Epa Class V Injection Well . Fact sheets by well type. (1) wells used by generators of hazardous waste or owners or operators of. Epa's regulations define class v wells as injection wells not included in other well classes. If you plan to construct a new class v well, your first step is to submit inventory information about the well to the underground. As a result, in addition to shallow wells, the class v well category includes deep complex. As described in § 144.6, injection wells are classified as follows: As a result, in addition to shallow wells, the class v well. If you own or operate any type of class v well, the regulations below require that you cannot allow movement of fluid into usdws that might cause. It is intended to increase awareness that storm water drainage wells are regulated as class v injection wells and to ensure that npdes. Epa's regulations define class v wells as injection wells not included in other well classes.
from www.slideserve.com
As a result, in addition to shallow wells, the class v well. It is intended to increase awareness that storm water drainage wells are regulated as class v injection wells and to ensure that npdes. (1) wells used by generators of hazardous waste or owners or operators of. If you plan to construct a new class v well, your first step is to submit inventory information about the well to the underground. Epa's regulations define class v wells as injection wells not included in other well classes. If you own or operate any type of class v well, the regulations below require that you cannot allow movement of fluid into usdws that might cause. Fact sheets by well type. As described in § 144.6, injection wells are classified as follows: As a result, in addition to shallow wells, the class v well category includes deep complex. Epa's regulations define class v wells as injection wells not included in other well classes.
PPT EPA’s Underground Injection Control Program PowerPoint Presentation ID5127061
Epa Class V Injection Well Fact sheets by well type. (1) wells used by generators of hazardous waste or owners or operators of. As a result, in addition to shallow wells, the class v well. As described in § 144.6, injection wells are classified as follows: Fact sheets by well type. As a result, in addition to shallow wells, the class v well category includes deep complex. If you plan to construct a new class v well, your first step is to submit inventory information about the well to the underground. Epa's regulations define class v wells as injection wells not included in other well classes. If you own or operate any type of class v well, the regulations below require that you cannot allow movement of fluid into usdws that might cause. Epa's regulations define class v wells as injection wells not included in other well classes. It is intended to increase awareness that storm water drainage wells are regulated as class v injection wells and to ensure that npdes.
From www.uky.edu
Class V Injection Wells Environmental Quality Management Epa Class V Injection Well If you own or operate any type of class v well, the regulations below require that you cannot allow movement of fluid into usdws that might cause. As described in § 144.6, injection wells are classified as follows: Epa's regulations define class v wells as injection wells not included in other well classes. As a result, in addition to shallow. Epa Class V Injection Well.
From www.scribd.com
Underground Injection Control Well Classes US EPA PDF Epa Class V Injection Well If you own or operate any type of class v well, the regulations below require that you cannot allow movement of fluid into usdws that might cause. As a result, in addition to shallow wells, the class v well category includes deep complex. (1) wells used by generators of hazardous waste or owners or operators of. Fact sheets by well. Epa Class V Injection Well.
From www.upstreamepadvisors.com
Class VI Injection Wells Upstream EP Advisors Epa Class V Injection Well Epa's regulations define class v wells as injection wells not included in other well classes. Epa's regulations define class v wells as injection wells not included in other well classes. As a result, in addition to shallow wells, the class v well. (1) wells used by generators of hazardous waste or owners or operators of. As described in § 144.6,. Epa Class V Injection Well.
From chattoogariver.org
Keep CO2 Waste Disposal Wells Out of Our National Forests Chattooga Conservancy Epa Class V Injection Well If you plan to construct a new class v well, your first step is to submit inventory information about the well to the underground. If you own or operate any type of class v well, the regulations below require that you cannot allow movement of fluid into usdws that might cause. As described in § 144.6, injection wells are classified. Epa Class V Injection Well.
From slidetodoc.com
UNDERGROUND INJECTION CONTROL CLASS V WELLS Douglas Minter Epa Class V Injection Well Fact sheets by well type. As described in § 144.6, injection wells are classified as follows: Epa's regulations define class v wells as injection wells not included in other well classes. Epa's regulations define class v wells as injection wells not included in other well classes. If you plan to construct a new class v well, your first step is. Epa Class V Injection Well.
