Fort Worth Solicitors Permit . Then section 111.24 (b) says that the mayor. Each person that knocks on your door to solicit a product for sale must have on his or her person a copy of the permit from the city to engage in. Permits will be issued on a first come basis to those applicants who submit a completed application form, required certificate of. To get started, select one of the. Defective sidewalks, driveways, etc., declared. Captain edwin kraus from fort worth police department · 21 aug 13. Welcome to the city of fort worth's online permitting system! Section 111.24 (a) says that within five business days after receipt of an application, “any person may file written objections with the mayor.”. What would you like to do today?
from www.templateroller.com
Defective sidewalks, driveways, etc., declared. Each person that knocks on your door to solicit a product for sale must have on his or her person a copy of the permit from the city to engage in. What would you like to do today? Then section 111.24 (b) says that the mayor. Permits will be issued on a first come basis to those applicants who submit a completed application form, required certificate of. To get started, select one of the. Welcome to the city of fort worth's online permitting system! Section 111.24 (a) says that within five business days after receipt of an application, “any person may file written objections with the mayor.”. Captain edwin kraus from fort worth police department · 21 aug 13.
City of Fort Worth, Texas Residential Building Permit Application
Fort Worth Solicitors Permit Welcome to the city of fort worth's online permitting system! Defective sidewalks, driveways, etc., declared. Captain edwin kraus from fort worth police department · 21 aug 13. Permits will be issued on a first come basis to those applicants who submit a completed application form, required certificate of. Then section 111.24 (b) says that the mayor. To get started, select one of the. Each person that knocks on your door to solicit a product for sale must have on his or her person a copy of the permit from the city to engage in. Welcome to the city of fort worth's online permitting system! What would you like to do today? Section 111.24 (a) says that within five business days after receipt of an application, “any person may file written objections with the mayor.”.
From www.templateroller.com
City of Fort Worth, Texas Wrecking/Razing Permit Application Fill Out Fort Worth Solicitors Permit To get started, select one of the. Then section 111.24 (b) says that the mayor. Permits will be issued on a first come basis to those applicants who submit a completed application form, required certificate of. Each person that knocks on your door to solicit a product for sale must have on his or her person a copy of the. Fort Worth Solicitors Permit.
From www.templateroller.com
City of Fort Worth, Texas Grading Permit Application Fill Out, Sign Fort Worth Solicitors Permit Section 111.24 (a) says that within five business days after receipt of an application, “any person may file written objections with the mayor.”. Captain edwin kraus from fort worth police department · 21 aug 13. What would you like to do today? Defective sidewalks, driveways, etc., declared. Welcome to the city of fort worth's online permitting system! Each person that. Fort Worth Solicitors Permit.
From www.dochub.com
City of fort worth alarm permit Fill out & sign online DocHub Fort Worth Solicitors Permit Defective sidewalks, driveways, etc., declared. What would you like to do today? Permits will be issued on a first come basis to those applicants who submit a completed application form, required certificate of. Welcome to the city of fort worth's online permitting system! To get started, select one of the. Section 111.24 (a) says that within five business days after. Fort Worth Solicitors Permit.
From www.templateroller.com
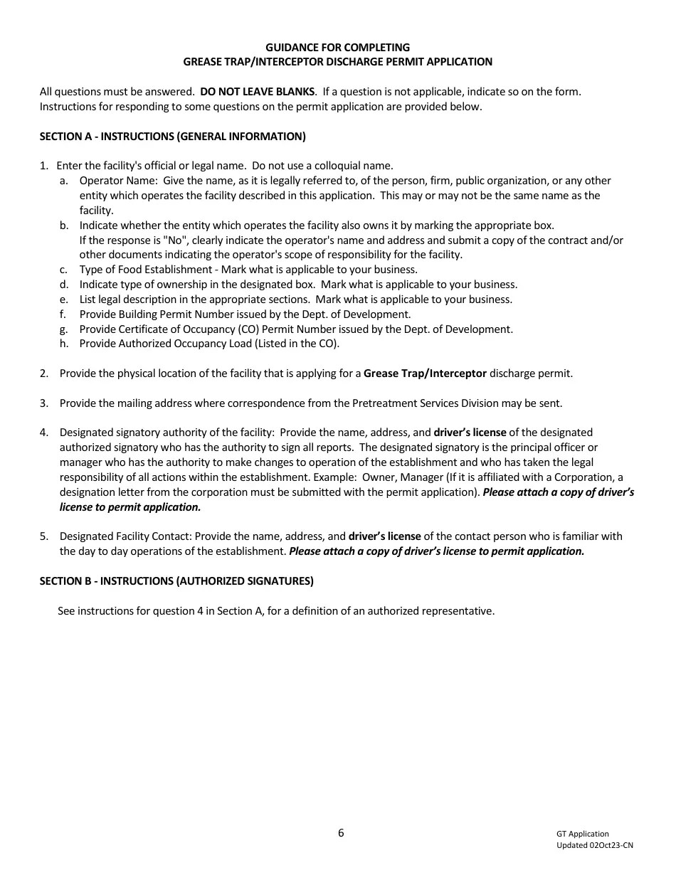
City of Fort Worth, Texas Grease Trap/Interceptor Discharge Permit Fort Worth Solicitors Permit To get started, select one of the. Defective sidewalks, driveways, etc., declared. Section 111.24 (a) says that within five business days after receipt of an application, “any person may file written objections with the mayor.”. Then section 111.24 (b) says that the mayor. Welcome to the city of fort worth's online permitting system! Captain edwin kraus from fort worth police. Fort Worth Solicitors Permit.
