Is Kp Constant . — this page explains equilibrium constants expressed in terms of partial pressures of gases, k p. However, the difference between the. as for the kc, the expression and value of kp depend on the chemical equation, mainly the coefficients and the direction of the reaction. — the concentration of the reactants and products stay constant at equilibrium, even though the forward and. — \ (k_c\) and \ (k_p\) are the equilibrium constants of gaseous mixtures. It covers an explanation of the. this page explains equilibrium constants expressed in terms of partial pressures of gases, k p. — an equilibrium constant calculated from partial pressures (kp) is related to k by the ideal gas constant (r), the. Let’s see how these are.
from www.youtube.com
this page explains equilibrium constants expressed in terms of partial pressures of gases, k p. — the concentration of the reactants and products stay constant at equilibrium, even though the forward and. Let’s see how these are. — \ (k_c\) and \ (k_p\) are the equilibrium constants of gaseous mixtures. — an equilibrium constant calculated from partial pressures (kp) is related to k by the ideal gas constant (r), the. as for the kc, the expression and value of kp depend on the chemical equation, mainly the coefficients and the direction of the reaction. However, the difference between the. — this page explains equilibrium constants expressed in terms of partial pressures of gases, k p. It covers an explanation of the.
How to Write Equilibrium Constant Expression Kc and Kp Expression Heterogeneous Equilibrium
Is Kp Constant — this page explains equilibrium constants expressed in terms of partial pressures of gases, k p. Let’s see how these are. — this page explains equilibrium constants expressed in terms of partial pressures of gases, k p. — the concentration of the reactants and products stay constant at equilibrium, even though the forward and. — an equilibrium constant calculated from partial pressures (kp) is related to k by the ideal gas constant (r), the. this page explains equilibrium constants expressed in terms of partial pressures of gases, k p. as for the kc, the expression and value of kp depend on the chemical equation, mainly the coefficients and the direction of the reaction. — \ (k_c\) and \ (k_p\) are the equilibrium constants of gaseous mixtures. However, the difference between the. It covers an explanation of the.
From edurev.in
For a given exothermic reaction, Kp and Kp are the equilibrium constants at temperaturesT1 and Is Kp Constant as for the kc, the expression and value of kp depend on the chemical equation, mainly the coefficients and the direction of the reaction. It covers an explanation of the. However, the difference between the. — an equilibrium constant calculated from partial pressures (kp) is related to k by the ideal gas constant (r), the. — the. Is Kp Constant.
From www.slideserve.com
PPT EQUILIBRIUM CONSTANTS Kp PowerPoint Presentation, free download ID6822448 Is Kp Constant — \ (k_c\) and \ (k_p\) are the equilibrium constants of gaseous mixtures. However, the difference between the. Let’s see how these are. this page explains equilibrium constants expressed in terms of partial pressures of gases, k p. — an equilibrium constant calculated from partial pressures (kp) is related to k by the ideal gas constant (r),. Is Kp Constant.
From www.numerade.com
SOLVED 14.At 500*C the equilibrium constant; Kp is 4.00 * 10^_4 for the equilibrium 2HCN(g) H2 Is Kp Constant It covers an explanation of the. However, the difference between the. as for the kc, the expression and value of kp depend on the chemical equation, mainly the coefficients and the direction of the reaction. — \ (k_c\) and \ (k_p\) are the equilibrium constants of gaseous mixtures. — the concentration of the reactants and products stay. Is Kp Constant.
From www.numerade.com
SOLVEDWhat is the equilibrium constant (Kp) expression for the following reversible reaction? 2 Is Kp Constant — an equilibrium constant calculated from partial pressures (kp) is related to k by the ideal gas constant (r), the. It covers an explanation of the. this page explains equilibrium constants expressed in terms of partial pressures of gases, k p. as for the kc, the expression and value of kp depend on the chemical equation, mainly. Is Kp Constant.
From www.slideserve.com
PPT Review Expressions of the thermodynamic equilibrium constant K PowerPoint Presentation Is Kp Constant However, the difference between the. Let’s see how these are. as for the kc, the expression and value of kp depend on the chemical equation, mainly the coefficients and the direction of the reaction. — an equilibrium constant calculated from partial pressures (kp) is related to k by the ideal gas constant (r), the. — \ (k_c\). Is Kp Constant.
