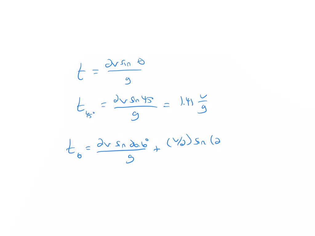
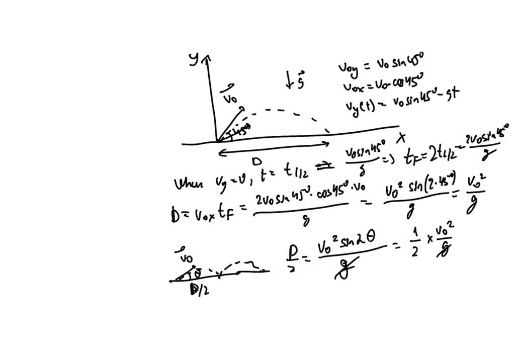
An Outfielder Throws A Baseball To His Catcher . The ball bounces once before reaching the catcher. Assume the angle at which the bounced ball leaves the ground is the same. The ball bounces once before reaching the catcher. An outfielder throws a baseball to his catcher in an attempt to throw out a runner at home plate. The ball bounces once before reaching the catcher. An outfielder throws a baseball to his catcher in an attempt to throw out a runner at home plate. The time of travel in this case is given by $t_ {nb} = \frac {2v\sin. An outfielder throws a baseball to his catcher in an attempt to throw out a runner at home plate. The ball bounces once before reaching the catcher. An outfielder throws a baseball to his catcher in an attempt to throw out a runner at home plate. The ball bounces once before reaching the catcher. An outfielder throws a baseball to his catcher in an attempt to throw out a runner at home plate. In the first case, the ball is thrown at an angle of $45^ {\circ}$ without bouncing. The ball bounces once before reaching the catcher. The ball bounces once before.
from www.huffingtonpost.com
An outfielder throws a baseball to his catcher in an attempt to throw out a runner at home plate. The ball bounces once before reaching the catcher. The ball bounces once before reaching the catcher. An outfielder throws a baseball to his catcher in an attempt to throw out a runner at home plate. Assume the angle at which the bounced ball leaves the ground is the same. An outfielder throws a baseball to his catcher in an attempt to throw out a runner at home plate. The ball bounces once before reaching the catcher. The time of travel in this case is given by $t_ {nb} = \frac {2v\sin. An outfielder throws a baseball to his catcher in an attempt to throw out a runner at home plate. An outfielder throws a baseball to his catcher in an attempt to throw out a runner at home plate.
Aaron Hicks Throw Twins Outfielder Catches Vernon Wells Trying To Get
An Outfielder Throws A Baseball To His Catcher The ball bounces once before reaching the catcher. In the first case, the ball is thrown at an angle of $45^ {\circ}$ without bouncing. The ball bounces once before reaching the catcher. The ball bounces once before reaching the catcher. Assume the angle at which the bounced ball leaves the ground is the same. An outfielder throws a baseball to his catcher in an attempt to throw out a runner at home plate. An outfielder throws a baseball to his catcher in an attempt to throw out a runner at home plate. An outfielder throws a baseball to his catcher in an attempt to throw out a runner at home plate. The ball bounces once before reaching the catcher. The ball bounces once before. An outfielder throws a baseball to his catcher in an attempt to throw out a runner at home plate. An outfielder throws a baseball to his catcher in an attempt to throw out a runner at home plate. The time of travel in this case is given by $t_ {nb} = \frac {2v\sin. The ball bounces once before reaching the catcher. The ball bounces once before reaching the catcher. An outfielder throws a baseball to his catcher in an attempt to throw out a runner at home plate.
From www.huffingtonpost.com
Aaron Hicks Throw Twins Outfielder Catches Vernon Wells Trying To Get An Outfielder Throws A Baseball To His Catcher The ball bounces once before. An outfielder throws a baseball to his catcher in an attempt to throw out a runner at home plate. The ball bounces once before reaching the catcher. The ball bounces once before reaching the catcher. An outfielder throws a baseball to his catcher in an attempt to throw out a runner at home plate. The. An Outfielder Throws A Baseball To His Catcher.
