Bromine Hydrogen Bromide Boiling Point . Unlike hydrogen fluoride, anhydrous liquid hydrogen bromide is difficult to work with as a solvent, because its boiling point is low, it has a small liquid range, its dielectric constant is. Cox, wagman, et al., 1984: Aqueous solutions that are 47.38% hbr by. Chemspider record containing structure, synonyms, properties, vendors and database links for. Other bromine compounds of significance include hydrogen bromide (hbr), a colorless gas used as a reducing agent and a catalyst in organic reactions. Quantity value units method reference comment; Hydrogen bromide (along with hydrobromic acid) is produced by combining hydrogen and bromine at temperatures between 200 and 400 °c. A solution of the gas in water is.
        
        from www.numerade.com 
     
        
        A solution of the gas in water is. Cox, wagman, et al., 1984: Hydrogen bromide (along with hydrobromic acid) is produced by combining hydrogen and bromine at temperatures between 200 and 400 °c. Chemspider record containing structure, synonyms, properties, vendors and database links for. Other bromine compounds of significance include hydrogen bromide (hbr), a colorless gas used as a reducing agent and a catalyst in organic reactions. Quantity value units method reference comment; Unlike hydrogen fluoride, anhydrous liquid hydrogen bromide is difficult to work with as a solvent, because its boiling point is low, it has a small liquid range, its dielectric constant is. Aqueous solutions that are 47.38% hbr by.
    
    	
            
	
		 
         
    SOLVED Question 14 (1 point) Hydrogen is the lightest of elements with 
    Bromine Hydrogen Bromide Boiling Point  Cox, wagman, et al., 1984: Other bromine compounds of significance include hydrogen bromide (hbr), a colorless gas used as a reducing agent and a catalyst in organic reactions. Unlike hydrogen fluoride, anhydrous liquid hydrogen bromide is difficult to work with as a solvent, because its boiling point is low, it has a small liquid range, its dielectric constant is. Quantity value units method reference comment; Cox, wagman, et al., 1984: Hydrogen bromide (along with hydrobromic acid) is produced by combining hydrogen and bromine at temperatures between 200 and 400 °c. A solution of the gas in water is. Chemspider record containing structure, synonyms, properties, vendors and database links for. Aqueous solutions that are 47.38% hbr by.
            
	
		 
         
 
    
        From www.gauthmath.com 
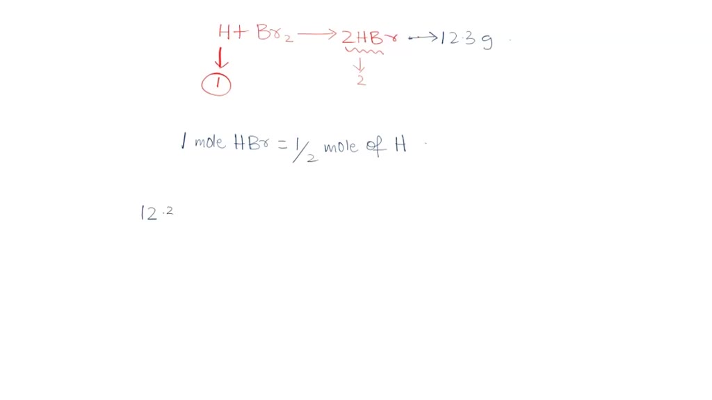
                    What mass of reactants are used during the reaction? Hydrogen + Bromine Bromine Hydrogen Bromide Boiling Point  Other bromine compounds of significance include hydrogen bromide (hbr), a colorless gas used as a reducing agent and a catalyst in organic reactions. Cox, wagman, et al., 1984: Aqueous solutions that are 47.38% hbr by. A solution of the gas in water is. Unlike hydrogen fluoride, anhydrous liquid hydrogen bromide is difficult to work with as a solvent, because its. Bromine Hydrogen Bromide Boiling Point.
     