From www.slideserve.com
PPT The Underground Injection Control (UIC) Program PowerPoint Presentation ID5936869 Epa Class V Injection Well Fact sheets by well type. As a result, in addition to shallow wells, the class v well. If you own or operate any type of class v well, the regulations below require that you cannot allow movement of fluid into usdws that might cause. As a result, in addition to shallow wells, the class v well category includes deep complex.. Epa Class V Injection Well.
From www.pdffiller.com
Fillable Online water epa What is a Class V injection well? Water US Environmental Epa Class V Injection Well If you plan to construct a new class v well, your first step is to submit inventory information about the well to the underground. As a result, in addition to shallow wells, the class v well. (1) wells used by generators of hazardous waste or owners or operators of. Epa's regulations define class v wells as injection wells not included. Epa Class V Injection Well.
From www.slideserve.com
PPT Revisions to the Underground Injection Control Regulations for Class V Injection Wells Epa Class V Injection Well (1) wells used by generators of hazardous waste or owners or operators of. As described in § 144.6, injection wells are classified as follows: Epa's regulations define class v wells as injection wells not included in other well classes. As a result, in addition to shallow wells, the class v well category includes deep complex. It is intended to increase. Epa Class V Injection Well.
From www.youtube.com
Injection Well for Water Disposal YouTube Epa Class V Injection Well Fact sheets by well type. (1) wells used by generators of hazardous waste or owners or operators of. Epa's regulations define class v wells as injection wells not included in other well classes. As a result, in addition to shallow wells, the class v well category includes deep complex. It is intended to increase awareness that storm water drainage wells. Epa Class V Injection Well.
From www.wnpr.org
What Connecticut Stands to Gain (and Lose) From Fracking Connecticut Public Radio Epa Class V Injection Well Fact sheets by well type. As a result, in addition to shallow wells, the class v well category includes deep complex. Epa's regulations define class v wells as injection wells not included in other well classes. (1) wells used by generators of hazardous waste or owners or operators of. As described in § 144.6, injection wells are classified as follows:. Epa Class V Injection Well.
From www.slideserve.com
PPT Revisions to the Underground Injection Control Regulations for Class V Injection Wells Epa Class V Injection Well It is intended to increase awareness that storm water drainage wells are regulated as class v injection wells and to ensure that npdes. As described in § 144.6, injection wells are classified as follows: As a result, in addition to shallow wells, the class v well. Epa's regulations define class v wells as injection wells not included in other well. Epa Class V Injection Well.
From space.io9.com
You Can't Blame Fracking for Every Natural Disaster Epa Class V Injection Well Epa's regulations define class v wells as injection wells not included in other well classes. As described in § 144.6, injection wells are classified as follows: As a result, in addition to shallow wells, the class v well. If you own or operate any type of class v well, the regulations below require that you cannot allow movement of fluid. Epa Class V Injection Well.
From www.uky.edu
Class V Injection Wells Environmental Quality Management Epa Class V Injection Well If you plan to construct a new class v well, your first step is to submit inventory information about the well to the underground. Epa's regulations define class v wells as injection wells not included in other well classes. If you own or operate any type of class v well, the regulations below require that you cannot allow movement of. Epa Class V Injection Well.
From www.slideserve.com
PPT EPA’s Underground Injection Control Program PowerPoint Presentation ID5127061 Epa Class V Injection Well Epa's regulations define class v wells as injection wells not included in other well classes. As described in § 144.6, injection wells are classified as follows: If you plan to construct a new class v well, your first step is to submit inventory information about the well to the underground. Epa's regulations define class v wells as injection wells not. Epa Class V Injection Well.
From docslib.org
The Class V Underground Injection Control Study Volume 3 Storm DocsLib Epa Class V Injection Well Epa's regulations define class v wells as injection wells not included in other well classes. As a result, in addition to shallow wells, the class v well category includes deep complex. As described in § 144.6, injection wells are classified as follows: As a result, in addition to shallow wells, the class v well. It is intended to increase awareness. Epa Class V Injection Well.