From www.bartleby.com
Answered An outfielder throws a baseball to his… bartleby An Outfielder Throws A Baseball To His Catcher The ball bounces once before reaching the catcher. The time of travel in this case is given by $t_ {nb} = \frac {2v\sin. An outfielder throws a baseball to his catcher in an attempt to throw out a runner at home plate. The ball bounces once before reaching the catcher. An outfielder throws a baseball to his catcher in an. An Outfielder Throws A Baseball To His Catcher.
From www.chegg.com
Solved An outfielder throws a baseball to his catcher in an An Outfielder Throws A Baseball To His Catcher An outfielder throws a baseball to his catcher in an attempt to throw out a runner at home plate. The time of travel in this case is given by $t_ {nb} = \frac {2v\sin. The ball bounces once before reaching the catcher. An outfielder throws a baseball to his catcher in an attempt to throw out a runner at home. An Outfielder Throws A Baseball To His Catcher.
From www.dreamstime.com
2012 Minor League Baseball Outfielder Catch Editorial Photography An Outfielder Throws A Baseball To His Catcher The ball bounces once before reaching the catcher. An outfielder throws a baseball to his catcher in an attempt to throw out a runner at home plate. The ball bounces once before reaching the catcher. An outfielder throws a baseball to his catcher in an attempt to throw out a runner at home plate. An outfielder throws a baseball to. An Outfielder Throws A Baseball To His Catcher.
From www.chegg.com
Solved An outfielder throws a baseball to his catcher in an An Outfielder Throws A Baseball To His Catcher The ball bounces once before reaching the catcher. The ball bounces once before reaching the catcher. The ball bounces once before reaching the catcher. An outfielder throws a baseball to his catcher in an attempt to throw out a runner at home plate. The ball bounces once before reaching the catcher. An outfielder throws a baseball to his catcher in. An Outfielder Throws A Baseball To His Catcher.
From www.chegg.com
Solved Problem 4 An outfielder throws a baseball to his An Outfielder Throws A Baseball To His Catcher An outfielder throws a baseball to his catcher in an attempt to throw out a runner at home plate. An outfielder throws a baseball to his catcher in an attempt to throw out a runner at home plate. The ball bounces once before reaching the catcher. The ball bounces once before reaching the catcher. An outfielder throws a baseball to. An Outfielder Throws A Baseball To His Catcher.
From baseballrulesacademy.com
Outfielder Throws His Glove at a Batted Ball Baseball Rules Academy An Outfielder Throws A Baseball To His Catcher An outfielder throws a baseball to his catcher in an attempt to throw out a runner at home plate. The ball bounces once before reaching the catcher. The ball bounces once before reaching the catcher. An outfielder throws a baseball to his catcher in an attempt to throw out a runner at home plate. An outfielder throws a baseball to. An Outfielder Throws A Baseball To His Catcher.
From www.coursehero.com
[Solved] . 2.3 An outfielder throws a baseball to his catcher in an An Outfielder Throws A Baseball To His Catcher An outfielder throws a baseball to his catcher in an attempt to throw out a runner at home plate. The ball bounces once before reaching the catcher. The ball bounces once before reaching the catcher. An outfielder throws a baseball to his catcher in an attempt to throw out a runner at home plate. An outfielder throws a baseball to. An Outfielder Throws A Baseball To His Catcher.
From www.chegg.com
Solved Problem 4 An outfielder throws a baseball to his An Outfielder Throws A Baseball To His Catcher The time of travel in this case is given by $t_ {nb} = \frac {2v\sin. In the first case, the ball is thrown at an angle of $45^ {\circ}$ without bouncing. An outfielder throws a baseball to his catcher in an attempt to throw out a runner at home plate. The ball bounces once before. The ball bounces once before. An Outfielder Throws A Baseball To His Catcher.
