) occurs when all the enzyme molecules are bound with substrate [es] = [e] total, thus: Vmax. Enzyme Vmax Define.
From www.slideserve.com
PPT Lecture 4 Factors affecting enzyme activity [substrate] and inhibitors PowerPoint Enzyme Vmax Define Vmax is the maximum rate at which an enzyme can catalyze a reaction when it is fully saturated with substrate. Double the amount of enzyme, double the vmax. [s]), the maximum velocity (known as vmax) is the value on the y axis that the curve asymptotically approaches. On a plot of velocity versus substrate concentration ( v vs. The variable,. Enzyme Vmax Define.
From www.slideserve.com
PPT ENZYMES PowerPoint Presentation, free download ID3057202 Enzyme Vmax Define On a plot of initial velocity vs substrate concentration ( v vs. The maximum possible velocity (vmax) occurs when all the enzyme molecules are bound with substrate [es] = [e] total, thus: [s]), the maximum velocity (known as v max) is the value on the y axis. [s]), the maximum velocity (known as vmax) is the value on the y. Enzyme Vmax Define.
From ecampusontario.pressbooks.pub
Enzyme & The MichaelisMenten Equation BIOC*2580 Introduction to Biochemistry Enzyme Vmax Define Double the amount of enzyme, double the vmax. To begin our discussion of enzyme kinetics, let's define the number of moles of product (p) formed per time as v. Vmax is the maximum rate at which an enzyme can catalyze a reaction when it is fully saturated with substrate. On a plot of initial velocity vs substrate concentration ( v. Enzyme Vmax Define.
From www.biomol.com
Guide to Enzyme Unit Definitions and Assay Design Biomol Blog Resources Biomol GmbH Life Enzyme Vmax Define The variable, v, is also referred to. To begin our discussion of enzyme kinetics, let's define the number of moles of product (p) formed per time as v. Double the amount of enzyme, double the vmax. This term is crucial in. [s]), the maximum velocity (known as vmax) is the value on the y axis that the curve asymptotically approaches.. Enzyme Vmax Define.
From www.biologyonline.com
Vmax Definition and Examples Biology Online Dictionary Enzyme Vmax Define The variable, v, is also referred to. [s]), the maximum velocity (known as vmax) is the value on the y axis that the curve asymptotically approaches. On a plot of initial velocity vs substrate concentration ( v vs. To begin our discussion of enzyme kinetics, let's define the number of moles of product (p) formed per time as v. On. Enzyme Vmax Define.
From www.chegg.com
Solved The KM of an enzyme is 5mM. If the Vmax is 20uM/s Enzyme Vmax Define It should be noted that the value of v max depends on the amount of enzyme used in a reaction. The variable, v, is also referred to. The maximum possible velocity (vmax) occurs when all the enzyme molecules are bound with substrate [es] = [e] total, thus: [s]), the maximum velocity (known as v max) is the value on the. Enzyme Vmax Define.
From www.slideserve.com
PPT LECTURE 2 ENZYME PowerPoint Presentation, free download ID5086606 Enzyme Vmax Define Vmax is the maximum rate at which an enzyme can catalyze a reaction when it is fully saturated with substrate. [s]), the maximum velocity (known as vmax) is the value on the y axis that the curve asymptotically approaches. Double the amount of enzyme, double the vmax. On a plot of velocity versus substrate concentration ( v vs. [s]), the. Enzyme Vmax Define.
From slideplayer.com
ENZYMES. ppt download Enzyme Vmax Define V max = k 2 [e]. This term is crucial in. [s]), the maximum velocity (known as v max) is the value on the y axis. To begin our discussion of enzyme kinetics, let's define the number of moles of product (p) formed per time as v. Vmax is the maximum rate at which an enzyme can catalyze a reaction. Enzyme Vmax Define.
From studymarxianism.z21.web.core.windows.net
How To Find Vmax Enzyme Vmax Define On a plot of initial velocity vs substrate concentration ( v vs. Vmax is the maximum rate at which an enzyme can catalyze a reaction when it is fully saturated with substrate. The maximum possible velocity (vmax) occurs when all the enzyme molecules are bound with substrate [es] = [e] total, thus: On a plot of velocity versus substrate concentration. Enzyme Vmax Define.
From www.biologyonline.com
Vmax Definition and Examples Biology Online Dictionary Enzyme Vmax Define The maximum possible velocity (vmax) occurs when all the enzyme molecules are bound with substrate [es] = [e] total, thus: [s]), the maximum velocity (known as v max) is the value on the y axis. On a plot of initial velocity vs substrate concentration ( v vs. To begin our discussion of enzyme kinetics, let's define the number of moles. Enzyme Vmax Define.
From www.slideserve.com
PPT เอนไซม์ (Enzyme) PowerPoint Presentation, free download ID2065082 Enzyme Vmax Define [s]), the maximum velocity (known as v max) is the value on the y axis. It should be noted that the value of v max depends on the amount of enzyme used in a reaction. V max = k 2 [e]. On a plot of initial velocity vs substrate concentration ( v vs. The variable, v, is also referred to.. Enzyme Vmax Define.
From www.bartleby.com
Answered The velocity of an enzymecatalyzed… bartleby Enzyme Vmax Define It should be noted that the value of v max depends on the amount of enzyme used in a reaction. The maximum possible velocity (vmax) occurs when all the enzyme molecules are bound with substrate [es] = [e] total, thus: To begin our discussion of enzyme kinetics, let's define the number of moles of product (p) formed per time as. Enzyme Vmax Define.
From www.slideserve.com
PPT Enzyme PowerPoint Presentation, free download ID903733 Enzyme Vmax Define This term is crucial in. On a plot of velocity versus substrate concentration ( v vs. Double the amount of enzyme, double the vmax. [s]), the maximum velocity (known as vmax) is the value on the y axis that the curve asymptotically approaches. Vmax is the maximum rate at which an enzyme can catalyze a reaction when it is fully. Enzyme Vmax Define.
From www.slideserve.com
PPT 513341 Biochemistry I Chapter 7 ENZYME PowerPoint Presentation ID4312460 Enzyme Vmax Define V max = k 2 [e]. [s]), the maximum velocity (known as vmax) is the value on the y axis that the curve asymptotically approaches. On a plot of velocity versus substrate concentration ( v vs. The variable, v, is also referred to. On a plot of initial velocity vs substrate concentration ( v vs. [s]), the maximum velocity (known. Enzyme Vmax Define.
From www.slideserve.com
PPT Enzyme PowerPoint Presentation, free download ID1477171 Enzyme Vmax Define On a plot of velocity versus substrate concentration ( v vs. The maximum possible velocity (vmax) occurs when all the enzyme molecules are bound with substrate [es] = [e] total, thus: The variable, v, is also referred to. It should be noted that the value of v max depends on the amount of enzyme used in a reaction. [s]), the. Enzyme Vmax Define.
From www.chegg.com
Solved What is Vmax of the enzyme? Enzyme Vmax Define [s]), the maximum velocity (known as vmax) is the value on the y axis that the curve asymptotically approaches. On a plot of velocity versus substrate concentration ( v vs. The variable, v, is also referred to. Vmax is the maximum rate at which an enzyme can catalyze a reaction when it is fully saturated with substrate. To begin our. Enzyme Vmax Define.