    
        From www.chegg.com 
                    Solved The normal boiling point (at P=1 bar) of bromine Bromine Hydrogen Bromide Boiling Point  Unlike hydrogen fluoride, anhydrous liquid hydrogen bromide is difficult to work with as a solvent, because its boiling point is low, it has a small liquid range, its dielectric constant is. Chemspider record containing structure, synonyms, properties, vendors and database links for. Aqueous solutions that are 47.38% hbr by. Cox, wagman, et al., 1984: Quantity value units method reference comment;. Bromine Hydrogen Bromide Boiling Point.
     
    
        From favpng.com 
                    Hydrogen Bromide Hydrobromic Acid Bromine, PNG, 1100x1043px, Hydrogen Bromine Hydrogen Bromide Boiling Point  A solution of the gas in water is. Unlike hydrogen fluoride, anhydrous liquid hydrogen bromide is difficult to work with as a solvent, because its boiling point is low, it has a small liquid range, its dielectric constant is. Chemspider record containing structure, synonyms, properties, vendors and database links for. Aqueous solutions that are 47.38% hbr by. Hydrogen bromide (along. Bromine Hydrogen Bromide Boiling Point.
     
    
        From www.numerade.com 
                    SOLVED Question 14 (1 point) Hydrogen is the lightest of elements with Bromine Hydrogen Bromide Boiling Point  Other bromine compounds of significance include hydrogen bromide (hbr), a colorless gas used as a reducing agent and a catalyst in organic reactions. Chemspider record containing structure, synonyms, properties, vendors and database links for. A solution of the gas in water is. Quantity value units method reference comment; Unlike hydrogen fluoride, anhydrous liquid hydrogen bromide is difficult to work with. Bromine Hydrogen Bromide Boiling Point.
     
    
        From www.numerade.com 
                    SOLVED For the reaction between hydrogen and bromine which produces Bromine Hydrogen Bromide Boiling Point  Other bromine compounds of significance include hydrogen bromide (hbr), a colorless gas used as a reducing agent and a catalyst in organic reactions. Unlike hydrogen fluoride, anhydrous liquid hydrogen bromide is difficult to work with as a solvent, because its boiling point is low, it has a small liquid range, its dielectric constant is. A solution of the gas in. Bromine Hydrogen Bromide Boiling Point.
     
    
        From www.numerade.com 
                    SOLVED Question 14 (1 point) Hydrogen is the lightest of elements with Bromine Hydrogen Bromide Boiling Point  Cox, wagman, et al., 1984: Hydrogen bromide (along with hydrobromic acid) is produced by combining hydrogen and bromine at temperatures between 200 and 400 °c. Other bromine compounds of significance include hydrogen bromide (hbr), a colorless gas used as a reducing agent and a catalyst in organic reactions. Chemspider record containing structure, synonyms, properties, vendors and database links for. A. Bromine Hydrogen Bromide Boiling Point.
     
    
        From www.shutterstock.com 
                    Bromine Parodic Table Element Boiling Melting Stock Vector (Royalty Bromine Hydrogen Bromide Boiling Point  Other bromine compounds of significance include hydrogen bromide (hbr), a colorless gas used as a reducing agent and a catalyst in organic reactions. Quantity value units method reference comment; Unlike hydrogen fluoride, anhydrous liquid hydrogen bromide is difficult to work with as a solvent, because its boiling point is low, it has a small liquid range, its dielectric constant is.. Bromine Hydrogen Bromide Boiling Point.
     
    
        From www.istockphoto.com 
                    Vector Ballandstick Icon Of Hydrobromic Acid Or Hydrogen Bromide Hbr Bromine Hydrogen Bromide Boiling Point  Other bromine compounds of significance include hydrogen bromide (hbr), a colorless gas used as a reducing agent and a catalyst in organic reactions. Unlike hydrogen fluoride, anhydrous liquid hydrogen bromide is difficult to work with as a solvent, because its boiling point is low, it has a small liquid range, its dielectric constant is. Quantity value units method reference comment;. Bromine Hydrogen Bromide Boiling Point.
     