From www.wsj.com
Baseball’s Newest Infatuation Is With Outfield Defense WSJ An Outfielder Throws A Baseball To His Catcher The ball bounces once before reaching the catcher. An outfielder throws a baseball to his catcher in an attempt to throw out a runner at home plate. The ball bounces once before reaching the catcher. The ball bounces once before reaching the catcher. An outfielder throws a baseball to his catcher in an attempt to throw out a runner at. An Outfielder Throws A Baseball To His Catcher.
From sportsguys.net
Top 10 Outfield throws in MLB History An Outfielder Throws A Baseball To His Catcher The ball bounces once before reaching the catcher. In the first case, the ball is thrown at an angle of $45^ {\circ}$ without bouncing. The time of travel in this case is given by $t_ {nb} = \frac {2v\sin. The ball bounces once before. Assume the angle at which the bounced ball leaves the ground is the same. An outfielder. An Outfielder Throws A Baseball To His Catcher.
From www.youtube.com
👉 How to play the outfield in baseball Baseball training drills An Outfielder Throws A Baseball To His Catcher Assume the angle at which the bounced ball leaves the ground is the same. An outfielder throws a baseball to his catcher in an attempt to throw out a runner at home plate. In the first case, the ball is thrown at an angle of $45^ {\circ}$ without bouncing. The ball bounces once before reaching the catcher. The ball bounces. An Outfielder Throws A Baseball To His Catcher.
From www.youtube.com
Baseball Outfield Throwing Mechanics YouTube An Outfielder Throws A Baseball To His Catcher An outfielder throws a baseball to his catcher in an attempt to throw out a runner at home plate. An outfielder throws a baseball to his catcher in an attempt to throw out a runner at home plate. The time of travel in this case is given by $t_ {nb} = \frac {2v\sin. The ball bounces once before reaching the. An Outfielder Throws A Baseball To His Catcher.
From www.numerade.com
SOLVEDProjectile Motion Baseball An outfielder throws a baseball at An Outfielder Throws A Baseball To His Catcher An outfielder throws a baseball to his catcher in an attempt to throw out a runner at home plate. An outfielder throws a baseball to his catcher in an attempt to throw out a runner at home plate. The ball bounces once before reaching the catcher. The ball bounces once before. An outfielder throws a baseball to his catcher in. An Outfielder Throws A Baseball To His Catcher.
From www.youtube.com
2015 Best MLB Outfield Catches Part 1 YouTube An Outfielder Throws A Baseball To His Catcher An outfielder throws a baseball to his catcher in an attempt to throw out a runner at home plate. The time of travel in this case is given by $t_ {nb} = \frac {2v\sin. An outfielder throws a baseball to his catcher in an attempt to throw out a runner at home plate. The ball bounces once before reaching the. An Outfielder Throws A Baseball To His Catcher.
From www.alamy.com
Outfielder Catching High Resolution Stock Photography and Images Alamy An Outfielder Throws A Baseball To His Catcher An outfielder throws a baseball to his catcher in an attempt to throw out a runner at home plate. The ball bounces once before reaching the catcher. The ball bounces once before reaching the catcher. The ball bounces once before reaching the catcher. The ball bounces once before reaching the catcher. An outfielder throws a baseball to his catcher in. An Outfielder Throws A Baseball To His Catcher.
From www.coursehero.com
[Solved] . 2.3 An outfielder throws a baseball to his catcher in an An Outfielder Throws A Baseball To His Catcher An outfielder throws a baseball to his catcher in an attempt to throw out a runner at home plate. The ball bounces once before reaching the catcher. The ball bounces once before. The ball bounces once before reaching the catcher. An outfielder throws a baseball to his catcher in an attempt to throw out a runner at home plate. In. An Outfielder Throws A Baseball To His Catcher.
From www.chegg.com
Solved An outfielder throws a baseball to his catcher in an An Outfielder Throws A Baseball To His Catcher The ball bounces once before reaching the catcher. The ball bounces once before. The ball bounces once before reaching the catcher. In the first case, the ball is thrown at an angle of $45^ {\circ}$ without bouncing. The ball bounces once before reaching the catcher. The time of travel in this case is given by $t_ {nb} = \frac {2v\sin.. An Outfielder Throws A Baseball To His Catcher.