From www.templateroller.com
City of Fort Worth, Texas Building Permit Application Fill Out, Sign Fort Worth Solicitors Permit What would you like to do today? Each person that knocks on your door to solicit a product for sale must have on his or her person a copy of the permit from the city to engage in. Section 111.24 (a) says that within five business days after receipt of an application, “any person may file written objections with the. Fort Worth Solicitors Permit.
From adcroofing.com
Don't Get Caught Uncovered Guide to Roofing Permits in Fort Worth, TX! Fort Worth Solicitors Permit Section 111.24 (a) says that within five business days after receipt of an application, “any person may file written objections with the mayor.”. Then section 111.24 (b) says that the mayor. Captain edwin kraus from fort worth police department · 21 aug 13. Welcome to the city of fort worth's online permitting system! What would you like to do today?. Fort Worth Solicitors Permit.
From www.templateroller.com
City of Fort Worth, Texas Residential Building Permit Application Fort Worth Solicitors Permit To get started, select one of the. Captain edwin kraus from fort worth police department · 21 aug 13. What would you like to do today? Welcome to the city of fort worth's online permitting system! Defective sidewalks, driveways, etc., declared. Each person that knocks on your door to solicit a product for sale must have on his or her. Fort Worth Solicitors Permit.
From www.signnow.com
Fort Worth Certificate of Occupancy Complete with ease airSlate SignNow Fort Worth Solicitors Permit Each person that knocks on your door to solicit a product for sale must have on his or her person a copy of the permit from the city to engage in. Defective sidewalks, driveways, etc., declared. To get started, select one of the. Section 111.24 (a) says that within five business days after receipt of an application, “any person may. Fort Worth Solicitors Permit.
From www.templateroller.com
City of Fort Worth, Texas Plumbing Permit Form Fill Out, Sign Online Fort Worth Solicitors Permit Permits will be issued on a first come basis to those applicants who submit a completed application form, required certificate of. Each person that knocks on your door to solicit a product for sale must have on his or her person a copy of the permit from the city to engage in. Section 111.24 (a) says that within five business. Fort Worth Solicitors Permit.
From blueridgecity.com
Home City of Blue Ridge, TX Fort Worth Solicitors Permit Each person that knocks on your door to solicit a product for sale must have on his or her person a copy of the permit from the city to engage in. Defective sidewalks, driveways, etc., declared. Permits will be issued on a first come basis to those applicants who submit a completed application form, required certificate of. Welcome to the. Fort Worth Solicitors Permit.
From www.templateroller.com
City of Fort Worth, Texas Sign Permit Checklist Download Printable PDF Fort Worth Solicitors Permit Captain edwin kraus from fort worth police department · 21 aug 13. Defective sidewalks, driveways, etc., declared. To get started, select one of the. Section 111.24 (a) says that within five business days after receipt of an application, “any person may file written objections with the mayor.”. What would you like to do today? Permits will be issued on a. Fort Worth Solicitors Permit.
From www.templateroller.com
City of Fort Worth, Texas Sign Permit Application Fill Out, Sign Fort Worth Solicitors Permit To get started, select one of the. Section 111.24 (a) says that within five business days after receipt of an application, “any person may file written objections with the mayor.”. What would you like to do today? Then section 111.24 (b) says that the mayor. Captain edwin kraus from fort worth police department · 21 aug 13. Permits will be. Fort Worth Solicitors Permit.
From www.templateroller.com
City of Fort Worth, Texas Street Use Franchise Utility Permit Fort Worth Solicitors Permit Defective sidewalks, driveways, etc., declared. To get started, select one of the. Permits will be issued on a first come basis to those applicants who submit a completed application form, required certificate of. Then section 111.24 (b) says that the mayor. Captain edwin kraus from fort worth police department · 21 aug 13. What would you like to do today?. Fort Worth Solicitors Permit.