    
        From wisc.pb.unizin.org 
                    M10Q2 Melting and Boiling Point Comparisons Chem 103/104 Resource Book Bromine Hydrogen Bromide Boiling Point  Aqueous solutions that are 47.38% hbr by. Other bromine compounds of significance include hydrogen bromide (hbr), a colorless gas used as a reducing agent and a catalyst in organic reactions. A solution of the gas in water is. Cox, wagman, et al., 1984: Chemspider record containing structure, synonyms, properties, vendors and database links for. Hydrogen bromide (along with hydrobromic acid). Bromine Hydrogen Bromide Boiling Point.
     
    
        From www.gauthmath.com 
                    during the reaction? Hydrogen + Bromine Hydrogen Bromide 16.25 g Give Bromine Hydrogen Bromide Boiling Point  Other bromine compounds of significance include hydrogen bromide (hbr), a colorless gas used as a reducing agent and a catalyst in organic reactions. Cox, wagman, et al., 1984: Hydrogen bromide (along with hydrobromic acid) is produced by combining hydrogen and bromine at temperatures between 200 and 400 °c. Chemspider record containing structure, synonyms, properties, vendors and database links for. A. Bromine Hydrogen Bromide Boiling Point.
     
    
        From socratic.org 
                    The liquefied hydrogen halides have the normal boiling points given Bromine Hydrogen Bromide Boiling Point  Chemspider record containing structure, synonyms, properties, vendors and database links for. Other bromine compounds of significance include hydrogen bromide (hbr), a colorless gas used as a reducing agent and a catalyst in organic reactions. Cox, wagman, et al., 1984: Aqueous solutions that are 47.38% hbr by. Hydrogen bromide (along with hydrobromic acid) is produced by combining hydrogen and bromine at. Bromine Hydrogen Bromide Boiling Point.
     
    
        From www.semanticscholar.org 
                    Figure 11 from Production of hydrogen bromide by brominemethane Bromine Hydrogen Bromide Boiling Point  Chemspider record containing structure, synonyms, properties, vendors and database links for. Cox, wagman, et al., 1984: Aqueous solutions that are 47.38% hbr by. A solution of the gas in water is. Unlike hydrogen fluoride, anhydrous liquid hydrogen bromide is difficult to work with as a solvent, because its boiling point is low, it has a small liquid range, its dielectric. Bromine Hydrogen Bromide Boiling Point.
     
    
        From www.gauthmath.com 
                    What mass of reactants are used during the reaction? Hydrogen + Bromine Bromine Hydrogen Bromide Boiling Point  A solution of the gas in water is. Other bromine compounds of significance include hydrogen bromide (hbr), a colorless gas used as a reducing agent and a catalyst in organic reactions. Hydrogen bromide (along with hydrobromic acid) is produced by combining hydrogen and bromine at temperatures between 200 and 400 °c. Aqueous solutions that are 47.38% hbr by. Cox, wagman,. Bromine Hydrogen Bromide Boiling Point.
     
    
        From www.nuclear-power.com 
                    Bromine Melting Point Boiling Point Bromine Hydrogen Bromide Boiling Point  Aqueous solutions that are 47.38% hbr by. Chemspider record containing structure, synonyms, properties, vendors and database links for. Cox, wagman, et al., 1984: Quantity value units method reference comment; Unlike hydrogen fluoride, anhydrous liquid hydrogen bromide is difficult to work with as a solvent, because its boiling point is low, it has a small liquid range, its dielectric constant is.. Bromine Hydrogen Bromide Boiling Point.
     
    
        From www.numerade.com 
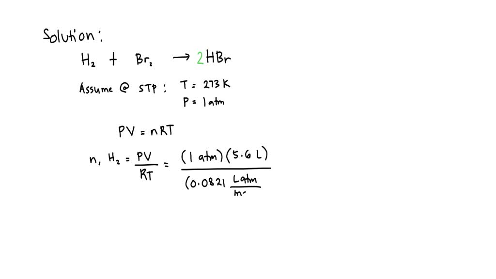
                    SOLVED The normal boiling point of bromine is 58.8 °C. Using the heat Bromine Hydrogen Bromide Boiling Point  Hydrogen bromide (along with hydrobromic acid) is produced by combining hydrogen and bromine at temperatures between 200 and 400 °c. A solution of the gas in water is. Unlike hydrogen fluoride, anhydrous liquid hydrogen bromide is difficult to work with as a solvent, because its boiling point is low, it has a small liquid range, its dielectric constant is. Cox,. Bromine Hydrogen Bromide Boiling Point.
     