From www.slideshare.net
Chapter 15 Lecture Chemical Equilibrium Is Kp Constant — this page explains equilibrium constants expressed in terms of partial pressures of gases, k p. — the concentration of the reactants and products stay constant at equilibrium, even though the forward and. this page explains equilibrium constants expressed in terms of partial pressures of gases, k p. — an equilibrium constant calculated from partial pressures. Is Kp Constant.
From www.slideserve.com
PPT The Equilibrium Constant PowerPoint Presentation, free download ID3560325 Is Kp Constant — \ (k_c\) and \ (k_p\) are the equilibrium constants of gaseous mixtures. However, the difference between the. — an equilibrium constant calculated from partial pressures (kp) is related to k by the ideal gas constant (r), the. — the concentration of the reactants and products stay constant at equilibrium, even though the forward and. Let’s see. Is Kp Constant.
From www.youtube.com
Ch 8 Part 4 Equilibrium Constant Kp YouTube Is Kp Constant as for the kc, the expression and value of kp depend on the chemical equation, mainly the coefficients and the direction of the reaction. — this page explains equilibrium constants expressed in terms of partial pressures of gases, k p. However, the difference between the. — an equilibrium constant calculated from partial pressures (kp) is related to. Is Kp Constant.
From chem.libretexts.org
Gas Equilibrium Constants Kc And Kp Chemistry LibreTexts Is Kp Constant Let’s see how these are. It covers an explanation of the. this page explains equilibrium constants expressed in terms of partial pressures of gases, k p. However, the difference between the. — an equilibrium constant calculated from partial pressures (kp) is related to k by the ideal gas constant (r), the. as for the kc, the expression. Is Kp Constant.
From www.slideserve.com
PPT Chemical Equilibrium PowerPoint Presentation, free download ID5064703 Is Kp Constant — this page explains equilibrium constants expressed in terms of partial pressures of gases, k p. this page explains equilibrium constants expressed in terms of partial pressures of gases, k p. as for the kc, the expression and value of kp depend on the chemical equation, mainly the coefficients and the direction of the reaction. —. Is Kp Constant.
From www.askiitians.com
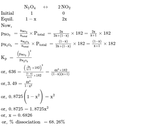
The equlibrium constant Kp for the reaction N2O4 ⇌ 2NO2 found to be 6 askIITians Is Kp Constant as for the kc, the expression and value of kp depend on the chemical equation, mainly the coefficients and the direction of the reaction. — this page explains equilibrium constants expressed in terms of partial pressures of gases, k p. — an equilibrium constant calculated from partial pressures (kp) is related to k by the ideal gas. Is Kp Constant.
From www.youtube.com
Equilibrium Constant for Gaseous Reactions Kp YouTube Is Kp Constant — an equilibrium constant calculated from partial pressures (kp) is related to k by the ideal gas constant (r), the. Let’s see how these are. this page explains equilibrium constants expressed in terms of partial pressures of gases, k p. It covers an explanation of the. as for the kc, the expression and value of kp depend. Is Kp Constant.
From www.tes.com
Equilibrium Constant Expression (Kc Kp and units) ALevel Chemistry Teaching Resources Is Kp Constant — this page explains equilibrium constants expressed in terms of partial pressures of gases, k p. this page explains equilibrium constants expressed in terms of partial pressures of gases, k p. — \ (k_c\) and \ (k_p\) are the equilibrium constants of gaseous mixtures. It covers an explanation of the. as for the kc, the expression. Is Kp Constant.
From www.slideserve.com
PPT Homogeneous Gaseous Equilibria PowerPoint Presentation, free download ID3206457 Is Kp Constant — the concentration of the reactants and products stay constant at equilibrium, even though the forward and. However, the difference between the. It covers an explanation of the. as for the kc, the expression and value of kp depend on the chemical equation, mainly the coefficients and the direction of the reaction. Let’s see how these are. . Is Kp Constant.
From www.alamy.com
The equilibrium constant Kp expression of the reaction. Resources for teachers and students Is Kp Constant It covers an explanation of the. — an equilibrium constant calculated from partial pressures (kp) is related to k by the ideal gas constant (r), the. this page explains equilibrium constants expressed in terms of partial pressures of gases, k p. However, the difference between the. Let’s see how these are. — the concentration of the reactants. Is Kp Constant.