From www.youtube.com
ProTips Baseball and Softball Outfielder Tips How to Throw from the An Outfielder Throws A Baseball To His Catcher The ball bounces once before reaching the catcher. Assume the angle at which the bounced ball leaves the ground is the same. An outfielder throws a baseball to his catcher in an attempt to throw out a runner at home plate. An outfielder throws a baseball to his catcher in an attempt to throw out a runner at home plate.. An Outfielder Throws A Baseball To His Catcher.
From www.numerade.com
SOLVED An outfielder throws a baseball to his catcher in an attempt to An Outfielder Throws A Baseball To His Catcher An outfielder throws a baseball to his catcher in an attempt to throw out a runner at home plate. Assume the angle at which the bounced ball leaves the ground is the same. An outfielder throws a baseball to his catcher in an attempt to throw out a runner at home plate. The ball bounces once before reaching the catcher.. An Outfielder Throws A Baseball To His Catcher.
From www.youtube.com
Top 10 Greatest Outfield Throws in MLB History (Part 2) YouTube An Outfielder Throws A Baseball To His Catcher An outfielder throws a baseball to his catcher in an attempt to throw out a runner at home plate. Assume the angle at which the bounced ball leaves the ground is the same. An outfielder throws a baseball to his catcher in an attempt to throw out a runner at home plate. An outfielder throws a baseball to his catcher. An Outfielder Throws A Baseball To His Catcher.
From www.chegg.com
Solved Problem 4 An outfielder throws a baseball to his An Outfielder Throws A Baseball To His Catcher An outfielder throws a baseball to his catcher in an attempt to throw out a runner at home plate. The ball bounces once before reaching the catcher. The time of travel in this case is given by $t_ {nb} = \frac {2v\sin. In the first case, the ball is thrown at an angle of $45^ {\circ}$ without bouncing. Assume the. An Outfielder Throws A Baseball To His Catcher.
From www.coursehero.com
[Solved] . 2.3 An outfielder throws a baseball to his catcher in an An Outfielder Throws A Baseball To His Catcher The ball bounces once before reaching the catcher. An outfielder throws a baseball to his catcher in an attempt to throw out a runner at home plate. An outfielder throws a baseball to his catcher in an attempt to throw out a runner at home plate. The ball bounces once before reaching the catcher. The ball bounces once before. An. An Outfielder Throws A Baseball To His Catcher.
From www.espn.in
MLB's five best outfield throws of 2014 ESPN An Outfielder Throws A Baseball To His Catcher The time of travel in this case is given by $t_ {nb} = \frac {2v\sin. An outfielder throws a baseball to his catcher in an attempt to throw out a runner at home plate. An outfielder throws a baseball to his catcher in an attempt to throw out a runner at home plate. An outfielder throws a baseball to his. An Outfielder Throws A Baseball To His Catcher.
From www.chegg.com
Solved An outfielder throws a baseball to his catcher in an An Outfielder Throws A Baseball To His Catcher The ball bounces once before. An outfielder throws a baseball to his catcher in an attempt to throw out a runner at home plate. The ball bounces once before reaching the catcher. An outfielder throws a baseball to his catcher in an attempt to throw out a runner at home plate. An outfielder throws a baseball to his catcher in. An Outfielder Throws A Baseball To His Catcher.
From www.youtube.com
How to Catch a Fly Ball Baseball Outfield Tips YouTube An Outfielder Throws A Baseball To His Catcher The ball bounces once before reaching the catcher. The ball bounces once before reaching the catcher. Assume the angle at which the bounced ball leaves the ground is the same. An outfielder throws a baseball to his catcher in an attempt to throw out a runner at home plate. The ball bounces once before reaching the catcher. An outfielder throws. An Outfielder Throws A Baseball To His Catcher.