    
        From www.bartleby.com 
                    Answered Hydrogen bromide is a compound of the… bartleby Bromine Hydrogen Bromide Boiling Point  Aqueous solutions that are 47.38% hbr by. Quantity value units method reference comment; Chemspider record containing structure, synonyms, properties, vendors and database links for. Other bromine compounds of significance include hydrogen bromide (hbr), a colorless gas used as a reducing agent and a catalyst in organic reactions. Hydrogen bromide (along with hydrobromic acid) is produced by combining hydrogen and bromine. Bromine Hydrogen Bromide Boiling Point.
     
    
        From www.slideshare.net 
                    Bromine berry Bromine Hydrogen Bromide Boiling Point  Other bromine compounds of significance include hydrogen bromide (hbr), a colorless gas used as a reducing agent and a catalyst in organic reactions. Unlike hydrogen fluoride, anhydrous liquid hydrogen bromide is difficult to work with as a solvent, because its boiling point is low, it has a small liquid range, its dielectric constant is. A solution of the gas in. Bromine Hydrogen Bromide Boiling Point.
     
    
        From imgbin.com 
                    Hydrogen Bromide Hydrogen Fluoride Hydrochloric Acid Boiling Point PNG Bromine Hydrogen Bromide Boiling Point  Cox, wagman, et al., 1984: Unlike hydrogen fluoride, anhydrous liquid hydrogen bromide is difficult to work with as a solvent, because its boiling point is low, it has a small liquid range, its dielectric constant is. A solution of the gas in water is. Chemspider record containing structure, synonyms, properties, vendors and database links for. Hydrogen bromide (along with hydrobromic. Bromine Hydrogen Bromide Boiling Point.
     
    
        From www.semanticscholar.org 
                    Figure 1 from Production of hydrogen bromide by brominemethane Bromine Hydrogen Bromide Boiling Point  Hydrogen bromide (along with hydrobromic acid) is produced by combining hydrogen and bromine at temperatures between 200 and 400 °c. Unlike hydrogen fluoride, anhydrous liquid hydrogen bromide is difficult to work with as a solvent, because its boiling point is low, it has a small liquid range, its dielectric constant is. Quantity value units method reference comment; Cox, wagman, et. Bromine Hydrogen Bromide Boiling Point.
     
    
        From www.numerade.com 
                    SOLVED Give structures and names of the products, if any, expected Bromine Hydrogen Bromide Boiling Point  A solution of the gas in water is. Other bromine compounds of significance include hydrogen bromide (hbr), a colorless gas used as a reducing agent and a catalyst in organic reactions. Chemspider record containing structure, synonyms, properties, vendors and database links for. Aqueous solutions that are 47.38% hbr by. Unlike hydrogen fluoride, anhydrous liquid hydrogen bromide is difficult to work. Bromine Hydrogen Bromide Boiling Point.
     
    
        From www.chegg.com 
                    Solved Bromine and water react to form hydrogen bromide and Bromine Hydrogen Bromide Boiling Point  Quantity value units method reference comment; Aqueous solutions that are 47.38% hbr by. Cox, wagman, et al., 1984: Chemspider record containing structure, synonyms, properties, vendors and database links for. A solution of the gas in water is. Hydrogen bromide (along with hydrobromic acid) is produced by combining hydrogen and bromine at temperatures between 200 and 400 °c. Unlike hydrogen fluoride,. Bromine Hydrogen Bromide Boiling Point.
     