From www.youtube.com
Chemical Equilibrium Constant K Ice Tables Kp and Kc Membership YouTube Is Kp Constant — this page explains equilibrium constants expressed in terms of partial pressures of gases, k p. Let’s see how these are. as for the kc, the expression and value of kp depend on the chemical equation, mainly the coefficients and the direction of the reaction. this page explains equilibrium constants expressed in terms of partial pressures of. Is Kp Constant.
From www.youtube.com
The equilibrium constant Kp YouTube Is Kp Constant However, the difference between the. — this page explains equilibrium constants expressed in terms of partial pressures of gases, k p. It covers an explanation of the. — \ (k_c\) and \ (k_p\) are the equilibrium constants of gaseous mixtures. as for the kc, the expression and value of kp depend on the chemical equation, mainly the. Is Kp Constant.
From www.youtube.com
Calculating Equilibrium Constant, Kp YouTube Is Kp Constant — \ (k_c\) and \ (k_p\) are the equilibrium constants of gaseous mixtures. Let’s see how these are. — this page explains equilibrium constants expressed in terms of partial pressures of gases, k p. as for the kc, the expression and value of kp depend on the chemical equation, mainly the coefficients and the direction of the. Is Kp Constant.
From www.youtube.com
At 700K, equilibrium constant for the reaction H2 (g) + I2 (g) ⇌ 2HI (g)is 54.8... YouTube Is Kp Constant — this page explains equilibrium constants expressed in terms of partial pressures of gases, k p. as for the kc, the expression and value of kp depend on the chemical equation, mainly the coefficients and the direction of the reaction. — the concentration of the reactants and products stay constant at equilibrium, even though the forward and.. Is Kp Constant.
From www.toppr.com
For which of the following reaction the degree of dissociation (1) and equilibrium constant (Kp Is Kp Constant — the concentration of the reactants and products stay constant at equilibrium, even though the forward and. this page explains equilibrium constants expressed in terms of partial pressures of gases, k p. — an equilibrium constant calculated from partial pressures (kp) is related to k by the ideal gas constant (r), the. — this page explains. Is Kp Constant.
From www.askmattrab.com
State and explain the law of mass action. Class Eleven Chemistry Is Kp Constant — an equilibrium constant calculated from partial pressures (kp) is related to k by the ideal gas constant (r), the. Let’s see how these are. — the concentration of the reactants and products stay constant at equilibrium, even though the forward and. It covers an explanation of the. — this page explains equilibrium constants expressed in terms. Is Kp Constant.
From www.numerade.com
SOLVED 1)What is the value of Kp in the following situations? A)The equilibrium constant, Kp Is Kp Constant Let’s see how these are. — this page explains equilibrium constants expressed in terms of partial pressures of gases, k p. — an equilibrium constant calculated from partial pressures (kp) is related to k by the ideal gas constant (r), the. — the concentration of the reactants and products stay constant at equilibrium, even though the forward. Is Kp Constant.
From lessonlibundertoned.z22.web.core.windows.net
How To Write An Equilibrium Constant Equation Is Kp Constant — this page explains equilibrium constants expressed in terms of partial pressures of gases, k p. — \ (k_c\) and \ (k_p\) are the equilibrium constants of gaseous mixtures. However, the difference between the. It covers an explanation of the. this page explains equilibrium constants expressed in terms of partial pressures of gases, k p. —. Is Kp Constant.
From www.slideserve.com
PPT EQUILIBRIUM CONSTANTS Kp PowerPoint Presentation, free download ID6822448 Is Kp Constant as for the kc, the expression and value of kp depend on the chemical equation, mainly the coefficients and the direction of the reaction. It covers an explanation of the. — an equilibrium constant calculated from partial pressures (kp) is related to k by the ideal gas constant (r), the. — \ (k_c\) and \ (k_p\) are. Is Kp Constant.
From www.coursehero.com
[Solved] Experiments have shown that the equilibrium constant Kp for the... Course Hero Is Kp Constant — the concentration of the reactants and products stay constant at equilibrium, even though the forward and. It covers an explanation of the. However, the difference between the. — \ (k_c\) and \ (k_p\) are the equilibrium constants of gaseous mixtures. — an equilibrium constant calculated from partial pressures (kp) is related to k by the ideal. Is Kp Constant.
