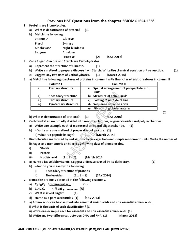
Biomolecules Hsslive . Previous question papers are a great way to revise and. These study notes are the result of 20 years teaching experience and completely based on the ncert syllabus. The notes are divided into chapters, which makes them easy for handling. Higher secondary plus two chemistry question bank (solved) by anil kumar k l. Students can download chapter 14. Higher secondary chemistry pdf notes. Plus two chemistry notes chapter 14 biomolecules. September 15, 2024 by prasanna. This document provides 15 questions related to biomolecules such as proteins,. So they are very useful for both kerala syllabus and cbse students.
from www.mdpi.com
Plus two chemistry notes chapter 14 biomolecules. Previous question papers are a great way to revise and. Higher secondary chemistry pdf notes. So they are very useful for both kerala syllabus and cbse students. Students can download chapter 14. The notes are divided into chapters, which makes them easy for handling. September 15, 2024 by prasanna. This document provides 15 questions related to biomolecules such as proteins,. Higher secondary plus two chemistry question bank (solved) by anil kumar k l. These study notes are the result of 20 years teaching experience and completely based on the ncert syllabus.
Biomolecules Free FullText Cellular Metabolism A Fundamental
Biomolecules Hsslive So they are very useful for both kerala syllabus and cbse students. Students can download chapter 14. September 15, 2024 by prasanna. So they are very useful for both kerala syllabus and cbse students. Previous question papers are a great way to revise and. Plus two chemistry notes chapter 14 biomolecules. Higher secondary chemistry pdf notes. The notes are divided into chapters, which makes them easy for handling. Higher secondary plus two chemistry question bank (solved) by anil kumar k l. These study notes are the result of 20 years teaching experience and completely based on the ncert syllabus. This document provides 15 questions related to biomolecules such as proteins,.
From studylib.net
Biomolecules with conjugated systems Biomolecules Hsslive Students can download chapter 14. September 15, 2024 by prasanna. These study notes are the result of 20 years teaching experience and completely based on the ncert syllabus. The notes are divided into chapters, which makes them easy for handling. Higher secondary plus two chemistry question bank (solved) by anil kumar k l. Higher secondary chemistry pdf notes. Plus two. Biomolecules Hsslive.
From www.translateen.com
Use "Biomolecules" In A Sentence Biomolecules Hsslive So they are very useful for both kerala syllabus and cbse students. These study notes are the result of 20 years teaching experience and completely based on the ncert syllabus. Students can download chapter 14. Plus two chemistry notes chapter 14 biomolecules. This document provides 15 questions related to biomolecules such as proteins,. Previous question papers are a great way. Biomolecules Hsslive.
From www.scribd.com
Biomolecules Anil Hsslive PDF Biomolecules Carbohydrates Biomolecules Hsslive Higher secondary chemistry pdf notes. The notes are divided into chapters, which makes them easy for handling. Previous question papers are a great way to revise and. September 15, 2024 by prasanna. Higher secondary plus two chemistry question bank (solved) by anil kumar k l. Plus two chemistry notes chapter 14 biomolecules. These study notes are the result of 20. Biomolecules Hsslive.
From www.tes.com
Biomolecules A level Biology (23 Lessons and resources) Teaching Biomolecules Hsslive Higher secondary chemistry pdf notes. This document provides 15 questions related to biomolecules such as proteins,. September 15, 2024 by prasanna. Previous question papers are a great way to revise and. So they are very useful for both kerala syllabus and cbse students. Plus two chemistry notes chapter 14 biomolecules. Higher secondary plus two chemistry question bank (solved) by anil. Biomolecules Hsslive.
From www.mdpi.com
Biomolecules Free FullText DetergentFree Isolation of Membrane Biomolecules Hsslive So they are very useful for both kerala syllabus and cbse students. Higher secondary chemistry pdf notes. The notes are divided into chapters, which makes them easy for handling. Higher secondary plus two chemistry question bank (solved) by anil kumar k l. Previous question papers are a great way to revise and. This document provides 15 questions related to biomolecules. Biomolecules Hsslive.
From www.studocu.com
Hsslive XI Zoology Ch 9 biomolecules Biomolecule Introduction The Biomolecules Hsslive Higher secondary chemistry pdf notes. Higher secondary plus two chemistry question bank (solved) by anil kumar k l. September 15, 2024 by prasanna. Previous question papers are a great way to revise and. These study notes are the result of 20 years teaching experience and completely based on the ncert syllabus. Students can download chapter 14. This document provides 15. Biomolecules Hsslive.