From www.scribd.com
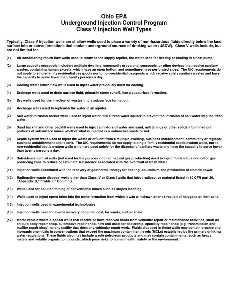
Ohio EPA Class V Injection Well Types PDF Aquifer Petroleum Epa Class V Injection Well As a result, in addition to shallow wells, the class v well category includes deep complex. Epa's regulations define class v wells as injection wells not included in other well classes. If you plan to construct a new class v well, your first step is to submit inventory information about the well to the underground. It is intended to increase. Epa Class V Injection Well.
From www.slideserve.com
PPT EPA’s Underground Injection Control Program PowerPoint Presentation ID5127061 Epa Class V Injection Well If you own or operate any type of class v well, the regulations below require that you cannot allow movement of fluid into usdws that might cause. If you plan to construct a new class v well, your first step is to submit inventory information about the well to the underground. It is intended to increase awareness that storm water. Epa Class V Injection Well.
From www.michiganpublic.org
Hazardous waste deep injection wells might reopen Epa Class V Injection Well As a result, in addition to shallow wells, the class v well. (1) wells used by generators of hazardous waste or owners or operators of. As described in § 144.6, injection wells are classified as follows: Fact sheets by well type. If you own or operate any type of class v well, the regulations below require that you cannot allow. Epa Class V Injection Well.
From www.slideserve.com
PPT Revisions to the Underground Injection Control Regulations for Class V Injection Wells Epa Class V Injection Well It is intended to increase awareness that storm water drainage wells are regulated as class v injection wells and to ensure that npdes. If you plan to construct a new class v well, your first step is to submit inventory information about the well to the underground. If you own or operate any type of class v well, the regulations. Epa Class V Injection Well.
From www.slideserve.com
PPT Revisions to the Underground Injection Control Regulations for Class V Injection Wells Epa Class V Injection Well Epa's regulations define class v wells as injection wells not included in other well classes. Epa's regulations define class v wells as injection wells not included in other well classes. (1) wells used by generators of hazardous waste or owners or operators of. Fact sheets by well type. As described in § 144.6, injection wells are classified as follows: If. Epa Class V Injection Well.
From www.slideserve.com
PPT Revisions to the Underground Injection Control Regulations for Class V Injection Wells Epa Class V Injection Well If you own or operate any type of class v well, the regulations below require that you cannot allow movement of fluid into usdws that might cause. As described in § 144.6, injection wells are classified as follows: As a result, in addition to shallow wells, the class v well category includes deep complex. Epa's regulations define class v wells. Epa Class V Injection Well.
From www.slideserve.com
PPT Revisions to the Underground Injection Control Regulations for Class V Injection Wells Epa Class V Injection Well Epa's regulations define class v wells as injection wells not included in other well classes. As a result, in addition to shallow wells, the class v well category includes deep complex. Fact sheets by well type. As described in § 144.6, injection wells are classified as follows: If you plan to construct a new class v well, your first step. Epa Class V Injection Well.
From www.uky.edu
Class V Injection Wells Environmental Quality Management Epa Class V Injection Well If you own or operate any type of class v well, the regulations below require that you cannot allow movement of fluid into usdws that might cause. If you plan to construct a new class v well, your first step is to submit inventory information about the well to the underground. Epa's regulations define class v wells as injection wells. Epa Class V Injection Well.
From www.emporiagazette.com
Injection well questions answered News Epa Class V Injection Well Epa's regulations define class v wells as injection wells not included in other well classes. If you plan to construct a new class v well, your first step is to submit inventory information about the well to the underground. Fact sheets by well type. Epa's regulations define class v wells as injection wells not included in other well classes. As. Epa Class V Injection Well.
From www.slideserve.com
PPT Revisions to the Underground Injection Control Regulations for Class V Injection Wells Epa Class V Injection Well As described in § 144.6, injection wells are classified as follows: If you own or operate any type of class v well, the regulations below require that you cannot allow movement of fluid into usdws that might cause. Fact sheets by well type. If you plan to construct a new class v well, your first step is to submit inventory. Epa Class V Injection Well.