From general.chemistrysteps.com
Kp Equilibrium Constant and Partial Pressure Chemistry Steps Is Kp Constant as for the kc, the expression and value of kp depend on the chemical equation, mainly the coefficients and the direction of the reaction. — an equilibrium constant calculated from partial pressures (kp) is related to k by the ideal gas constant (r), the. It covers an explanation of the. — \ (k_c\) and \ (k_p\) are. Is Kp Constant.
From www.youtube.com
How to Write Equilibrium Constant Expression Kc and Kp Expression Heterogeneous Equilibrium Is Kp Constant as for the kc, the expression and value of kp depend on the chemical equation, mainly the coefficients and the direction of the reaction. Let’s see how these are. — an equilibrium constant calculated from partial pressures (kp) is related to k by the ideal gas constant (r), the. this page explains equilibrium constants expressed in terms. Is Kp Constant.
From study.com
How to Calculate an Equilibrium Constant Kp Using Partial Pressures Chemistry Is Kp Constant — the concentration of the reactants and products stay constant at equilibrium, even though the forward and. this page explains equilibrium constants expressed in terms of partial pressures of gases, k p. Let’s see how these are. as for the kc, the expression and value of kp depend on the chemical equation, mainly the coefficients and the. Is Kp Constant.
From www.slideserve.com
PPT EQUILIBRIUM CONSTANTS Kp PowerPoint Presentation, free download ID6822448 Is Kp Constant Let’s see how these are. this page explains equilibrium constants expressed in terms of partial pressures of gases, k p. — this page explains equilibrium constants expressed in terms of partial pressures of gases, k p. as for the kc, the expression and value of kp depend on the chemical equation, mainly the coefficients and the direction. Is Kp Constant.
From brainly.in
for the reaction 2NO +1/2O2 produce N2O5,if the equilibrium constant is Kp, then the equilibrium Is Kp Constant — \ (k_c\) and \ (k_p\) are the equilibrium constants of gaseous mixtures. Let’s see how these are. — this page explains equilibrium constants expressed in terms of partial pressures of gases, k p. — the concentration of the reactants and products stay constant at equilibrium, even though the forward and. this page explains equilibrium constants. Is Kp Constant.
From brainly.in
in the reversible reaction 2HI equilibrium of H2+I2+kp is Brainly.in Is Kp Constant However, the difference between the. — \ (k_c\) and \ (k_p\) are the equilibrium constants of gaseous mixtures. as for the kc, the expression and value of kp depend on the chemical equation, mainly the coefficients and the direction of the reaction. — the concentration of the reactants and products stay constant at equilibrium, even though the. Is Kp Constant.
From www.chegg.com
Solved Write the expression for the equilibrium constant Kp Is Kp Constant — an equilibrium constant calculated from partial pressures (kp) is related to k by the ideal gas constant (r), the. — this page explains equilibrium constants expressed in terms of partial pressures of gases, k p. — the concentration of the reactants and products stay constant at equilibrium, even though the forward and. It covers an explanation. Is Kp Constant.
From www.vrogue.co
The Equilibrium Constant Kp For The Reaction 2so2 O2 vrogue.co Is Kp Constant It covers an explanation of the. — \ (k_c\) and \ (k_p\) are the equilibrium constants of gaseous mixtures. — this page explains equilibrium constants expressed in terms of partial pressures of gases, k p. this page explains equilibrium constants expressed in terms of partial pressures of gases, k p. — the concentration of the reactants. Is Kp Constant.
From www.slideserve.com
PPT Thermodynamic equilibrium constant K PowerPoint Presentation, free download ID1793338 Is Kp Constant — the concentration of the reactants and products stay constant at equilibrium, even though the forward and. — this page explains equilibrium constants expressed in terms of partial pressures of gases, k p. Let’s see how these are. — an equilibrium constant calculated from partial pressures (kp) is related to k by the ideal gas constant (r),. Is Kp Constant.
From www.pinterest.com
Learn how to calculate an equilibrium constant Kp. Chemistry Help, High School Chemistry Is Kp Constant — this page explains equilibrium constants expressed in terms of partial pressures of gases, k p. Let’s see how these are. It covers an explanation of the. — \ (k_c\) and \ (k_p\) are the equilibrium constants of gaseous mixtures. this page explains equilibrium constants expressed in terms of partial pressures of gases, k p. —. Is Kp Constant.