From www.templateroller.com
City of Fort Worth, Texas Building Permit Application Commercial Fort Worth Solicitors Permit Defective sidewalks, driveways, etc., declared. Each person that knocks on your door to solicit a product for sale must have on his or her person a copy of the permit from the city to engage in. Then section 111.24 (b) says that the mayor. Captain edwin kraus from fort worth police department · 21 aug 13. To get started, select. Fort Worth Solicitors Permit.
From www.templateroller.com
City of Fort Worth, Texas Building Permit Application Commercial Fort Worth Solicitors Permit To get started, select one of the. Each person that knocks on your door to solicit a product for sale must have on his or her person a copy of the permit from the city to engage in. What would you like to do today? Permits will be issued on a first come basis to those applicants who submit a. Fort Worth Solicitors Permit.
From www.templateroller.com
City of Fort Worth, Texas Newsrack Permit Application Fill Out, Sign Fort Worth Solicitors Permit Section 111.24 (a) says that within five business days after receipt of an application, “any person may file written objections with the mayor.”. Permits will be issued on a first come basis to those applicants who submit a completed application form, required certificate of. Each person that knocks on your door to solicit a product for sale must have on. Fort Worth Solicitors Permit.
From www.templateroller.com
City of Fort Worth, Texas Hazardous Materials Facility Construction Fort Worth Solicitors Permit Section 111.24 (a) says that within five business days after receipt of an application, “any person may file written objections with the mayor.”. Each person that knocks on your door to solicit a product for sale must have on his or her person a copy of the permit from the city to engage in. To get started, select one of. Fort Worth Solicitors Permit.
From www.templateroller.com
City of Fort Worth, Texas Grease Trap/Interceptor Discharge Permit Fort Worth Solicitors Permit Permits will be issued on a first come basis to those applicants who submit a completed application form, required certificate of. Then section 111.24 (b) says that the mayor. Each person that knocks on your door to solicit a product for sale must have on his or her person a copy of the permit from the city to engage in.. Fort Worth Solicitors Permit.
From www.templateroller.com
City of Fort Worth, Texas Application Form for Electrical Permits Fort Worth Solicitors Permit Defective sidewalks, driveways, etc., declared. Section 111.24 (a) says that within five business days after receipt of an application, “any person may file written objections with the mayor.”. Permits will be issued on a first come basis to those applicants who submit a completed application form, required certificate of. Welcome to the city of fort worth's online permitting system! To. Fort Worth Solicitors Permit.
From www.facebook.com
**SOLICITING PERMITS... McKinney Police Department Facebook Fort Worth Solicitors Permit What would you like to do today? Welcome to the city of fort worth's online permitting system! To get started, select one of the. Then section 111.24 (b) says that the mayor. Permits will be issued on a first come basis to those applicants who submit a completed application form, required certificate of. Captain edwin kraus from fort worth police. Fort Worth Solicitors Permit.
From www.templateroller.com
City of Fort Worth, Texas Grease Trap/Interceptor Discharge Permit Fort Worth Solicitors Permit Welcome to the city of fort worth's online permitting system! Defective sidewalks, driveways, etc., declared. Section 111.24 (a) says that within five business days after receipt of an application, “any person may file written objections with the mayor.”. Then section 111.24 (b) says that the mayor. To get started, select one of the. Permits will be issued on a first. Fort Worth Solicitors Permit.
From www.templateroller.com
City of Fort Worth, Texas Grading Permit Application Fill Out, Sign Fort Worth Solicitors Permit Then section 111.24 (b) says that the mayor. Captain edwin kraus from fort worth police department · 21 aug 13. To get started, select one of the. Section 111.24 (a) says that within five business days after receipt of an application, “any person may file written objections with the mayor.”. Permits will be issued on a first come basis to. Fort Worth Solicitors Permit.
From www.templateroller.com
City of Fort Worth, Texas Homestead Permit Affidavit Fill Out, Sign Fort Worth Solicitors Permit To get started, select one of the. What would you like to do today? Each person that knocks on your door to solicit a product for sale must have on his or her person a copy of the permit from the city to engage in. Captain edwin kraus from fort worth police department · 21 aug 13. Welcome to the. Fort Worth Solicitors Permit.
From www.templateroller.com
Form 1A Fill Out, Sign Online and Download Printable PDF, City of Fort Worth Solicitors Permit Welcome to the city of fort worth's online permitting system! Permits will be issued on a first come basis to those applicants who submit a completed application form, required certificate of. To get started, select one of the. What would you like to do today? Defective sidewalks, driveways, etc., declared. Captain edwin kraus from fort worth police department · 21. Fort Worth Solicitors Permit.