From www.chegg.com
Solved Problem 4 An outfielder throws a baseball to his An Outfielder Throws A Baseball To His Catcher The ball bounces once before reaching the catcher. An outfielder throws a baseball to his catcher in an attempt to throw out a runner at home plate. The time of travel in this case is given by $t_ {nb} = \frac {2v\sin. In the first case, the ball is thrown at an angle of $45^ {\circ}$ without bouncing. The ball. An Outfielder Throws A Baseball To His Catcher.
From www.numerade.com
SOLVED An outfielder throws a baseball to his catcher in an attempt to An Outfielder Throws A Baseball To His Catcher The ball bounces once before reaching the catcher. The ball bounces once before reaching the catcher. An outfielder throws a baseball to his catcher in an attempt to throw out a runner at home plate. Assume the angle at which the bounced ball leaves the ground is the same. An outfielder throws a baseball to his catcher in an attempt. An Outfielder Throws A Baseball To His Catcher.
From www.dreamstime.com
College Baseball Outfielder Throwing The Ball Editorial Stock Image An Outfielder Throws A Baseball To His Catcher Assume the angle at which the bounced ball leaves the ground is the same. The ball bounces once before reaching the catcher. The ball bounces once before. The ball bounces once before reaching the catcher. The time of travel in this case is given by $t_ {nb} = \frac {2v\sin. An outfielder throws a baseball to his catcher in an. An Outfielder Throws A Baseball To His Catcher.
From www.baseball-tutorials.com
Outfield Cutoff Throws 2 Baseball Tutorials An Outfielder Throws A Baseball To His Catcher In the first case, the ball is thrown at an angle of $45^ {\circ}$ without bouncing. An outfielder throws a baseball to his catcher in an attempt to throw out a runner at home plate. Assume the angle at which the bounced ball leaves the ground is the same. The ball bounces once before. An outfielder throws a baseball to. An Outfielder Throws A Baseball To His Catcher.
From stlpinchhits.com
Dylan Carlson's outfield throw on Wednesday was stunning. But where An Outfielder Throws A Baseball To His Catcher An outfielder throws a baseball to his catcher in an attempt to throw out a runner at home plate. An outfielder throws a baseball to his catcher in an attempt to throw out a runner at home plate. The ball bounces once before reaching the catcher. The ball bounces once before reaching the catcher. The ball bounces once before reaching. An Outfielder Throws A Baseball To His Catcher.
From www.chegg.com
Solved An outfielder throws a baseball to his catcher in an An Outfielder Throws A Baseball To His Catcher The ball bounces once before reaching the catcher. The ball bounces once before reaching the catcher. The ball bounces once before reaching the catcher. An outfielder throws a baseball to his catcher in an attempt to throw out a runner at home plate. An outfielder throws a baseball to his catcher in an attempt to throw out a runner at. An Outfielder Throws A Baseball To His Catcher.
From www.99sportz.com
Baseball Positions All 9 Player Posisitions [Explained] An Outfielder Throws A Baseball To His Catcher The ball bounces once before reaching the catcher. An outfielder throws a baseball to his catcher in an attempt to throw out a runner at home plate. The time of travel in this case is given by $t_ {nb} = \frac {2v\sin. An outfielder throws a baseball to his catcher in an attempt to throw out a runner at home. An Outfielder Throws A Baseball To His Catcher.
From www.siouxempirebaseball.org
Outfield Mechanics/Play An Outfielder Throws A Baseball To His Catcher An outfielder throws a baseball to his catcher in an attempt to throw out a runner at home plate. The ball bounces once before reaching the catcher. In the first case, the ball is thrown at an angle of $45^ {\circ}$ without bouncing. The ball bounces once before. The ball bounces once before reaching the catcher. The ball bounces once. An Outfielder Throws A Baseball To His Catcher.
From www.chegg.com
Solved An outfielder throws a baseball to his catcher in an An Outfielder Throws A Baseball To His Catcher An outfielder throws a baseball to his catcher in an attempt to throw out a runner at home plate. The ball bounces once before reaching the catcher. An outfielder throws a baseball to his catcher in an attempt to throw out a runner at home plate. An outfielder throws a baseball to his catcher in an attempt to throw out. An Outfielder Throws A Baseball To His Catcher.