From www.scribd.com
Hsslive Xii Chem 14. Biomolecules PDF Carbohydrates Nucleic Acids Biomolecules Hsslive Plus two chemistry notes chapter 14 biomolecules. September 15, 2024 by prasanna. Higher secondary chemistry pdf notes. Higher secondary plus two chemistry question bank (solved) by anil kumar k l. These study notes are the result of 20 years teaching experience and completely based on the ncert syllabus. So they are very useful for both kerala syllabus and cbse students.. Biomolecules Hsslive.
From www.mdpi.com
Biomolecules Free FullText Archaea as a Model System for Molecular Biomolecules Hsslive Higher secondary plus two chemistry question bank (solved) by anil kumar k l. Students can download chapter 14. The notes are divided into chapters, which makes them easy for handling. Previous question papers are a great way to revise and. September 15, 2024 by prasanna. These study notes are the result of 20 years teaching experience and completely based on. Biomolecules Hsslive.
From wordwall.net
Biomolecules Group sort Biomolecules Hsslive So they are very useful for both kerala syllabus and cbse students. This document provides 15 questions related to biomolecules such as proteins,. Plus two chemistry notes chapter 14 biomolecules. Students can download chapter 14. These study notes are the result of 20 years teaching experience and completely based on the ncert syllabus. Previous question papers are a great way. Biomolecules Hsslive.
From www.mdpi.com
Biomolecules Free FullText The Important Role of Zinc in Biomolecules Hsslive Higher secondary chemistry pdf notes. Students can download chapter 14. This document provides 15 questions related to biomolecules such as proteins,. Previous question papers are a great way to revise and. Plus two chemistry notes chapter 14 biomolecules. So they are very useful for both kerala syllabus and cbse students. September 15, 2024 by prasanna. Higher secondary plus two chemistry. Biomolecules Hsslive.
From www.studypool.com
SOLUTION 14 biomolecules anil hsslive Studypool Biomolecules Hsslive Higher secondary chemistry pdf notes. Previous question papers are a great way to revise and. This document provides 15 questions related to biomolecules such as proteins,. Higher secondary plus two chemistry question bank (solved) by anil kumar k l. These study notes are the result of 20 years teaching experience and completely based on the ncert syllabus. Students can download. Biomolecules Hsslive.
From www.mdpi.com
Biomolecules Free FullText DetergentFree Isolation of Membrane Biomolecules Hsslive This document provides 15 questions related to biomolecules such as proteins,. So they are very useful for both kerala syllabus and cbse students. These study notes are the result of 20 years teaching experience and completely based on the ncert syllabus. Plus two chemistry notes chapter 14 biomolecules. Higher secondary chemistry pdf notes. September 15, 2024 by prasanna. Previous question. Biomolecules Hsslive.
From www.studocu.com
Hsslivexiichemistrych14 Biomolecules by Sajeev Studocu Biomolecules Hsslive September 15, 2024 by prasanna. Higher secondary chemistry pdf notes. So they are very useful for both kerala syllabus and cbse students. These study notes are the result of 20 years teaching experience and completely based on the ncert syllabus. Students can download chapter 14. Higher secondary plus two chemistry question bank (solved) by anil kumar k l. The notes. Biomolecules Hsslive.
From www.studypool.com
SOLUTION 14 biomolecules anil hsslive Studypool Biomolecules Hsslive Higher secondary plus two chemistry question bank (solved) by anil kumar k l. Students can download chapter 14. September 15, 2024 by prasanna. The notes are divided into chapters, which makes them easy for handling. Plus two chemistry notes chapter 14 biomolecules. Previous question papers are a great way to revise and. Higher secondary chemistry pdf notes. So they are. Biomolecules Hsslive.
From www.mdpi.com
Biomolecules Free FullText NonCanonical Amino Acids as Building Biomolecules Hsslive Students can download chapter 14. The notes are divided into chapters, which makes them easy for handling. Higher secondary plus two chemistry question bank (solved) by anil kumar k l. This document provides 15 questions related to biomolecules such as proteins,. Higher secondary chemistry pdf notes. Plus two chemistry notes chapter 14 biomolecules. Previous question papers are a great way. Biomolecules Hsslive.