From www.uslegalforms.com
TX Form 1A Fire Alarm Permit Plan Submittal City Of Fort Worth 2020 Fort Worth Solicitors Permit Then section 111.24 (b) says that the mayor. What would you like to do today? To get started, select one of the. Each person that knocks on your door to solicit a product for sale must have on his or her person a copy of the permit from the city to engage in. Section 111.24 (a) says that within five. Fort Worth Solicitors Permit.
From www.templateroller.com
City of Fort Worth, Texas Wrecking/Razing Permit Application Fill Out Fort Worth Solicitors Permit Defective sidewalks, driveways, etc., declared. Section 111.24 (a) says that within five business days after receipt of an application, “any person may file written objections with the mayor.”. To get started, select one of the. Then section 111.24 (b) says that the mayor. Captain edwin kraus from fort worth police department · 21 aug 13. Permits will be issued on. Fort Worth Solicitors Permit.
From www.booking.com
Sandman Signature Fort Worth Downtown Hotel, Fort Worth (updated prices Fort Worth Solicitors Permit Welcome to the city of fort worth's online permitting system! Each person that knocks on your door to solicit a product for sale must have on his or her person a copy of the permit from the city to engage in. Then section 111.24 (b) says that the mayor. Section 111.24 (a) says that within five business days after receipt. Fort Worth Solicitors Permit.
From www.templateroller.com
City of Fort Worth, Texas Residential Building Permit Application Fort Worth Solicitors Permit Each person that knocks on your door to solicit a product for sale must have on his or her person a copy of the permit from the city to engage in. Permits will be issued on a first come basis to those applicants who submit a completed application form, required certificate of. Then section 111.24 (b) says that the mayor.. Fort Worth Solicitors Permit.
From www.signnow.com
POSTAL SERVICE, POST OFFICE, Fort Worth, TX, Employer Appearances Fort Worth Solicitors Permit To get started, select one of the. Permits will be issued on a first come basis to those applicants who submit a completed application form, required certificate of. Captain edwin kraus from fort worth police department · 21 aug 13. What would you like to do today? Each person that knocks on your door to solicit a product for sale. Fort Worth Solicitors Permit.
From www.templateroller.com
City of Fort Worth, Texas Grease Trap/Interceptor Discharge Permit Fort Worth Solicitors Permit Then section 111.24 (b) says that the mayor. Each person that knocks on your door to solicit a product for sale must have on his or her person a copy of the permit from the city to engage in. What would you like to do today? Section 111.24 (a) says that within five business days after receipt of an application,. Fort Worth Solicitors Permit.
From www.templateroller.com
City of Fort Worth, Texas Application for Floodplain Development Permit Fort Worth Solicitors Permit Welcome to the city of fort worth's online permitting system! To get started, select one of the. Permits will be issued on a first come basis to those applicants who submit a completed application form, required certificate of. What would you like to do today? Defective sidewalks, driveways, etc., declared. Section 111.24 (a) says that within five business days after. Fort Worth Solicitors Permit.
From www.pdffiller.com
Ft Worth Online Permit Fill Online, Printable, Fillable, Blank Fort Worth Solicitors Permit To get started, select one of the. Section 111.24 (a) says that within five business days after receipt of an application, “any person may file written objections with the mayor.”. Each person that knocks on your door to solicit a product for sale must have on his or her person a copy of the permit from the city to engage. Fort Worth Solicitors Permit.
From www.templateroller.com
City of Fort Worth, Texas Wrecking/Razing Permit Application Fill Out Fort Worth Solicitors Permit What would you like to do today? Then section 111.24 (b) says that the mayor. Permits will be issued on a first come basis to those applicants who submit a completed application form, required certificate of. To get started, select one of the. Defective sidewalks, driveways, etc., declared. Section 111.24 (a) says that within five business days after receipt of. Fort Worth Solicitors Permit.
From www.templateroller.com
City of Fort Worth, Texas DoorToDoor Sales Registration Application Fort Worth Solicitors Permit Welcome to the city of fort worth's online permitting system! Captain edwin kraus from fort worth police department · 21 aug 13. Each person that knocks on your door to solicit a product for sale must have on his or her person a copy of the permit from the city to engage in. Defective sidewalks, driveways, etc., declared. Section 111.24. Fort Worth Solicitors Permit.
From www.templateroller.com
City of Fort Worth, Texas Residential Building Permit Application Fort Worth Solicitors Permit Permits will be issued on a first come basis to those applicants who submit a completed application form, required certificate of. Then section 111.24 (b) says that the mayor. What would you like to do today? Section 111.24 (a) says that within five business days after receipt of an application, “any person may file written objections with the mayor.”. Welcome. Fort Worth Solicitors Permit.