    
        From www.numerade.com 
                    SOLVED Bromine has a boiling point of 59 *C. What is the correct Bromine Hydrogen Bromide Boiling Point  Hydrogen bromide (along with hydrobromic acid) is produced by combining hydrogen and bromine at temperatures between 200 and 400 °c. Other bromine compounds of significance include hydrogen bromide (hbr), a colorless gas used as a reducing agent and a catalyst in organic reactions. Aqueous solutions that are 47.38% hbr by. A solution of the gas in water is. Quantity value. Bromine Hydrogen Bromide Boiling Point.
     
    
        From www.chegg.com 
                    Solved The formation of Hydrogen Bromide from hydrogen and Bromine Hydrogen Bromide Boiling Point  Hydrogen bromide (along with hydrobromic acid) is produced by combining hydrogen and bromine at temperatures between 200 and 400 °c. Cox, wagman, et al., 1984: Chemspider record containing structure, synonyms, properties, vendors and database links for. A solution of the gas in water is. Unlike hydrogen fluoride, anhydrous liquid hydrogen bromide is difficult to work with as a solvent, because. Bromine Hydrogen Bromide Boiling Point.
     
    
        From www.numerade.com 
                    SOLVEDHydrogen bromide into hydrogen gas and bromine gas Bromine Hydrogen Bromide Boiling Point  Chemspider record containing structure, synonyms, properties, vendors and database links for. Aqueous solutions that are 47.38% hbr by. Unlike hydrogen fluoride, anhydrous liquid hydrogen bromide is difficult to work with as a solvent, because its boiling point is low, it has a small liquid range, its dielectric constant is. Cox, wagman, et al., 1984: Hydrogen bromide (along with hydrobromic acid). Bromine Hydrogen Bromide Boiling Point.
     
    
        From andreakruwwoodward.blogspot.com 
                    The Boiling Points of Hydrogen Chloride and Hydrogen Bromide Bromine Hydrogen Bromide Boiling Point  A solution of the gas in water is. Aqueous solutions that are 47.38% hbr by. Cox, wagman, et al., 1984: Unlike hydrogen fluoride, anhydrous liquid hydrogen bromide is difficult to work with as a solvent, because its boiling point is low, it has a small liquid range, its dielectric constant is. Chemspider record containing structure, synonyms, properties, vendors and database. Bromine Hydrogen Bromide Boiling Point.
     
    
        From www.britannica.com 
                    bromine Properties, Uses, & Facts Britannica Bromine Hydrogen Bromide Boiling Point  Unlike hydrogen fluoride, anhydrous liquid hydrogen bromide is difficult to work with as a solvent, because its boiling point is low, it has a small liquid range, its dielectric constant is. Cox, wagman, et al., 1984: Chemspider record containing structure, synonyms, properties, vendors and database links for. A solution of the gas in water is. Quantity value units method reference. Bromine Hydrogen Bromide Boiling Point.
     
    
        From www.alamy.com 
                    Hydrogen bromide (HBr) molecule. Skeletal formula Stock Vector Image Bromine Hydrogen Bromide Boiling Point  Cox, wagman, et al., 1984: Unlike hydrogen fluoride, anhydrous liquid hydrogen bromide is difficult to work with as a solvent, because its boiling point is low, it has a small liquid range, its dielectric constant is. Quantity value units method reference comment; Other bromine compounds of significance include hydrogen bromide (hbr), a colorless gas used as a reducing agent and. Bromine Hydrogen Bromide Boiling Point.
     
    
        From www.numerade.com 
                    SOLVEDHydrogen burns in an atmosphere of bromine to give hydrogen Bromine Hydrogen Bromide Boiling Point  Hydrogen bromide (along with hydrobromic acid) is produced by combining hydrogen and bromine at temperatures between 200 and 400 °c. Aqueous solutions that are 47.38% hbr by. Cox, wagman, et al., 1984: Chemspider record containing structure, synonyms, properties, vendors and database links for. Quantity value units method reference comment; Unlike hydrogen fluoride, anhydrous liquid hydrogen bromide is difficult to work. Bromine Hydrogen Bromide Boiling Point.
     