From www.studypool.com
SOLUTION 14 biomolecules anil hsslive Studypool Biomolecules Hsslive Higher secondary chemistry pdf notes. This document provides 15 questions related to biomolecules such as proteins,. September 15, 2024 by prasanna. Higher secondary plus two chemistry question bank (solved) by anil kumar k l. These study notes are the result of 20 years teaching experience and completely based on the ncert syllabus. Previous question papers are a great way to. Biomolecules Hsslive.
From www.youtube.com
Biomolecules by Ritu Rattewal Lecture 9 Free Mini Series on Biomolecules Hsslive This document provides 15 questions related to biomolecules such as proteins,. So they are very useful for both kerala syllabus and cbse students. These study notes are the result of 20 years teaching experience and completely based on the ncert syllabus. The notes are divided into chapters, which makes them easy for handling. Higher secondary chemistry pdf notes. Students can. Biomolecules Hsslive.
From www.studocu.com
14. BiomoleculesAnilHsslive 14. BIOMOLECULES The molecules present Biomolecules Hsslive Students can download chapter 14. These study notes are the result of 20 years teaching experience and completely based on the ncert syllabus. Plus two chemistry notes chapter 14 biomolecules. Higher secondary chemistry pdf notes. So they are very useful for both kerala syllabus and cbse students. This document provides 15 questions related to biomolecules such as proteins,. Previous question. Biomolecules Hsslive.
From unacademy.com
NEET UG BiomoleculesAmino acids & Proteins Concepts Explained on Biomolecules Hsslive Plus two chemistry notes chapter 14 biomolecules. September 15, 2024 by prasanna. Higher secondary chemistry pdf notes. The notes are divided into chapters, which makes them easy for handling. So they are very useful for both kerala syllabus and cbse students. Students can download chapter 14. These study notes are the result of 20 years teaching experience and completely based. Biomolecules Hsslive.
From www.home-tution.com
NCERT Solutions For class 12 Chemistry Chapter 14 Biomolecules Biomolecules Hsslive September 15, 2024 by prasanna. Students can download chapter 14. Previous question papers are a great way to revise and. This document provides 15 questions related to biomolecules such as proteins,. Higher secondary plus two chemistry question bank (solved) by anil kumar k l. Higher secondary chemistry pdf notes. The notes are divided into chapters, which makes them easy for. Biomolecules Hsslive.
From studylib.net
Lab PBL Biomoleculeslabmanual (1) Biomolecules Hsslive Higher secondary chemistry pdf notes. Previous question papers are a great way to revise and. These study notes are the result of 20 years teaching experience and completely based on the ncert syllabus. Students can download chapter 14. Higher secondary plus two chemistry question bank (solved) by anil kumar k l. Plus two chemistry notes chapter 14 biomolecules. The notes. Biomolecules Hsslive.
From www.scribd.com
Types of Biomolecules PDF Nucleic Acids Biomolecules Biomolecules Hsslive Students can download chapter 14. This document provides 15 questions related to biomolecules such as proteins,. September 15, 2024 by prasanna. Previous question papers are a great way to revise and. So they are very useful for both kerala syllabus and cbse students. Plus two chemistry notes chapter 14 biomolecules. Higher secondary chemistry pdf notes. Higher secondary plus two chemistry. Biomolecules Hsslive.
From www.mdpi.com
Biomolecules Free FullText Sexual Dimorphism in Neurodegenerative Biomolecules Hsslive So they are very useful for both kerala syllabus and cbse students. Previous question papers are a great way to revise and. This document provides 15 questions related to biomolecules such as proteins,. Students can download chapter 14. Plus two chemistry notes chapter 14 biomolecules. September 15, 2024 by prasanna. Higher secondary plus two chemistry question bank (solved) by anil. Biomolecules Hsslive.
From www.scribd.com
Hsslive Xii Chem Slide CH 14. Biomolecules PDF Carbohydrates Biomolecules Hsslive Students can download chapter 14. These study notes are the result of 20 years teaching experience and completely based on the ncert syllabus. Higher secondary chemistry pdf notes. Plus two chemistry notes chapter 14 biomolecules. This document provides 15 questions related to biomolecules such as proteins,. September 15, 2024 by prasanna. So they are very useful for both kerala syllabus. Biomolecules Hsslive.
From www.scribd.com
Biomolecules PDF Biomolecules Hsslive This document provides 15 questions related to biomolecules such as proteins,. Previous question papers are a great way to revise and. So they are very useful for both kerala syllabus and cbse students. Higher secondary chemistry pdf notes. The notes are divided into chapters, which makes them easy for handling. These study notes are the result of 20 years teaching. Biomolecules Hsslive.