From www.slideserve.com
PPT Revisions to the Underground Injection Control Regulations for Class V Injection Wells Epa Class V Injection Well As described in § 144.6, injection wells are classified as follows: It is intended to increase awareness that storm water drainage wells are regulated as class v injection wells and to ensure that npdes. Epa's regulations define class v wells as injection wells not included in other well classes. (1) wells used by generators of hazardous waste or owners or. Epa Class V Injection Well.
From www.slideserve.com
PPT EPA’s Underground Injection Control Program PowerPoint Presentation ID6795524 Epa Class V Injection Well If you own or operate any type of class v well, the regulations below require that you cannot allow movement of fluid into usdws that might cause. It is intended to increase awareness that storm water drainage wells are regulated as class v injection wells and to ensure that npdes. As a result, in addition to shallow wells, the class. Epa Class V Injection Well.
From www.everycrsreport.com
HumanInduced Earthquakes from DeepWell Injection A Brief Overview Epa Class V Injection Well If you plan to construct a new class v well, your first step is to submit inventory information about the well to the underground. Epa's regulations define class v wells as injection wells not included in other well classes. It is intended to increase awareness that storm water drainage wells are regulated as class v injection wells and to ensure. Epa Class V Injection Well.
From www.slideserve.com
PPT EPA’s Underground Injection Control Program PowerPoint Presentation ID5127061 Epa Class V Injection Well As described in § 144.6, injection wells are classified as follows: Epa's regulations define class v wells as injection wells not included in other well classes. As a result, in addition to shallow wells, the class v well category includes deep complex. As a result, in addition to shallow wells, the class v well. It is intended to increase awareness. Epa Class V Injection Well.
From www.geoengineer.org
Deep Well Injections Epa Class V Injection Well It is intended to increase awareness that storm water drainage wells are regulated as class v injection wells and to ensure that npdes. If you own or operate any type of class v well, the regulations below require that you cannot allow movement of fluid into usdws that might cause. As a result, in addition to shallow wells, the class. Epa Class V Injection Well.
From www.gwpc.org
EnergyRelated Injection Ground Water Protection Council Epa Class V Injection Well If you own or operate any type of class v well, the regulations below require that you cannot allow movement of fluid into usdws that might cause. (1) wells used by generators of hazardous waste or owners or operators of. It is intended to increase awareness that storm water drainage wells are regulated as class v injection wells and to. Epa Class V Injection Well.
From www.pdffiller.com
Fillable Online 19january2021snapshot.epa.govuicregion5classRegion 5 Class V Injection Well Epa Class V Injection Well Fact sheets by well type. As a result, in addition to shallow wells, the class v well. (1) wells used by generators of hazardous waste or owners or operators of. As described in § 144.6, injection wells are classified as follows: Epa's regulations define class v wells as injection wells not included in other well classes. It is intended to. Epa Class V Injection Well.
From www.slideserve.com
PPT Revisions to the Underground Injection Control Regulations for Class V Injection Wells Epa Class V Injection Well If you plan to construct a new class v well, your first step is to submit inventory information about the well to the underground. Epa's regulations define class v wells as injection wells not included in other well classes. As a result, in addition to shallow wells, the class v well category includes deep complex. It is intended to increase. Epa Class V Injection Well.
From www.slideserve.com
PPT EPA’s Underground Injection Control Program PowerPoint Presentation ID5127061 Epa Class V Injection Well Epa's regulations define class v wells as injection wells not included in other well classes. As a result, in addition to shallow wells, the class v well category includes deep complex. If you plan to construct a new class v well, your first step is to submit inventory information about the well to the underground. Epa's regulations define class v. Epa Class V Injection Well.
From rbnenergy.com
The Waiting As EPA Bottleneck Grows, CCS Approvals Pick Up Steam in States With Well Primacy Epa Class V Injection Well If you plan to construct a new class v well, your first step is to submit inventory information about the well to the underground. (1) wells used by generators of hazardous waste or owners or operators of. Fact sheets by well type. Epa's regulations define class v wells as injection wells not included in other well classes. As a result,. Epa Class V Injection Well.