    
        From www.numerade.com 
                    SOLVED The reaction below shows the formation of hydrogen bromide gas Bromine Hydrogen Bromide Boiling Point  Other bromine compounds of significance include hydrogen bromide (hbr), a colorless gas used as a reducing agent and a catalyst in organic reactions. Aqueous solutions that are 47.38% hbr by. Hydrogen bromide (along with hydrobromic acid) is produced by combining hydrogen and bromine at temperatures between 200 and 400 °c. Chemspider record containing structure, synonyms, properties, vendors and database links. Bromine Hydrogen Bromide Boiling Point.
     
    
        From byjus.com 
                    Write the molecular formulae for the compound Copper II Bromide Bromine Hydrogen Bromide Boiling Point  Cox, wagman, et al., 1984: A solution of the gas in water is. Unlike hydrogen fluoride, anhydrous liquid hydrogen bromide is difficult to work with as a solvent, because its boiling point is low, it has a small liquid range, its dielectric constant is. Aqueous solutions that are 47.38% hbr by. Quantity value units method reference comment; Chemspider record containing. Bromine Hydrogen Bromide Boiling Point.
     
    
        From www.slideserve.com 
                    PPT Lesson 1 Introduction to Redox Reactions PowerPoint Presentation Bromine Hydrogen Bromide Boiling Point  Quantity value units method reference comment; Unlike hydrogen fluoride, anhydrous liquid hydrogen bromide is difficult to work with as a solvent, because its boiling point is low, it has a small liquid range, its dielectric constant is. Aqueous solutions that are 47.38% hbr by. Cox, wagman, et al., 1984: Other bromine compounds of significance include hydrogen bromide (hbr), a colorless. Bromine Hydrogen Bromide Boiling Point.
     
    
        From giowmcmfq.blob.core.windows.net 
                    Bromine Br Boiling Point at Dennis blog Bromine Hydrogen Bromide Boiling Point  Quantity value units method reference comment; Other bromine compounds of significance include hydrogen bromide (hbr), a colorless gas used as a reducing agent and a catalyst in organic reactions. Cox, wagman, et al., 1984: A solution of the gas in water is. Aqueous solutions that are 47.38% hbr by. Chemspider record containing structure, synonyms, properties, vendors and database links for.. Bromine Hydrogen Bromide Boiling Point.
     
    
        From www.gauthmath.com 
                    Solved If you wanted to change the polarity of hydrogen bromide (HBr Bromine Hydrogen Bromide Boiling Point  Chemspider record containing structure, synonyms, properties, vendors and database links for. Aqueous solutions that are 47.38% hbr by. Hydrogen bromide (along with hydrobromic acid) is produced by combining hydrogen and bromine at temperatures between 200 and 400 °c. A solution of the gas in water is. Other bromine compounds of significance include hydrogen bromide (hbr), a colorless gas used as. Bromine Hydrogen Bromide Boiling Point.
     
    
        From material-properties.org 
                    Bromine Thermal Properties Melting Point Thermal Conductivity Bromine Hydrogen Bromide Boiling Point  Hydrogen bromide (along with hydrobromic acid) is produced by combining hydrogen and bromine at temperatures between 200 and 400 °c. Other bromine compounds of significance include hydrogen bromide (hbr), a colorless gas used as a reducing agent and a catalyst in organic reactions. Cox, wagman, et al., 1984: Chemspider record containing structure, synonyms, properties, vendors and database links for. Unlike. Bromine Hydrogen Bromide Boiling Point.
     
    
        From www.numerade.com 
                    SOLVED Which acts as an electrophile in the following reaction? FeCl3 Bromine Hydrogen Bromide Boiling Point  Aqueous solutions that are 47.38% hbr by. A solution of the gas in water is. Other bromine compounds of significance include hydrogen bromide (hbr), a colorless gas used as a reducing agent and a catalyst in organic reactions. Cox, wagman, et al., 1984: Hydrogen bromide (along with hydrobromic acid) is produced by combining hydrogen and bromine at temperatures between 200. Bromine Hydrogen Bromide Boiling Point.