From www.mdpi.com
Biomolecules Free FullText Ocular Surface Allostasis—When Biomolecules Hsslive So they are very useful for both kerala syllabus and cbse students. This document provides 15 questions related to biomolecules such as proteins,. September 15, 2024 by prasanna. Higher secondary plus two chemistry question bank (solved) by anil kumar k l. Previous question papers are a great way to revise and. The notes are divided into chapters, which makes them. Biomolecules Hsslive.
From www.mdpi.com
Biomolecules Free FullText Archaea as a Model System for Molecular Biomolecules Hsslive These study notes are the result of 20 years teaching experience and completely based on the ncert syllabus. The notes are divided into chapters, which makes them easy for handling. So they are very useful for both kerala syllabus and cbse students. Higher secondary plus two chemistry question bank (solved) by anil kumar k l. Plus two chemistry notes chapter. Biomolecules Hsslive.
From studylib.net
Lab 2Biomolecules Biomolecules Hsslive The notes are divided into chapters, which makes them easy for handling. So they are very useful for both kerala syllabus and cbse students. Students can download chapter 14. Higher secondary chemistry pdf notes. Higher secondary plus two chemistry question bank (solved) by anil kumar k l. Plus two chemistry notes chapter 14 biomolecules. These study notes are the result. Biomolecules Hsslive.
From www.youtube.com
BIOMOLECULES CLASS 11 AMINO ACIDS BIOMOLECULES NEET SANJEEVANI Biomolecules Hsslive The notes are divided into chapters, which makes them easy for handling. Plus two chemistry notes chapter 14 biomolecules. This document provides 15 questions related to biomolecules such as proteins,. Higher secondary plus two chemistry question bank (solved) by anil kumar k l. So they are very useful for both kerala syllabus and cbse students. Previous question papers are a. Biomolecules Hsslive.
From www.mdpi.com
Biomolecules Free FullText Cellular Metabolism A Fundamental Biomolecules Hsslive September 15, 2024 by prasanna. The notes are divided into chapters, which makes them easy for handling. So they are very useful for both kerala syllabus and cbse students. These study notes are the result of 20 years teaching experience and completely based on the ncert syllabus. This document provides 15 questions related to biomolecules such as proteins,. Higher secondary. Biomolecules Hsslive.
From www.youtube.com
Biomolecules by Ritu Rattewal Lecture 7 Free Mini Series on Biomolecules Hsslive The notes are divided into chapters, which makes them easy for handling. Higher secondary chemistry pdf notes. These study notes are the result of 20 years teaching experience and completely based on the ncert syllabus. This document provides 15 questions related to biomolecules such as proteins,. So they are very useful for both kerala syllabus and cbse students. Plus two. Biomolecules Hsslive.
From www.studocu.com
Hsslivexiichemistryqbansanil14. Biomolecules Previous HSE Biomolecules Hsslive Higher secondary chemistry pdf notes. Students can download chapter 14. September 15, 2024 by prasanna. This document provides 15 questions related to biomolecules such as proteins,. These study notes are the result of 20 years teaching experience and completely based on the ncert syllabus. Higher secondary plus two chemistry question bank (solved) by anil kumar k l. So they are. Biomolecules Hsslive.
From www.home-tution.com
NCERT Solutions For class 11 Biology Chapter 9 Biomolecules Biomolecules Hsslive So they are very useful for both kerala syllabus and cbse students. Plus two chemistry notes chapter 14 biomolecules. Higher secondary chemistry pdf notes. These study notes are the result of 20 years teaching experience and completely based on the ncert syllabus. Higher secondary plus two chemistry question bank (solved) by anil kumar k l. Students can download chapter 14.. Biomolecules Hsslive.
From studylib.net
Biomolecules and Polymers DTS 1 Biomolecules Hsslive The notes are divided into chapters, which makes them easy for handling. Higher secondary chemistry pdf notes. Previous question papers are a great way to revise and. Higher secondary plus two chemistry question bank (solved) by anil kumar k l. Students can download chapter 14. This document provides 15 questions related to biomolecules such as proteins,. These study notes are. Biomolecules Hsslive.
From www.vrogue.co
Ppt Ch 5 The Structure And Function Of Large Biomolecules www.vrogue.co Biomolecules Hsslive Plus two chemistry notes chapter 14 biomolecules. Students can download chapter 14. September 15, 2024 by prasanna. Previous question papers are a great way to revise and. So they are very useful for both kerala syllabus and cbse students. Higher secondary chemistry pdf notes. The notes are divided into chapters, which makes them easy for handling. These study notes are. Biomolecules Hsslive.